Inkoop- en aanbestedingsbeleid gemeente Oss

Geldend van 15-01-2026 t/m heden

Intitulé

Inkoop- en aanbestedingsbeleid gemeente Oss

Inwerkingtreden: 01-01-2026

Inleiding

De Gemeente Oss spant zich continu in voor een (verdere) professionalisering van de Inkoop- en aanbestedingspraktijk.

In dit Inkoop- en aanbestedingsbeleid wordt het inkoopproces inzichtelijk en transparant gemaakt door de doelstellingen, uitgangspunten en kaders te schetsen waarbinnen Inkopen in de Gemeente Oss plaatsvindt. De Gemeente Oss streeft daarbij een aantal centrale doelstellingen na (zie verder hoofdstuk 2).

Aangezien Inkopen plaatsvindt in een dynamische omgeving, dient de Gemeente Oss continu bezig te zijn met het doorvoeren van verbeteringen in de inkoopprocessen. De gemeentelijke doelstellingen zijn hierbij leidend. Dit Inkoop- en aanbestedingsbeleid sluit zoveel mogelijk aan op het algemene beleid van de Gemeente.

Daarnaast gaat de Gemeente bij het Inkopen van Werken, Leveringen of Diensten uit van de volgende inkoopuitgangspunten:

afbeelding binnen de regeling

1 Definities

In dit Model Inkoop- en aanbestedingsbeleid wordt verstaan onder:

Aanbestedingswet

Wet van 22 juni 2016 tot wijziging van de Aanbestedingswet 2012 in verband met de implementatie van aanbestedingsrichtlijnen 2014/23/EU, 2014/24/EU en 2014/25/EU

Contractant

De in de overeenkomst genoemde wederpartij van de Gemeente.

Diensten

Diensten als bedoeld in artikel 1.1 Aanbestedingswet.

Gemeente

De Gemeente Oss, zetelend aan de Raadhuislaan 2 te Oss.

Inkopen

(Rechts)handelingen van de Gemeente gericht op de verwerving van Werken, Leveringen of Diensten en die een of meerdere facturen van een Ondernemer met betrekking tot bedoelde Werken, Leveringen of Diensten tot gevolg hebben.

Leveringen

Leveringen als bedoeld in artikel 1.1 Aanbestedingswet.

Offerte

Een aanbod in de zin van het Burgerlijk Wetboek.

Offerteaanvraag

Een enkelvoudige of meervoudige aanvraag van de Gemeente voor te verrichten prestaties of een (Europese) aanbesteding conform de Aanbestedingswet en de Europeseaan- bestedingsrichtlijnen.

Ondernemer

Een ‘aannemer’, een ‘leverancier’ of een ‘dienstverlener’.

Werken

Werken als bedoeld in artikel 1.1 Aanbestedingswet.

2 Gemeentelijke doelstellingen

De Gemeente wil met dit Inkoop- en aanbestedingsbeleid de ambities uit het collegeakkoord concretiseren en de volgende doelstellingen realiseren:

a Rechtmatig en doelmatig Inkopen zodat gemeenschapsgelden op controleerbare en verantwoorde wijze worden aangewend en besteed.

De Gemeente leeft daartoe bestaande wet- en regelgeving en de bepalingen van haar Inkoop- en aanbestedingsbeleid na. Daarnaast koopt de Gemeente efficiënt en effectief in. De inspanningen en uitgaven moeten daadwerkelijk bijdragen aan de realisatie van het beoogde doel. De kosten staan in redelijke verhouding tot de opbrengsten en het beheersen en verlagen van de gemeentelijke middelen staan centraal. De Gemeente houdt daarbij in het oog dat er voldoende toegang is voor Ondernemers tot gemeentelijke opdrachten.

b Een integere, betrouwbare, zakelijke en professionele inkoper en opdrachtgever zijn.

Professionaliteit houdt in dat op bewuste en zakelijke wijze wordt omgegaan met Inkopen. Continu wordt geïnvesteerd in inhoudelijke kennis over de in te kopen Werken, Leveringen en Diensten, de marktomstandigheden en de relevante wet- en regelgeving. Het streven naar professioneel opdrachtgeverschap komt tot uitdrukking in een betrokkenheid bij de inkoopambitie, slagvaardige besluitvorming, adequaat risicomanagement, vertrouwen in de Contractant en in wederzijds respect tussen de Gemeente en de Contractant. De Gemeente spant zich in om alle inlichtingen en gegevens te verstrekken aan de Ondernemer voor zover die nodig zijn in het kader van het inkoopproces.

c Het creëren van de meest maatschappelijke waarde voor de publieke middelen.

Bij Inkopen kan de Gemeente ook interne en andere gemeentelijke en maatschappelijke kosten betrekken in haar afweging. Ook de kwaliteit van de

in te kopen Werken, Leveringen en Diensten speelt een belangrijke rol. Waar zinvol wordt uitgegaan van de total cost of ownership benadering. Hierbij worden naast de kosten van aanschaf ook de kosten van gebruik en zelfs de verwijderingskosten meegenomen. De gemeente gunt op basis van het gunningscriterium ‘Beste prijs -kwaliteit verhouding”, tenzij hiervan gemotiveerd wordt afgeweken.

d Maatschappelijk Verantwoord Inkopen en daarmee bijdragen aan de realisatie van de maatschappelijke doelstellingen van de Gemeente.

De Gemeente heeft een grote rol bij de aanpak van belangrijke maatschappe-lijke en sociale vraagstukken. De Gemeente wil bij de Inkopen waar mogelijk

een bijdrage leveren aan het oplossen daarvan. De Gemeente heeft zich verbonden aan de Global Goals van de Verenigde Naties (VN), de duurzame ontwikkelingsdoelen voor 2016 - 2030. Ook heeft de gemeente het landelijke Manifest “Maatschappelijk verantwoord inkopen” ondertekend. Verder heeft

de gemeente het “Schone lucht akkoord” met o.a. Bouwend Nederland

getekend. De uit deze convenanten vloeiende verplichtingen en doelstellingen zullen zo veel mogelijk in de inkopen en aanbestedingen van de Gemeente verwerkt worden. In paragraaf 4.2 is een en ander nader uitgewerkt.

e Een continue positieve bijdrage leveren aan het goed presteren van de Gemeente.

Inkopen heeft een belangrijke invloed op het gehele prestatieniveau van de Gemeente en draagt daar direct en voortdurend aan bij. De concrete doelstellingen van Inkopen zijn daarbij steeds rechtstreeks afgeleid van de gemeentelijke doelstellingen.

f Administratieve lastenverlichting voor zowel de Gemeente als voor Ondernemers.

Zowel de Gemeente als Ondernemers verrichten vele administratieve

handelingen tijdens het inkoopproces. De Gemeente verlicht deze lasten door bijvoorbeeld proportionele eisen en criteria te stellen en door een efficiënt inkoopproces uit te voeren. Voor Europese aanbestedingen zijn overheden verplicht vanaf 1 juli 2017 alle communicatie met ondernemingen, inclusief de inschrijving, elektronisch te laten verlopen (E-aanbesteden). Overheden zijn wettelijk verplicht hun nationale en Europese aanbestedingen via het aankondigingenplatform van TenderNed aan te kondigen.

3 Juridische uitgangspunten

3.1 Algemeen juridisch kader

a De Gemeente leeft de relevante wet- en regelgeving na.

Uitzonderingen op (Europese) wet- en regelgeving zullen door de Gemeente restrictief worden uitgelegd en toegepast om te voorkomen dat het toepassingsbereik van deze wet- en regelgeving wordt uitgehold. De voor het Inkoop- en aanbestedingsbeleid meest relevante wet- en regelgeving volgen uit:

Aanbestedingswet

De gewijzigde Aanbestedingswet 2012 implementeert sinds

1 juli 2016 de Europese Richtlijnen 2014/24/EU en 2014/25/EU (‘Aanbestedingsrichtlijnen’), Concessierichtlijnen 2014/23/EU en Richtlijn 2007/66/EU (‘Rechtsbeschermingsrichtlijn’). Deze wet biedt één kader voor overheids- en concessieopdrachten boven en – beperkt – onder de (Europese) drempelwaarden en de rechtsbescherming bij (Europese) aanbestedingen.

Aanbestedingsreglement 2016

Het ARW 2016 geldt voor alle werken, ook van toepassing op werken onder de Europese drempel.

Europese wet- en regelgeving

Wet- en regelgeving op het gebied van aanbesteden is afkomstig van de Europese Unie. De ‘Aanbestedingsrichtlijnen’ en ‘Concessierichtlijn’ vormen momenteel de belangrijkste basis. De interpretatie van deze Aanbestedingsrichtlijnen en ‘Concessierichtlijn’ kan volgen uit Groenboeken, Interpretatieve Mededelingen etc. van de Europese Commissie.

Burgerlijk Wetboek

Het wettelijke kader voor overeenkomsten.

Gemeentewet

Het wettelijke kader voor gemeenten.

Gids Proportionaliteit

De Gids Proportionaliteit is in zijn geheel het richtsnoer dat is aangewezen in het Aanbestedingsbesluit en geeft handvatten voor redelijke toepassing van het proportionaliteitsbeginsel.

Aanbestedingsreglement Werken

In het ARW 2016 zijn procedurevoorschriften opgenomen met betrekking tot de wijze waarop aanbestedingen voor Werken moeten verlopen.

Wet Bibob

Het wettelijk kader voor het bevorderen van integriteit en het voorkomen van ondermijning.

3.2 Algemene beginselen bij Inkopen

a Algemene beginselen van het aanbestedingsrecht

Gelijke behandeling

Gelijke omstandigheden mogen niet verschillend worden behandeld, tenzij dat verschil objectief gerechtvaardigd is. Ook verkapte of indirecte discriminatie is verboden.

Non-discriminatie

Discriminatie op grond van nationaliteit mag niet.

Transparantie

De gevolgde procedure dient navolgbaar (en dus controleerbaar) te zijn. Dit is een logisch uitvloeisel van het beginsel van gelijke behandeling. Normaal zorgvuldige en oplettende inschrijvers moeten weten waar ze aan toe zijn.

Proportionaliteit (evenredigheid)

De gestelde eisen, voorwaarden en criteria aan de inschrijvers mogen niet onevenredig zijn in verhouding tot het voorwerp van de opdracht. De Gemeente past het beginsel van proportionaliteit toe bij de te stellen eisen, voorwaarden en criteria aan inschrijvers en inschrijvingen en met betrekking tot de contractvoorwaarden.

Wederzijdse erkenning

Diensten en goederen van ondernemingen uit andere lidstaten van de Europese Unie moeten worden toegelaten voor zover die Diensten en goederen op gelijkwaardige wijze kunnen voorzien in de legitieme behoeften van de Gemeente.

3.2.1 Grensoverschrijdend belang

Bij overheidsopdrachten en concessieovereenkomsten met een duidelijk grensoverschrijdend belang past de Gemeente de algemene beginselen van het aanbestedingsrecht toe.

Of een overheidsopdracht of een concessieovereenkomst een duidelijk grensoverschrijdend belang heeft, zal afhangen van verschillende omstandigheden, zoals de waarde van de opdracht, de aard van de opdracht en de plaats waar de opdracht moet worden uitgevoerd en of er buiten Nederland gevestigde Ondernemers interesse hebben of kunnen hebben.

Voor overheidsopdrachten of concessieovereenkomsten met een duidelijk grensoverschrijdend belang, zal de Gemeente een passende mate van openbaarheid in acht nemen. Dit vloeit voort uit het transparantiebeginsel. Een aankondiging van de te verstrekken opdracht zal de Gemeente op haar website plaatsen en/of in andere gebruikelijke platforms.

3.2.2 Geen grensoverschrijdend belang

Voor sociale en andere specifieke diensten geldt een vereenvoudigde procedure, gezien de beperkte grensoverschrijdende dimensie van deze diensten. Hierbij gaat het bijvoorbeeld om diensten op het gebied van onderwijs, gezondheidszorg en maatschappelijke dienstverlening. Volgens deze vereenvoudigde procedure moet een opdracht met een waarde boven € 750.000 euro verplicht worden (voor)aangekondigd.

De gemeente stelt vast dat voor de in bijlage XIV van de Europese richtlijn genoemde participatiediensten geen grensoverschrijdend belang is. Vanuit door de gemeente Oss in het verleden uitgevoerde (Europese) aanbestedingen, ook bij opdrachtwaarden ruim boven de Europese drempel, en uit analyse en inventarisatie bij andere regio gemeenten en uit ‘Blik op Werk’, dat er geen buitenlandse ondernemingen inschrijven op deze aanbestedingen.

Ook voor de op grond van de Wet Maatschappelijke ondersteuning 2015 te verstrekken voorziening huishoudelijke verzorging is vastgesteld dat er geen grensoverschrijdend belang is, aangezien Nederland het enige land is dat deze voorziening kent.

Algemene beginselen van behoorlijk bestuur

De Gemeente neemt bij haar Inkopen de algemene beginselen van behoorlijk bestuur in acht, zoals het gelijkheidsbeginsel, motiveringsbeginsel en vertrouwensbeginsel.

3.3 Uniforme documenten

De Gemeente streeft ernaar om uniforme documenten te hanteren. Uniformiteit in de uitvoering draagt eraan bij dat Ondernemers weten waar ze aan toe zijn en landelijk gezien niet steeds met verschillende procedureregelingen worden geconfronteerd. De Gemeente past, mits passend bij de betreffende Inkopen in ieder geval toe:

  • Het actuele Aanbestedingsreglement werken (ARW) (voor ‘werken’).

  • Uniforme klachtenregeling van het Ministerie van Economische Zaken, Landbouw en Innovatie, voor zover het betreft de toegang tot de Nationale klachtencommissie. De gemeente Oss stelt geen klachtenmeldpunt aanbestedingen in.

  • Algemene Inkoopvoorwaarden gemeente Oss voor leveringen en diensten 2012 (naar VNG Model) (voor ‘leveringen’ en ‘diensten’).

  • Het actuele reglement UAV (voor de ‘uitvoering van werken en van technische installatiewerken’).

  • De GIBIT - Gemeentelijke Inkoopvoorwaarden IT (VNG) (voor ‘ICT’).

  • De Inhuurvoorwaarden Derden.2018 (voor inhuuropdrachten).

  • De Aanvullende Voorwaarden Oss-De Nieuwe Regeling (AVO-DNR 2016) (voor o.a. ingenieurs- en architectdiensten).

Inkoopadviseurs zijn, in overleg met juristen, gerechtigd af te wijken van de bovengenoemde uniforme documenten indien deze niet passend zijn voor specifieke situaties.

3.4 Mandaat

Inkopen vindt plaats met inachtneming van de vigerende mandaat van de Gemeente. De Gemeente wil slechts gebonden zijn aan verbintenissen en verplichtingen op basis van rechtsgeldige besluitvorming en civielrechtelijke vertegenwoordiging.

Mandatering ligt vast in de mandaatregeling. Deze is te vinden op www.oss.nl.

3.5 Afwijkingsbevoegdheid

Basis van het Inkoop- en aanbestedingsbeleid is de keuze voor een gezonde en effectieve concurrentie. Het is niet mogelijk om alle voorkomende situaties op voorhand te regelen. Dat doet geen recht aan afwijkende of complexe situaties. Daarom wordt uitgegaan van een algemeen geldende richtlijn, waarop maatwerk en afwijking mogelijk zijn.

Afwijking van dit Inkoop- en aanbestedingsbeleid zijn slechts mogelijk en toegestaan op basis van een deugdelijke motivatie. Het college van burgemeester en wethouders mandateert Centrale Inkoop om afwijkingen te toetsen en goed te keuren. Alle afwijkingen en goedkeuringen worden vastgelegd in een startformulier aanbesteding. De betreffende opgave directeur kan worden ingeschakeld in geval van escalatie. Daartoe worden ook de opgave directeuren gemandateerd om afwijkingen goed te keuren.

Uiteraard is afwijken niet toegestaan als Europees aanbesteden wettelijk verplicht is.

3.6 Klachtenregeling

Er is een landelijke klachtencommissie van experts ingesteld. De gemeente Oss verwijst in haar aanbestedingsstukken voor klachten naar deze commissie.

Toekomstige ontwikkeling.

De Tweede Kamer behandelt momenteel een aantal wijzigingen in de Aanbestedingswet en de daarmee samenhangende Gids Proportionaliteit. Eén van die wijzigingen is mogelijk het verplicht stellen aan de gemeenten om zelfstandig of in regioverband een klachtenloket aanbesteden in te richten.

Indien dit voorstel wet wordt zal de gemeente Oss bij voorkeur in regioverband een Klachtenmeldpunt aanbestedingen inrichten. Ondernemers die deel (willen) nemen aan een aanbestedingsprocedure kunnen bij dit Meldpunt een schriftelijke klacht indien, als ze het niet eens zijn met (de inhoud van) een aanbestedingsprocedure. De gemeente zal hiertoe een Klachtenregeling opstellen die van toepassing is op een door de gemeente Oss uit te voeren of lopende aanbestedingsprocedure. De klachtenregeling wordt op de website van de gemeente Oss geplaatst.

4 Ethische en ideële uitgangspunten

4.1 Integriteit

a De Gemeente stelt bestuurlijke en ambtelijke integriteit voorop.

De Gemeente heeft hoog in het vaandel dat haar bestuurders en ambtenaren integer handelen. De bestuurders en ambtenaren houden zich aan de vastgestelde gedragscodes die zijn opgenomen in een tweetal documenten:

  • -

    Natuurlijk Integer beleidskader integriteit voor de ambtelijke organisatie

  • -

    Natuurlijk integer! Gedragscode gemeente Oss.

De bestuurders en ambtenaren handelen zakelijk en objectief, waardoor bijvoorbeeld belangenverstrengeling wordt voorkomen.

  • 1.

    Persoonlijke belangen, die mogelijk strijdig zijn met het gemeentelijke belang, dienen uit eigen beweging gemeld te worden aan het betreffende afdelings- of diensthoofd.

  • 2.

    Belangen in of familiebanden met een leverancier worden eigen beweging gemeld aan de betreffende direct leidinggevende of directeur.

  • 3.

    Alle middelen en informatie, die een medewerker ter beschikking staan vanwege het dienstverband met de gemeente, dienen enkel in het belang van de gemeente te worden gebruikt.

  • 4.

    Reizen op uitnodiging van de leverancier worden alleen aanvaard als zij in hoge mate een zakelijk doel dienen en vooraf gefiatteerd zijn door het betreffende afdelings- of diensthoofd. Voor reizen in het buitenland geldt vooraf fiat van het college van burgemeester en wethouders.

  • 5.

    Aangeboden geschenken, gunsten of diensten worden niet aanvaard.

  • 6.

    Privéadressen van medewerkers worden niet aan leveranciers verstrekt.

  • 7.

    Informatie, die door medewerkers wordt verstrekt, dient naar eer en geweten juist te zijn en niet misvormd of misleidend.

  • 8.

    Prijs-, product- en/of procesinformatie, die in de zakelijke contacten van de gemeente is verkregen, dient vertrouwelijk te worden behandeld, tenzij deze op grond van de wet openbaar moet worden gemaakt.

  • 9.

    Van betrokkenen bij aanbestedingen, en met name beoordelaars, wordt verwacht dat zij dit vooraf melden indien er sprake is van (de schijn van) een belangenconflict.

b De Gemeente contracteert enkel met integere Ondernemers.

De Gemeente wil enkel zakendoen met integere Ondernemers die zich niet bezighouden met criminele of illegale praktijken.

Een toetsing van de integriteit van Ondernemers is bij Inkopen (en aanbestedingen) in beginsel mogelijk, bijvoorbeeld door de toepassing van uitsluitingsgronden of het hanteren van de ‘Gedragsverklaring Aanbesteden’. De Gemeente kan bij twijfel over de integriteit ook het Bureau Bibob om advies vragen. De (actuele) Beleidsregel Bibob is van toepassing.

Het ondermijnen c.q. misbruik maken van regels en/of overheidsgeld, waaronder ook wordt verstaan het indienen van manipulatieve inschrijvingen wordt gezien als niet ethisch. Hiervoor kunnen sancties (uitsluiting) worden opgelegd. Bij Nationale en Europese aanbestedingen leggen we dit vast in een daarvoor beschikbaar gesteld document en wegen dit als “past performance” mee.

Voor meervoudig onderhandse procedures geldt het volgende:

De betreffende inschrijver (rechtspersoon, maar ook als natuurlijk persoon of opvolgend rechtspersoon) wordt voor één jaar (vanaf datum manipulatieve inschrijving of na constatering van de ondermijning) uitgesloten van opdrachten van de gemeente Oss.

Waar als gevolg van het manipulatief inschrijven of ondermijning de gemeente Oss extra kosten maakt (bijvoorbeeld door herbeoordeling), kunnen deze kosten worden verhaald op de manipulatief inschrijver(s).

De gemeente Oss wil geen zaken doen met leveranciers, die:

  • 1.

    zich in het maatschappelijk en zakelijk verkeer onaanvaardbaar gedragen;

  • 2.

    zich schuldig maken aan ongeoorloofde afspraken;

  • 3.

    afspraken over vertrouwelijkheid of geheimhouding schenden;

  • 4.

    noodzakelijke informatie achterhouden of afspraken misvormen met het doel te misleiden;

  • 5.

    medewerkers van de gemeente persoonlijke voordelen gunnen met het doel orders of contracten te krijgen of te houden.

  • 6.

    niet de 4 fundamentele arbeidsnormen van de Internationale Arbeidsorganisatie (ILO) onderschrijven:

    • -

      vrijheid van vakvereniging en recht op collectief onderhandelen;

    • -

      afschaffing van dwangarbeid en slavernij;

    • -

      effectieve afschaffing van kinderarbeid;

    • -

      vrijwaring van discriminatie op het werk en in beroep.

4.2 Maatschappelijk Verantwoord Inkopen

a Bij Inkopen neemt de Gemeente sociale, ecologische en economische aspecten in acht.

Maatschappelijk Verantwoord Inkopen (‘MVI’) betekent dat de Gemeente de effecten op people, planet en profit waar mogelijk meeneemt bij Inkopen. Met een goed duurzaamheidsbeleid kan met Inkoop maatschappelijke doelen worden gerealiseerd (Inkopen met impact).

De Gemeente heeft ook als opdrachtgever en inkoper een voorbeeldfunctie in het maatschappelijk verkeer. Daarnaast heeft de Gemeente als opdrachtgever en inkoper invloed op Ondernemers om wenselijke maatschappelijke veranderingen teweeg te brengen. Door eisen te stellen wil zij een duurzaam beleid door Ondernemers stimuleren. De Gemeente vergroot de impact van Maatschappelijk Verantwoord Inkopen door haar opdrachtgeverschap en de inkooporganisatie intern goed op elkaar af te stemmen.

De basis voor Maatschappelijk Verantwoord Inkopen wordt gelegd in de voorbereiding, door vroegtijdig in de besluitvorming duurzame en sociale aspecten te betrekken en door middel van een marktanalyse de uitvoerbaarheid te toetsen. In alle stappen van het inkoopproces worden weloverwogen keuzes gemaakt ten aanzien van de balans tussen de sociale, ecologische en economische aspecten. Dit kan tot uitdrukking worden gebracht door het volgende:

  • De Gemeente analyseert in welke productgroepen, welke maatschappelijke winst te behalen valt.

  • Bij de product- en marktanalyse kan de Gemeente inventariseren welke Werken, Leveringen of Diensten op het gebied van duurzaamheid op de markt worden aangeboden.

  • De Gemeente promoot het in dialoog met de markt vóór (marktconsultatie) of tijdens de aanbestedingsprocedure (bijv. concurrentiegerichte dialoog) zoeken naar bestaande of nieuwe MVI-oplossingen.

  • In de aanbestedingsstukken (bijvoorbeeld in de minimumeisen of de selectie- en gunningscriteria) en in de te sluiten overeenkomst worden zover als mogelijk en haalbaar duurzaamheidscriteria opgenomen om daarmee de kans te vergroten dat meer opdrachten terecht komen bij leveranciers waar MVI in hun bedrijfsvoering een belangrijke rol speelt. Deze duurzaamheidscriteria zijn te vinden op www.Pianoo.nl.

  • Hoewel de mate van het opnemen van duurzaamheidscriteria wordt bepaald door materiedeskundigen en budgethouders zullen inkoopadviseurs kritisch meedenken over de mate waarin dit in de aanbesteding meeweegt. Dit wordt ook geborgd in het inkoopproces.

  • De Gemeente stimuleert het kijken naar de levensduurkosten en niet enkel de aanschafprijs.

  • De Gemeente kan digitaal Inkopen (E-procurement, E-factureren etc.).

  • De Gemeente monitort de aangeboden MVI-oplossingen en controleert of MVI-afspraken worden nagekomen.

De Gemeente onderschrijft het Manifest Maatschappelijk Verantwoord Inkopen. Het Manifest is bedoeld om de bijdrage van Maatschappelijk Verantwoord Inkopen aan de realisatie van beleidsdoelen te vergroten. De Gemeente heeft conform artikel 3 van het Manifest een Actieplan MVI opgesteld.

Sociale, ecologische en economische aspecten kunnen worden vertaald in specifieke MVI-thema’s, waaronder:

afbeelding binnen de regeling

  • Klimaatbewust Inkopen

    Bij klimaatbewust inkopen gaat het om het voorkomen of minimaliseren van de uitstoot van CO2 en andere broeikasgassen. Het leveren van een positieve bijdrage aan energiebesparing en de transitie naar duurzame energiebronnen. De Gemeente onderschrijft het Klimaatakkoord van Parijs (2015) waarin 195 landen afspraken om de opwarming van de aarde te beperken tot ruim onder de 2 graden. De Gemeente wil stappen maken naar een klimaat neutrale bedrijfsvoering binnen de Gemeente (zoals in energie, mobiliteit en materiaalgebruik). Daarnaast worden ook Ondernemers aan gespoord tot CO2-reductie.

  • Circulair Inkopen inclusief Biobased

    Bij circulair Inkopen wordt het inkoopinstrument ingezet om productie en (her)gebruik van producten en diensten te stimuleren en daarmee de transitie naar een circulaire economie te bevorderen. De Gemeente kan bij inkopen en aanbestedingen bijvoorbeeld het hergebruik van materialen en afvalreductie vereisen.

    Bij biobased inkopen worden producten ingekocht die geheel of gedeeltelijk van hernieuwbare grondstoffen zijn gemaakt. Het gebruik van fossiele grondstoffen wordt teruggedrongen, waardoor de transitie naar een koolstofarme economie wordt ondersteund. De Gemeente streeft ernaar daar waar mogelijk en gewenst biobased producten in te kopen.

  • Keten verantwoordelijkheid (Internationale Sociale Voorwaarden)

    De Internationale Sociale Voorwaarden (ISV), gebaseerd op de fundamentele arbeidsnormen van de International Labour Organisation (ILO), vereisen dat leveranciers analyseren of er risico’s zijn op schendingen van arbeidsnormen en mensenrechten in hun productieketen (zoals kinderarbeid, dwangarbeid, discriminatie van werknemers, niet-betaling van leefbaar loon). Als er risico’s zijn, dan moeten Ondernemers zich inspannen om deze risico’s te voorkomen of te verkleinen. Hiertoe kan de Gemeente bij Inkopen en aanbestedingen de ISV van toepassing verklaren. In de Offerteaanvraag kan de Gemeente de ISV opnemen als uitvoeringseisen.

  • Diversiteit en inclusie

    Een diverse en inclusieve organisatie benut diverse talenten en vermogens op de arbeidsmarkt en laat alle werknemers tot hun recht komen. De gemeente Oss heeft momenteel geen specifiek beleid op dit punt.

  • Milieu inclusief biodiversiteit

    Milieubewust inkopen omvat het tegengaan van milieuverontreiniging (stikstofuitstoot), luchtverontreiniging en gebruik van schadelijke stoffen en pesticiden. Dit mede ter bescherming van de biodiversiteit. Maar ook het tegengaan van voedselverspilling en het verminderen van watergebruik en energiegebruik vallen hieronder. Waar mogelijk volgen wij de MVI (milieu) criteria bij inkopen en aanbestedingen. De overheid is de belangrijkste beheerder van de openbare ruimte en de natuur en besteedt een groot deel van haar inkoopbudget hieraan. Een reeds lang bestand instrument bij (grote) projecten in de natuur en de openbare ruimte is de milieueffectrapportage. Milieueffectrapporten gaat in op geluid en trillingen, lucht, geur, externe veiligheid, bodem, water, natuur, verkeer, cultuur, landschap, archeologie, gezondheid, klimaatadaptatie en circulariteit. De gemeente maakt hier al veelvuldig gebruik van.

b De Gemeente wil dat inkopen ook een social return opleveren.

Social return is het principe dat Ondernemers naast het uitvoeren van de reguliere opdracht iets terugdoen voor de Gemeente, op maatschappelijk of sociaal vlak. De Gemeente wil dat haar Inkopen ook een sociale opbrengst (return) opleveren voor de maatschappij.

Bij Inkopen en aanbestedingen kan worden gekozen voor sociale uitgangspunten en wordt nagedacht over de kansen die er zijn voor social return bij een specifieke Werk, Levering en Dienst. De Gemeente kan social return inzetten voor:

  • Het bevorderen van de participatie van mensen met een afstand tot de arbeidsmarkt.

  • Het stimuleren van sociaal ondernemen.

  • Het bereiken van andere doelen in het sociaal domein, zoals armoedebestrijding, onderwijs en zorg.

In de gemeente Oss is omtrent sociaal return het volgende afgesproken. Social return is een aanpak om meer werkgelegenheid te creëren voor mensen met een afstand tot de arbeidsmarkt. Hiertoe worden bij Inkoop- en aanbesteden bindende afspraken gemaakt met opdrachtnemers voor het creëren van extra arbeidsplekken, werkervaringsplekken of stageplekken voor mensen met een afstand tot de arbeidsmarkt.

De toepassing van social return is verplicht voor alle opdrachten boven het Europese drempelbedrag voor aanbesteden voor diensten en leveringen. Dit drempelbedrag is ook van toepassing op aanbestedingen voor werken. Bij lagere bedragen is social return ook toegestaan, maar dient te worden overwogen of de investering opweegt tegen de opbrengst (proportionaliteitstoets).

De opdrachtnemer dient als uitgangspunt minimaal 5% van de aanneemsom te besteden aan social return. Maar wanneer de loonsom minder is dan 30% van de totale aanneemsom, kan worden gekozen voor 2% van de aanneemsom. In sommige gevallen is maatwerk vereist. Deze keuzes worden gemaakt door de aanbestedende dienst.

Een opdrachtnemer kan invulling geven aan de social return verplichting door het overleggen van een geldig PSO Certificaat, minimaal trede 2. (Prestatieladder Sociaal Ondernemen). Verder verwijzen wij naar de geldende Beleids- en uitvoeringsregels social return gemeente Oss zoals vastgesteld door het College. Deze Beleids- en uitvoeringsregels zijn in overleg met de Arbeidsmarktregio Noordoost-Brabant opgesteld.

Social return kan ook worden toegepast bij subsidieverlening!

c Inkopen draagt bij aan de Duurzame Ontwikkelingsdoelen van de VN.

Door Maatschappelijk Verantwoord Inkopen draagt de Gemeente bij aan het verwezenlijken van de Duurzame Ontwikkelingsdoelen (Sustainable Development Goals) van de Verenigde Naties. Doel 11 van de 17 Doelen gaat specifiek in op het realiseren van duurzame steden en gemeenschappen. Doel 12 (in het bijzonder doel 12.7) ziet op duurzame praktijken bij overheidsopdrachten. Maatschappelijk Verantwoord Inkopen draagt onder meer bij aan het zorgen voor duurzame energie (doel 7), het terugdringen van klimaatverandering (doel 13) en het bevorderen van fatsoenlijk werk en gelijk loon voor gelijk werk (doel 8).

5 Economische uitgangspunten

5.1 Product- en marktanalyse

  • a.

    Inkopen vindt plaats op basis van een voorafgaande product- en marktanalyse, tenzij dit gelet op de waarde of de aard van de opdracht niet wordt gerechtvaardigd.

    De Gemeente acht het van belang om de markt te kennen door, indien mogelijk, een product- en/of marktanalyse uit te voeren. Een productanalyse leidt tot inzicht in de aard van het ‘product’ en de relevante markt(vorm). Een marktanalyse leidt tot het inzicht in de relevante markt(vorm), de Ondernemers die daarop opereren en hoe de markt- en mogelijke machtsverhoudingen zijn (bijvoorbeeld: kopers- of verkopersmarkt). Door een product- en/of marktanalyse kan daarnaast worden geïnventariseerd welke duurzame en innovatieve oplossingen door de markt kunnen worden geboden. Een marktconsultatie met Ondernemers kan onderdeel uitmaken van de marktanalyse. De Gemeente kan contact opnemen met MVO Nederland voor ondersteuning bij het zoeken naar duurzame oplossingen.

5.2 Onafhankelijkheid en keuze voor de ondernemersrelatie

  • a.

    De Gemeente acht een te grote afhankelijkheid van Ondernemers niet wenselijk.

    De Gemeente streeft naar onafhankelijkheid ten opzichte van Ondernemers (Contractanten) zowel tijdens als na de contractperiode. De Gemeente moet in beginsel vrij zijn in het maken van keuzes bij haar Inkopen (waaronder de keuze van Ondernemer(s) en Contractant(en), maar ook vanwege de naleving van de (Europese) wet- en regelgeving.

  • b.

    De Gemeente kiest voor de meest aangewezen ondernemersrelatie.

    Gedurende de contractperiode kan bij de Contractant afhankelijkheid ontstaan van de Gemeente door bijvoorbeeld de te behalen doelstellingen, resultaten, productontwikkelingen (innovatie) of het creëren van prikkels. De Gemeente kiest in dat geval voor de meest aangewezen ondernemersrelatie. De mate van (on)afhankelijkheid in een ondernemersrelatie wordt onder andere bepaald door de financiële waarde van de opdracht, switchkosten, mate van concurrentie in de sector (concentratiegraad) en beschikbaarheid van alternatieve Ondernemers.

5.3 Lokale economie, MKB en sociale ondernemingen

  • a.

    De Gemeente heeft oog voor de lokale economie, zonder dat dit tot enigerlei vorm van discriminatie van Ondernemers leidt.

    In gevallen waar een enkelvoudig onderhandse Offerteaanvraag en/of een meervoudig onderhandse Offerteaanvraag volgens de geldende wet- en regelgeving is toegestaan, zal daar waar het kan rekening worden gehouden met de lokale Ondernemers en de lokale economie. Discriminatie moet daarbij worden voorkomen en de Gemeente moet niet onnodig regionale, nationale, Europese of mondiale kansen laten liggen. ‘Local sourcing’ kan bijdragen aan de doelmatigheid van Inkoop. Bij onderhandse aanbestedingen bepaalt de gemeente welke partijen aan een aanbesteding mogen deelnemen. De plaatselijke leveranciers worden, waar mogelijk en zinvol, betrokken in de concurrentie. Absolute voorwaarde is wel dat zij voldoen aan de criteria die aan een specifieke levering worden gesteld (omvang, ervaring, kwaliteit, service etc.) tegen een concurrerende prijs.

    Er zal ook altijd sprake moeten zijn van voldoende concurrentie met tenminste één leverancier buiten de gemeente.

    Beneden de laagste aanbestedingsdrempel (€ 70.000,- voor leveringen en diensten, € 150.000 voor werken), waar volgens dit beleid niet aanbesteed hoeft te worden heeft het de voorkeur dat waar mogelijk bij Osse leveranciers wordt ingekocht, mits deze voldoen aan de bovengenoemde absolute voorwaarde.

  • b.

    De Gemeente heeft oog voor het midden- en kleinbedrijf (MKB) en zelfstandigen (ZZP).

    Uitgangspunt is dat alle Ondernemers gelijke kansen moeten krijgen. De Gemeente houdt echter bij haar Inkoop de mogelijkheden voor het midden- en kleinbedrijf in het oog. Dit kan de Gemeente doen door gebruik te maken van percelen in aanbestedingen, het toestaan van het aangaan van combinaties en Onderaanneming, het verminderen van de lasten en het voorkomen van het hanteren van onnodig zware selectie- en gunningscriteria. Waar mogelijk en zinvol dienen kleine bedrijven in staat gesteld te worden deel te nemen aan aanbestedingen, bijvoorbeeld door het aanbesteden in percelen. Hiervoor moet een afweging worden gemaakt tussen kosten voor de gemeente (beheerslast en prijs), en de belangen van het bedrijfsleven.

    De gemeente Oss zal, waar mogelijk, aanbestedingen ruim tevoren kenbaar maken via haar website. Aanbestedingen voor Civiel- en cultuurtechnische werken, waar leveranciers via de groslijst methode worden geselecteerd, worden niet gepubliceerd.

    Groslijsten civiel- en cultuurtechnische werken:

    In de betreffende categorieën van aannemers zijn er veel aanbieders en worden relatief veel opdrachten verstrekt.

    Hierdoor is er behoefte tot het nader structureren van de leveranciers selectie voor onderhandse aanbestedingen. Deze is omschreven in de Notitie “Groslijstmethodiek, IBOR gemeente Oss, Civiel- en cultuurtechnische werken”. De systematiek van groslijsten is alleen van toepassing voor civiel- en cultuurtechnische werken met opdrachten van € 50.000,- tot € 1.500.000,-.

  • c.

    De Gemeente heeft oog voor sociale ondernemingen.

    Bij Inkopen kan de Gemeente opdrachten voorbehouden aan sociale werkplaatsen of sociale ondernemingen die werk bieden aan kwetsbare doelgroepen. Door oog te hebben voor deze ondernemingen kan aan alle onderdelen van Maatschappelijk Verantwoord Inkopen worden bijgedragen. Artikel 2.82 Aanbestedingswet biedt de mogelijkheid deelname aan aanbestedingsprocedures voor te behouden aan sociale werkplaatsen en sociale ondernemingen die de maatschappelijke en professionele integratie van mensen met een afstand tot de arbeidsmarkt als belangrijkste doel hebben.

    Daarnaast bestaat de mogelijkheid om gebruik te maken van artikel 11 richtlijn 2014/24/EU en artikel 2.24 van de aanbestedingswet 2012. Deze artikelen maken het mogelijk dat de gemeente Oss voor bepaalde diensten een uitsluitend recht kan toepassen ten behoeve van hen die zijn aangewezen op de sociale werkvoorziening. Daarbij moet ook voldaan worden aan het bepaalde in het Verdrag betreffende de werking van de Europese Unie. Om deze opdrachten te kunnen verstrekken is er door de gemeenteraad een verordening vastgesteld waarin de weg voor het vestigen van een uitsluitend recht voor opdrachten met een sociale dimensie is geopend. Er is dan van opdracht tot opdracht een aanwijzingsbesluit van het college nodig om dit alleenrecht te verlenen.

    In dit aanwijzingsbesluit kunnen dan de nadere voorwaarden en condities zijn vermeld.

5.4 Innovatie

De Gemeente Oss moedigt, daar waar mogelijk, innovatiegericht Inkopen (en aanbesteden) aan. Bij innovatiegericht Inkopen wordt gezocht naar een innovatieve oplossing of laat de Gemeente Oss ruimte aan de Ondernemer om een innovatieve oplossing aan te bieden. Het kan bijvoorbeeld gaan om een volledig nieuwe innovatieve oplossing, maar ook om de verdere ontwikkeling van de eigenschappen van een bestaand product. Zo nodig maken wij gebruik van de procedure voor het innovatiepartnerschap.

5.5 Samenwerkingsverbanden

De Gemeente hanteert als uitgangspunt dat zij oog heeft voor samenwerking bij Inkopen. Dit geldt zowel voor samenwerkingen binnen de eigen organisatie als voor samenwerkingen met andere gemeenten of aanbestedende diensten. Deze samenwerkingsverbanden kunnen bijvoorbeeld betrekking hebben op inkoopsamenwerking, milieuactiviteiten, werkvoorzieningsschappen, belastingen en sociale regelgeving.

Vanwege kennisdeling en efficiëntie wordt structureel samengewerkt met aanbestedende diensten uit de regio. De gemeente is actief deelnemer van het Inkoopplatform Noordoost Brabant.

De gemeente Oss draagt zorg voor een zo groot mogelijke beperking van de met de totstandkoming van die overeenkomst samenhangende en daaruit voortvloeiende administratieve lasten.

Elke aanbestedingsprocedure kost de gemeente en Ondernemers veel geld en capaciteit. Om nu, maar ook in de toekomst voldoende kennis, capaciteit en middelen beschikbaar te hebben en te houden om tot een efficiënte en effectieve inkoop te komen, vindt de gemeente Oss het noodzakelijk om waar mogelijk en zinvol samen te werken met andere aanbestedende diensten. Daarbij wordt geborgd dat voldoende bedrijven uit het (lokale) MKB voor een (deel)opdracht in aanmerking kunnen komen. Vanuit het oogpunt van kostenoverwegingen, efficiëntie en lastenverlichting achten wij het voor de gemeente Oss, maar ook voor alle bedrijven verantwoord om opdrachten in 1 (één) procedure aan te besteden. Daarbij wordt niet onnodig samengewerkt of worden opdrachten niet onnodig samengevoegd. De in de opdrachten gestelde eisen worden niet onnodig hoog of zwaar gemaakt, zodat het MKB voldoende kansen blijft behouden – bijvoorbeeld door gezamenlijke inschrijving – op (deel)opdrachten.

Indien gekozen wordt voor samenwerking richt het samenwerkingsverband het proces en de samenwerking zodanig in, dat de inkoopprocedure en het contractmanagement voor alle betrokken partijen beheersbaar is en blijft. Dat betekent onder andere:

  • -

    één aanspreekpunt tijdens de procedure en tijdens de uitvoering van contract(en);

  • -

    in beginsel uniforme contracteisen en –voorwaarden;

  • -

    inschrijvers en gegunde contractspartijen worden niet onnodig zwaar administratief belast;

  • -

    het risico wordt op basis van redelijkheid en billijkheid bij die partij wordt gelegd waar deze redelijkerwijs ook het beste gelegd kan worden.

5.6 Bepalen van de inkoopprocedure

De Gemeente heeft de vrijheid om zelf zorg te dragen voor haar taken (zelfvoorziening) of deze taken uit te besteden aan de markt.

Indien de Gemeente kiest voor een bepaalde inkoopprocedure, hanteert zij (onder meer) het onderstaande uitgangspunt. Bij deze afweging is onder meer het type Werk, Dienst of Levering en de markt van belang.

Aan de hand van de waarde van de opdracht

De Gemeente zal − met inachtneming van de Gids Proportionaliteit − bij de onderstaande bedragen de volgende procedures hanteren, tenzij de Gemeente in het startformulier gemotiveerd aangeeft waarom zij hiervan wenst af te wijken.

 

Werken

Leveringen

Diensten

Enkelvoudig

Tot € 150.000

Tot € 70.000

Tot € 70.000

Meervoudig

€ 150.000 tot

€ 2.500.000

€ 70.000 tot

€ 216.000

€ 70.000 tot

€ 216.000

Nationaal

€ 150.000 tot

€ 5.404.000 (=

Europees drempelbedrag)

€ 70.000 tot

€ 216.000 (=

Europees drempelbedrag)

€ 70.000 tot

€ 216.000 (=

Europees drempelbedrag)

Europees

Vanaf € 5.404.000

Vanaf € 216.000

Vanaf € 216.000

Concessies

Vanaf € 5.404.000

 

Vanaf € 5.404.000

Sociale diensten en

Diensten (SAS)

 
 

Vanaf € 750.000

(De bedragen zijn exclusief BTW. De Europese (drempel-)bedragen zijn geldend per 1-1-2026 t/m 31-12-2027 en worden om de 2 jaar wettelijk aangepast. Als wettelijke bedragen worden aangepast gelden die automatisch ook voor dit beleid)

Enkelvoudig onderhandse Offerteaanvraag

De Gemeente vraagt minimaal aan één Ondernemer een Offerte. De bovengrens voor enkelvoudig inkopen voor zowel werken, leveringen als diensten ligt binnen de grenzen die de Gids Proportionaliteit aangeeft. De gemeente pakt hier de maximale ruimte vanwege:

  • Efficiëntie en snelheid: minder administratieve lasten en snellere procedures.

  • Kostenbesparing: minder inzet van capaciteit en middelen. Dit zowel aan gemeente als aan ondernemers kant.

  • Marktgericht inkopen: meer ruimte voor lokaal en regionaal MKB in te kopen.

  • Met de hiervoor genoemde 3 punten creëert de gemeente ook “zo veel mogelijk maatschappelijke waarde voor de publieke middelen” (art. 1.4 Aanbestedingswet)

  • Flexibiliteit: meer afwegingsruimte per opdracht.

  • Het draagt bij aan (meer) draagvlak binnen de organisatie.

Hierbij waakt de gemeente voor rechtsongelijkheid en favoritisme. Dat kunnen en moeten we voorkomen door bij de start van elke inkoopprocedure het startformulier in te vullen en daarin te motiveren waarom we de gekozen ondernemer(s) willen uitnodigen. Daarbij kunnen we dan bewaken dat we niet altijd dezelfde ondernemer(s) uitnodigen.

Meervoudig onderhandse Offerteaanvraag

De Gemeente vraagt ten minste aan drie Ondernemers en ten hoogste aan vijf Ondernemers een Offerte. Hier kan bij uitzondering gemotiveerd van worden afgeweken.

De bovengrens om meervoudig onderhands aan te besteden legt de gemeente voor leveringen en diensten op de Europese drempel voor Leveringen en diensten. Voor werken ligt die grens in beginsel op € 2.500.000,-, maar gemotiveerd (in aanbestedingsdocumenten en startformulier) mag daarvan worden afgeweken. De redenen voor genoemd bedrag komen overeen met de redenen die hiervoor bij “Enkelvoudig onderhandse offerteaanvraag” zijn benoemd. De gemeente legt bij de grens voor leveringen en diensten op de grens (oranje gebied) van de Gids Proportionaliteit (zie bijlage 2). De Gids kent het principe ‘pas toe of leg uit’. De gemeente Oss kiest er bewust voor om hier de grenzen van de Gids op te zoeken. Niet alleen hanteren zeer veel gemeenten deze ruimte en leidt dit in de praktijk niet tot discussies (rechtszaken), maar vooral omdat we hiermee maximaal gebruik kunnen maken om lokale Ondernemers te betrekken bij de aanbesteding. Dat geeft maximale kansen aan de lokale/regionale economie en werkgelegenheid.

Leveranciersmanagement bij onderhands aanbesteden

Het uitgangspunt is dat zoveel mogelijk lokale leveranciers bij de aanbestedingen worden betrokken maar dat er altijd tenminste één leverancier van buiten Oss wordt meegenomen in de aanbesteding.

Bij een onderhandse aanbesteding worden 3 tot 5 leveranciers gekozen. De keuze wordt gemotiveerd in het Startformulier van de aanbesteding. Het is ook mogelijk deze keuze te maken op basis van op kwaliteitservaringen en/of resultaten in eerdere soortgelijke aanbestedingen. Er moet worden gewaakt dat niet steeds in dezelfde “kring” van leveranciers wordt aanbesteed. Leveranciers dienen de kans krijgen te tonen dat hun niveau verbeterd is.

Nationaal aanbesteden

Onder de (Europese) drempelbedragen zal de Gemeente nationaal aanbesteden. De Gemeente zal voorafgaand aan de opdrachtverlening een aankondiging plaatsen op TenderNed.

Europees aanbesteden

Boven de (Europese) drempelbedragen zal de Gemeente in beginsel Europees aanbesteden, tenzij dit in een bepaald geval niet nodig is op grond van de geldende wet- en regelgeving. Sinds 01-07-2017 is het verplicht Europese aanbestedingen digitaal uit te voeren. De gemeente Oss publiceert op www.TenderNed.nl.

Sociale en andere specifieke diensten (SAS diensten van Bijlage XIV Europese richtlijn)

De Europese Aanbestedingsrichtlijn en de Aanbestedingswet kennen op het gebied van diensten een categorie diensten waarvoor de Europese Aanbestedingsrichtlijn slechts beperkt van toepassing is, de z.g. sociale en specifieke diensten bijlage XIV van de Europese Aanbestedingsrichtlijn 2014/24 EU respectievelijk het Publicatieblad van de Europese Unie d.d. 26-02-2014. Deze diensten kunnen Europees, nationaal aanbesteed of onderhands worden gegund. Voor deze diensten wordt in ons beleid voor bedragen ONDER de Europese aanbestedingsgrens aanbesteden niet verplicht gesteld, maar wel wordt aanbevolen per geval te overwegen of een aanbesteding zinvol is. In het Startformulier moet deze keuze gemotiveerd en door centrale inkoop geaccordeerd worden.

Voor inkopen BOVEN de Europese aanbestedingsgrens geldt een verlicht aanbestedingsregime. Daarbij worden de stappen als benoemd in artikel 2.39 Aanbestedingswet gevolgd.

Open house inkoop

Een bijzondere inkoopprocedure is de zogenaamde Open house inkoop. Er is dan geen sprake van een aanbesteding als bedoeld in de Aanbestedingswet/Europese aanbestedingsrichtlijnen. De Aanbestedingswet is dan ook niet van toepassing. Bij deze inkoopprocedure krijgt elke Ondernemer die zich tijdig meldt (aanmelddatum) én voldoet aan de door de gemeente gestelde (geschiktheids-) eisen een overeenkomst. De gemeente kiest/selecteert dus niet o.b.v. een aanbestedingsprocedure voor één of meerdere Ondernemers. Met name in het sociaal domein wordt deze vorm van inkoop gehanteerd, maar dat hoeft niet en ook andere producten/diensten dan in het sociaal domein kunnen in beginsel met Open house worden ingekocht.

Subsidies

Subsidies die tevens een overheidsopdracht zijn, moeten conform de aanbestedingsregels en dit beleid worden aanbesteed (subsidietender). Om te bepalen of de subsidie aanbesteed hanteren we het stroomschema (bijlage 3 ).

Inhuur derden

De gemeente Oss wenst de inhuur van derden zoveel mogelijk te beperken. Toch is inhuur door uitval van vaste medewerkers of capaciteitsproblemen of gebrek aan specifieke kennis soms nodig. Inhuur is sinds 2016 aanbestedingsplichtig. Voor uitzenden (tot en met functieschaal 10) en payroll zijn raamcontracten gesloten. Voor de inhuur vanaf functieschaal 11 geldt dat we de opdracht in beginsel plaatsen op een dynamisch aanbestedingssysteem (werkeninnoordoostbrabant/ inhuurdesk). Omdat het systeem is aanbesteed, kan de gemeente elke inhuuropdracht, ongeacht de waarde, hierop plaatsen (‘bestellen’). In uitzonderingsgevallen (urgentie die (vrijwel) direct gevolgen heeft voor de bedrijfsvoering of invloed hebben op de dienstverlening aan burgers en bedrijven, maar ook bij door de markt zeer moeilijk vervulbare functies) kan na overleg en akkoord centrale inkoop (startformulier) afgeweken worden van het uitgangspunt dat de opdracht op het dynamisch aanbestedingssysteem wordt geplaatst. Voor de werkwijze verwijzen we naar het geldende inhuurproces.

Startformulier

Bij elke inkoop van € 10.000,- of meer wordt door de budgethouder/projectleider een startformulier opgesteld. Het startformulier wordt volledig ingevuld en aangeboden voor akkoord aan centrale inkoop. Afwijking van beleid kan nooit zonder akkoord van centrale inkoop.

Voor inhuur derden hoeft in beginsel geen startformulier te worden opgesteld. Het gaat namelijk om het ‘bestellen’ uit een bestaande raamovereenkomst (uitzenden of payroll of inhuurdesk) of uit het specifiek voor inhuur ingerichte Dynamisch AankoopSysteem (WerkeninnoordoostBrabant.nl). Alleen als bij het ‘bestellen’ geen geschikte kandidaat wordt gevonden, moet wel een startformulier worden opgesteld. Daarin wordt vastgelegd dat er via de bestelprocedure geen geschikte kandidaat is gevonden en de gemeente overgaat tot het benaderen van het netwerk (enkelvoudig onderhands gunnen).

In het Startformulier leggen we voordat we met de inkoop/aanbesteding starten o.a. vast:

  • -

    de gekozen procedure en bij afwijkingen van dit beleid de motivatie voor die afwijking;

  • -

    bij (meervoudig) onderhands aanbesteden: de Ondernemer(s) die gekozen zijn voor deelname aan de procedure met motivatie voor die keuze. Indien geen lokale Ondernemers worden uitgenodigd dient dat ook gemotiveerd te worden;

  • -

    het toepassen van duurzaamheidscriteria bij inkopen met een geraamde waarde van € 40.000 of meer; Het criterium met naar verwachting de meeste impact/waarde op de inkoop wordt benoemd. Indien dit niet wordt toegepast wordt dit gemotiveerd;

  • -

    het toepassen van social return bij inkopen met een geraamde waarde van € 40.000 of meer voor zover dit proportioneel en effectief kan zijn. Boven de Europese drempel voor leveringen en diensten wordt social return in beginsel altijd toegepast. Indien dit niet wordt toegepast wordt dit gemotiveerd.

  • -

    Het startformulier wordt altijd aangeboden aan de afdeling AO/IC.

5.7 Raming en financiële budget

Inkopen vindt plaats op basis van een deugdelijke en objectieve voorafgaande schriftelijke raming van de opdracht. De raming is ook van belang om de financiële haalbaarheid van de opdracht te bepalen. De Gemeente wil immers niet het risico lopen dat zij verplichtingen aangaat die zij niet kan nakomen.

5.8 Eerlijke mededinging en commerciële belangen

De Gemeente bevordert eerlijke mededinging. De betrokken Ondernemers moeten een eerlijke kans krijgen om de opdracht gegund te krijgen. Door in principe objectief, transparant en non-discriminerend te handelen, bevordert de Gemeente een eerlijke mededinging. Dit zal bijdragen aan het in standhouden van een gezonde marktwerking (ook op de lange termijn). De Gemeente wenst geen Ondernemers te betrekken in haar inkoopproces die de mededinging vervalsen.

6 Organisatorische uitgangspunten

6.1 Inkoopproces

Het inkoopproces bestaat uit verschillende fasen, startend vanaf het voortraject. Het onderstaande plaatje geeft het cyclische inkoopproces weer.

afbeelding binnen de regeling

Stap

Fase inkoopproces

Toelichting

1

Voortraject

  • Bepalen van inkoopbehoefte

  • Bepalen van het aanbod (bijv. product- en marktanalyse)

  • Raming en bepalen van het financiële budget

  • Keuze Offerteaanvraag

2

Specificeren

  • Opstellen van eisen en wensen

  • Omschrijven van de opdracht

  • Opstellen Offerteaanvraag

3

Selecteren

  • Eventuele voorselectie geïnteresseerde Ondernemers

  • Bekendmaking opdracht via verzenden van de Offerteaanvraag, de website of TenderNed

  • Offertes evalueren

  • Nader onderhandelen (indien mogelijk op grond van de geldende wet- en regelgeving)

  • Gunning aan winnende Ondernemer

4

Contracteren

  • Tekenen (raam) overeenkomst met (winnende) Contractant

  • Registreren getekende overeenkomst

  • Informeren afgewezen Ondernemers

5

Bestellen

  • Uitvoeren van de opdracht

  • Eventueel met het doen van bestellingen

6

Bewaken

  • Bewaken termijnen

  • Controleren nakoming afgesproken prestaties, waaronder de MVI-afspraken.

  • Tijdige betaling facturen

7

Nazorg

  • Beheren van de overeenkomst, bijvoorbeeld prijsindexeringen of looptijd

  • Evalueren overeenkomst met Contractant

6.2 Inkopen in de organisatie

Inkopen is in de Gemeente als volgt georganiseerd:

Professioneel inkopen bij de overheid wordt steeds complexer. Veel productcategorieën en deelmarkten ontwikkelen zich snel en gedifferentieerd. De gemeente Oss beschikt over productkennis en algemene kennis van het inkoopproces. Op veel plaatsen in de organisatie ontbreekt echter kennis van de specifieke inkoopmarkten. Deze kennis kan worden verworven door marktonderzoek en marktconsultatie waarna keuzes in het aanbestedingsproces gemotiveerd kunnen worden. Tevens is marktkennis een economische noodzaak. Er zijn decentraal in de organisatie inkoopspecialisten aangesteld met kennis van en focus op deelmarkten waarin Oss frequent inkoopt.

Als externe inhuur van aanbestedingsexperts om redenen van kennis of capaciteit noodzakelijk is, wordt de aanbesteding door de Osse organisatie uitgevoerd met zoveel mogelijk beperkte externe ondersteuning om kosten te drukken en kennis te borgen in de organisatie.

Vorm

Als vorm voor de inkooporganisatie is de gecoördineerde inkoop gekozen. In de gecoördineerde inkoopfunctie worden de inkoopstromen gebundeld en langs professionele weg naar de markt geleid, maar met behoud van de decentrale uitvoering. Centraal gepositioneerd is Team Inkoop verantwoordelijk voor beleid en kaderstelling.

Uitgangspunten

  • -

    Aanbestedingen worden uitgevoerd door centrale-, decentrale inkoopadviseurs en projectleiders onder regie van budgethouders.

  • -

    Er zijn een aantal decentrale inkoopadviseurs, gekoppeld aan productgroepen. Deze decentrale inkoopadviseurs vallen onder afdelingen/teams die het meest gebruik maken van hun diensten. Samen met centrale inkoop vormen zij het organisatiebrede Inkoopteam

  • -

    De decentrale inkoopfuncties hebben omvang tussen de 0,5 en de 1 fte. De minimale omvang is 0,25fte. Daaronder lukt professionalisering niet.

  • -

    Er is een uitzondering gemaakt voor de inkoop van werken bij Beheer Openbare Ruimte en Vastgoed. Daar is aanbesteden onderdeel van het takenpakket van de projectleiders.

  • -

    Centraal is er staf/service capaciteit Inkoop. Hier worden ingrijpende wijzigingen in wet- en regelgeving, de professie e.d. bijgehouden. Het is een expertisecentrum dat opleidingen organiseert, inkoopanalyses maakt en de decentrale inkoopadviseurs functioneel aanstuurt. De proceseigenaar van het Inkoopproces wordt van hieruit ondersteund.

  • -

    Contractmanagement (zorgen dat je krijgt wat je afgesproken hebt voor de euro’s die je afgesproken hebt, of het maken van andere afspraken) vindt plaats onder verantwoordelijkheid van de budgethouder.

  • -

    Om kosten te besparen worden raamcontracten aanbesteed. Raamcontracten zijn bindend voor de organisatie. Buiten raamcontracten bestellen is niet toegestaan. Afwijken kan alleen na toestemming van de centrale inkoop;

Verantwoordelijken

Inkopen wordt concreet uitgevoerd door het ambtelijk apparaat. De portefeuillehouder Inkopen is verantwoordelijk voor Inkopen. Het college van burgemeester en wethouders is verantwoordelijk voor de uitvoering van het Inkoop- en aanbestedingsbeleid. Voor een succesvolle toepassing van dit Inkoop- en aanbestedingsbeleid is betrokkenheid van bestuurder, budgethouder/opdrachtgever en inkoper essentieel. In bijlage 1 zijn de taken en verantwoordelijkheden van de diverse functies nader uitgewerkt.

Ondertekening

Vastgesteld door B&W gemeente Oss d.d.:02-12-2025

Bijlage 1 Taken en verantwoordelijkheden

Taken en verantwoordelijkheden centrale Inkoop.

  • -

    Centraal aanspreekpunt betreffende inkoopzaken

  • -

    Ontwikkelen en onderhouden van het Inkoopbeleid

  • -

    Stellen van kaders op inkoopgebied

  • -

    Volgen vaktechnische ontwikkelingen

  • -

    Volgen en implementeren van beleidsdoelen van de eigen organisatie

  • -

    Ter beschikking stellen van inkoopkennis door middel van opleidingen

  • -

    Vaktechnisch aansturen van de decentrale inkoop

  • -

    Gevraagd en ongevraagd adviseren van de organisatie en het bestuur

  • -

    Het ontwikkelen en onderhouden van inkoopinstrumenten en –procedures

  • -

    Uitvoeren van spend- analyses en opstellen van inkoopjaarplannen

  • -

    De begeleiding van Europese aanbestedingen (verantwoordelijk voor het doorlopen van juiste procedure, niet voor de inhoud)

  • -

    Adviseren van de AO/IC organisatie bij controle en signalering betreffende het voldoen aan de Europese- en nationale wetgeving

  • -

    Initiëren en ontwikkelen van inkoopsamenwerking met externe partijen

  • -

    Fungeren als achtervang bij afwezigheid van decentrale inkoopcapaciteit

  • -

    contractbeheer (opslaan en registreren in contractbeheersysteem van door budgethouder/contracteigenaar aangeleverde contracten en signaalfunctie bij fatale termijnen in overeenkomst)

  • -

    mee schrijven Actieplan MVOI

  • -

    signaleren en faciliteren gebruik duurzaamheidscriteria MVI. D.w.z. dat Inkoop de budgethouder/contracteigenaar slechts wijst of het toepassen van duurzaamheidscriteria en waar hij/zij die mogelijk kan vinden. Inkoop is niet verantwoordelijk voor duurzaamheidsbeleid, noch is Inkoop adviserend over het gebruik van de (juiste) duurzaamheidscriteria.

Taken en verantwoordelijkheden decentrale inkoop.

  • -

    Uitvoeren en begeleiden van aanbestedingen.

  • -

    Het uitvoeren van operationele inkoopactiviteiten, waarbij zo nodig gebruik wordt gemaakt van gecoördineerde faciliteiten.

  • -

    Organisatie van en toezicht op contractmanagement.

  • -

    Het uitvoeren van nazorgactiviteiten.

  • -

    Bestellingen blijven decentraal door de organisatie gebeuren. Wel zal dit steeds meer gefaciliteerd worden door raamcontracten die het bestellen vereenvoudigen.

  • -

    Signaleren gebruik duurzaamheidscriteria MVI. D.w.z. dat Inkoop de budgethouder/contracteigenaar slechts wijst of het toepassen van duurzaamheidscriteria. Inkoop is niet verantwoordelijk voor duurzaamheidsbeleid, noch is Inkoop adviserend over het gebruik van de (juiste) duurzaamheidscriteria.

Taken en verantwoordelijkheden budgethouder/contracteigenaar (m.b.t. inkoop/inhuur derden).

  • -

    Opstellen startformulier bij inkoop > € 10.000,-.

  • -

    Uitvoeren onderhandse aanbesteding tot € 10.000,-.

  • -

    Uitvoeren onderhandse aanbesteding tot € 40.000,-, na goedkeuring door centrale inkoop.

  • -

    Inhoudelijk verantwoordelijk voor meervoudig onderhandse, nationale en Europese aanbestedingen.

  • -

    Team uit vakafdeling en eventueel externe adviseurs samenstellen voor de inhoudelijke bijdrage aan bestek/Programma van Eisen/contract en de beoordeling van offertes.

  • -

    Het tekenen van de overeenkomst (voorzover binnen mandaat) en het verlengen (voor zover overeengekomen) van de overeenkomst.

  • -

    De contracteigenaar ziet toe op registratie volgens de juiste procedure in een registratiesysteem voorzover hij geen gebruik maakt van het contractbeheersysteem van centrale inkoop, dan wel levert contracten aan voor registratie bij centrale inkoop. De contracteigenaar is verantwoordelijk voor het tijdig actie ondernemen op 'piepsignalen' uit het contractregistratiesysteem (verlengen, contract opzeggen e.d.).

  • -

    Contractmanagement.

  • -

    Taken m.b.t inhuur (zie inhuurproces).

  • -

    Inhoudelijke input voor Actieplan MVI.

  • -

    Inhoudelijk verantwoordelijk voor hanteren duurzaamheidscriteria inclusief monitoring daarvan.

Nog niet belegd:

Toets integriteit in het kader van de wet Bibob tijdens aanbestedingen cq. na gunning.

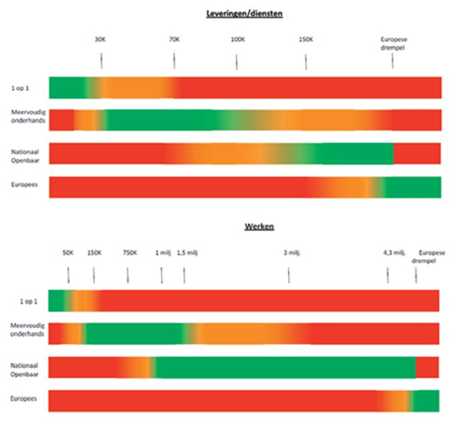
Bijlage 2 Kleurenschema Gids Proportionaliteit

afbeelding binnen de regeling