Verordening op de zuiveringsheffing en verontreinigingsheffing van Wetterskip Fryslân 2026

Geldend van 01-01-2026 t/m heden

Intitulé

Verordening op de zuiveringsheffing en verontreinigingsheffing van Wetterskip Fryslân 2026 

Het algemeen bestuur van het waterschap Wetterskip Fryslân; 

gelezen het voorstel van het dagelijks bestuur van 11 november 2025; 

gelet op de artikelen 110, 111 en 122d, eerste lid, van de Waterschapswet en artikel 7.2, tweede lid, van de Waterwet; 

b e s l u i t : 

De verordening zuiveringsheffing en verontreinigingsheffing waterschap Wetterskip Fryslân 2026 vast te stellen, luidend als volgt: 

Hoofdstuk 1 Inleidende bepalingen

Artikel 1 Definities

In deze verordening wordt verstaan onder: 

  • afvoeren: brengen van stoffen op een openbaar vuilwaterriool of op een systeem als bedoeld in artikel 2.16, derde lid, van de Omgevingswet dat wordt beheerd door of namens het waterschap; 

  • bedrijfsruimte: naar zijn aard en inrichting als afzonderlijk geheel te beschouwen ruimte of terrein, niet zijnde een woonruimte, een zuiveringtechnisch werk of een openbaar vuilwaterriool; 

  • Drinkwaterbedrijf: een drinkwaterbedrijf als bedoeld in artikel 1, eerste lid, onderdeel d, van de Drinkwaterwet; 

  • heffingsambtenaar: de door het bestuur van Noordelijk Belastingkantoor aangewezen ambtenaar belast met de heffing, als bedoeld in artikel 124, vijfde lid, onderdeel a, van de Waterschapswet; 

  • heffingsjaar: kalenderjaar; 

  • ingenomen water: geleverd drink- en industriewater en warm tapwater, onttrokken grond- en oppervlaktewater en opgevangen hemelwater;  

  • invorderingsambtenaar: de door het bestuur van Noordelijk Belastingkantoor aangewezen ambtenaar belast met de invordering, als bedoeld in artikel 124, vijfde lid, onderdeel b, van de Waterschapswet; 

  • lozen: het brengen van afvalstoffen, verontreinigende of schadelijke stoffen in een oppervlaktewaterlichaam in beheer bij het waterschap; 

  • Noordelijk Belastingkantoor: openbaar lichaam op grond van de Wet gemeenschappelijke regelingen van de waterschappen Noorderzijlvest, Watterschap Hunze en Aa’s en Wetterskip Fryslân en de gemeente Groningen. 

  • openbaar vuilwaterriool: voorziening voor de inzameling en het transport van stedelijk afvalwater, in beheer bij een gemeente of een rechtspersoon die door een gemeente met het beheer is belast; 

  • oppervlaktewaterlichaam: samenhangend geheel van vrij aan het aardoppervlak voorkomend water, met de daarin aanwezige stoffen, en de bijbehorende bodem en oevers, alsmede flora en fauna; 

  • riolering: een voorziening voor de inzameling en het transport van afvalwater, in beheer bij een gemeente; 

  • stedelijk afvalwater: huishoudelijk afvalwater of een mengsel daarvan met bedrijfsafvalwater, afvloeiend hemelwater, grondwater of ander afvalwater; 

  • stoffen: afvalstoffen, verontreinigende of schadelijke stoffen; 

  • waterschap: Wetterskip Fryslân; 

  • watersysteem: samenhangend geheel van een of meer oppervlaktewaterlichamen en grondwaterlichamen, met bijbehorende bergingsgebieden, waterkeringen en ondersteunende kunstwerken; 

  • woonruimte: ruimte die gezien zijn inrichting bestemd is om als een afzonderlijk geheel te voorzien in woongelegenheid en waarvan de delen gezien de inrichting van die ruimte niet bestemd zijn om afzonderlijk in gebruik te worden gegeven; 

  • zuivering technisch werk: werk voor het zuiveren van stedelijk afvalwater, in exploitatie bij een waterschap of gemeente, of een rechtspersoon die door het bestuur van een waterschap met de zuivering van stedelijk afvalwater is belast, met inbegrip van het bij dat werk behorende werk voor het transport van stedelijk afvalwater. 

Artikel 2 Bijlagen

Bij deze verordening behoren de volgende bijlagen: 

  • 1. Bijlage I: voorschriften voor meting, bemonstering, analyse en berekening 2026; 

  • 2. Bijlage II: tabel afvalwatercoëfficiënten, zoals opgenomen in artikel 122k, derde lid, van de Waterschapswet. 

Hoofdstuk 2 De zuiveringsheffing en verontreinigingsheffing

Artikel 3 Belastbaar feit en heffingsplicht

  • 1. Ter bestrijding van kosten die zijn verbonden aan de behartiging van de taak inzake het zuiveren van afvalwater, wordt onder de naam zuiveringsheffing een heffing ingesteld voor afvoeren. 

  • 2. Onder de naam verontreinigingsheffing wordt een heffing ingesteld voor lozen. De opbrengst van de verontreinigingsheffing komt ten goede aan de bekostiging van het beheer van het watersysteem van het waterschap 

  • 3. Aan de heffing worden onderworpen: 

    • a.

      als het gaat om een bedrijfsruimte of woonruimte: degene die het gebruik heeft van die ruimte; 

    • b.

      als het gaat om lozen met behulp van een openbaar vuilwaterriool of een zuiveringtechnisch werk: degene bij wie dat openbaar vuilwaterriool of zuiveringtechnisch werk in beheer is; 

    • c.

      als het gaat om andere situaties dan als bedoeld in onderdeel a of b: degene die afvoert of loost. 

  • 4. Voor de toepassing van het derde lid, onderdeel a, is heffingplichtig: 

    • a.

      in geval van gebruik van een woonruimte door de leden van een huishouden: degene die door de heffingsambtenaar is aangewezen; 

    • b.

      in geval van gebruik door degene aan wie een deel van een bedrijfsruimte in gebruik is gegeven: degene die dat deel in gebruik heeft gegeven, met dien verstande dat degene die het deel in gebruik heeft gegeven, bevoegd is de heffing te verhalen op degene aan wie dat deel in gebruik is gegeven; 

    • c.

      in geval van het ter beschikking stellen van een woonruimte of bedrijfsruimte voor volgtijdig gebruik: degene die die ruimte ter beschikking heeft gesteld, met dien verstande dat degene die de ruimte ter beschikking heeft gesteld, bevoegd is de heffing te verhalen op degene aan wie de ruimte ter beschikking is gesteld. 

  • 5. Als stoffen met behulp van een openbaar vuilwaterriool worden afgevoerd, is degene bij wie dat openbaar vuilwaterriool in beheer is, slechts voor die stoffen die de beheerder zelf op het openbaar vuilwaterriool heeft gebracht aan een zuiveringsheffing onderworpen. 

  • 6. Het afvoeren door het waterschap is vrijgesteld van de zuiveringsheffing. 

  • 7. Van de verontreinigingsheffing zijn vrijgesteld: 

    • a.

      lozingen die plaatsvinden met behulp van een openbaar vuilwaterriool; 

    • b.

      lozingen van stoffen vanuit een zuiveringtechnisch werk door het waterschap zelf; 

    • c.

      lozingen van stoffen afkomstig uit een zuiveringtechnisch werk anders dan door het waterschap zelf, mits de hoeveelheid afvalstoffen, verontreinigende of schadelijke stoffen niet is toegenomen. 

  • 8. De opbrengst van de zuiveringsheffing kan ook worden besteed: 

    • a.

      aan het verstrekken van subsidies ter tegemoetkoming in de kosten van het voorbereiden en uitvoeren van maatregelen die verband houden met de zuivering van afvalwater aan diegenen die tot het treffen van die maatregelen zijn gehouden; 

    • b.

      aan het verstrekken van subsidies aan heffingplichtigen tot behoud van het gebruik van zuiveringtechnische werken om een stijging van het tarief van de heffing zoveel mogelijk te voorkomen; 

    • c.

      aan het doen van uitgaven ter beperking van de afvoer van hemelwater op een zuiveringtechnisch werk of op een openbaar vuilwaterriool; 

    • d.

      aan de bekostiging van maatregelen voor het opwekken van hernieuwbare energie ter compensatie van de uitstoot van broeikasgassen, die vrijkomen als gevolg van de zuivering van afvalwater en die in redelijkheid niet te vermijden zijn. 

Artikel 4 Grondslag en heffingsmaatstaf

  • 1. Voor de heffing geldt als grondslag de hoeveelheid en de hoedanigheid van de stoffen die in een kalenderjaar worden afgevoerd of geloosd. 

  • 2. Voor de heffing geldt als heffingsmaatstaf de vervuilingswaarde van de stoffen die in een kalenderjaar worden afgevoerd of geloosd, waarbij de vervuilingswaarde wordt uitgedrukt in vervuilingseenheden. 

  • 3. Eén vervuilingseenheid vertegenwoordigt het jaarlijks verbruik van 54,8 kilogram zuurstof; 

  • 4. Het zuurstofverbruik van de stoffen die in een kalenderjaar worden afgevoerd of geloosd, wordt bepaald op basis van de som van het chemisch zuurstofverbruik door omzetting van de hoeveelheid totaal organisch koolstof in de stoffen en het zuurstofverbruik door omzetting van de hoeveelheid totaal stikstof verminderd met de som van nitriet-stikstof en nitraat-stikstof in de stoffen, zoals voorgeschreven in Bijlage 1. Hierbij wordt het chemisch zuurstofverbruik gesteld op driemaal het gehalte totaal organisch koolstof in de afgevoerde of geloosde stoffen. 

  • 5. De stoffen chroom, koper, lood, nikkel, zilver, zink, arseen, kwik, cadmium, chloride, sulfaat en fosfor worden niet aan de zuiveringsheffing en de verontreinigingsheffing onderworpen. 

Artikel 5 Afwijkende verhouding chemisch zuurstofverbruik en totaal organisch koolstof

  • 1. Als de verhouding tussen het chemisch zuurstofverbruik en het gehalte totaal organisch koolstof in de afgevoerde of geloosde stoffen in het kalenderjaar lager is dan tweeënhalf of hoger is dan drieënhalf wordt op aanvraag van de heffingplichtige op zijn kosten, respectievelijk ambtshalve door de heffingsambtenaar op kosten van de betrokken beheerder, de verhouding tussen het chemisch zuurstofverbruik en het gehalte totaal organisch koolstof in de afgevoerde of geloosde stoffen in afwijking van artikel 4, vierde lid, tweede volzin, gedeeld door tweeënhalf respectievelijk drieënhalf en vermenigvuldigd met drie. 

  • 2. De verhouding in het kalenderjaar tussen het chemisch zuurstofverbruik en het gehalte totaal organisch koolstof wordt bepaald door meting, bemonstering en analyse volgens de in artikelen 6 en 7 opgenomen voorschriften. Wanneer op grond van artikel 7 door de heffingsambtenaar is ingestemd met meting, bemonstering en analyse in een beperkt aantal etmalen, dan wordt de in deze etmalen vastgestelde verhouding tussen het chemisch zuurstofverbruik en het gehalte totaal organisch koolstof representatief gevonden voor het gehele kalenderjaar. 

  • 3. De heffingsambtenaar beslist op een in het eerste lid bedoelde aanvraag bij voor bezwaar vatbare beschikking en neemt daarin in elk geval voorschriften op over: 

    • a.

      een opgave van de afvalwaterstromen en de stoffen die in het onderzoek worden betrokken; 

    • b.

      de tijdvakken waarin meting en bemonstering plaatsvinden, óf ieder etmaal van die tijdvakken, óf één of meer daartoe aangewezen etmalen daarvan; 

    • c.

      de manier waarop de op de voet van letter b verkregen uitkomsten worden herleid tot de verhouding in het kalenderjaar tussen het chemisch zuurstofverbruik en het gehalte totaal organisch koolstof over het heffingsjaar. 

  • 4. De heffingsambtenaar kan het besluit op aanvraag en de in het vorige lid bedoelde voorschriften opnemen in de beschikking als bedoeld in artikel 6, zesde lid of artikel 7, eerste lid.  

  • 5. Een op basis van dit artikel bepaalde afwijkende verhouding geldt met ingang van het in het eerste lid bedoelde kalenderjaar tot het heffingsjaar waarin dit artikel door de heffingplichtige of door de heffingsambtenaar opnieuw wordt toegepast. 

  • 6. De heffingplichtige meldt veranderingen in de bedrijfsomstandigheden, die aanleiding kunnen geven tot een wijziging in de verhouding tussen het chemisch zuurstofverbruik en het gehalte totaal organisch koolstof in de afgevoerde of geloosde stoffen in het kalenderjaar, direct bij de heffingsambtenaar. 

  • 7. De heffingsambtenaar kan bij veranderingen of te verwachten veranderingen in de verhouding tussen het chemisch zuurstofverbruik en het gehalte totaal organisch koolstof in de afgevoerde of geloosde stoffen in het kalenderjaar, de beschikking waarom het gaat, bedoeld in het derde lid, ambtshalve dan wel op verzoek van de heffingplichtige wijzigen of intrekken, als deze veranderingen leiden tot een andere verhouding tussen het chemisch zuurstofverbruik en het gehalte totaal organisch koolstof in de afgevoerde of geloosde stoffen in het kalenderjaar dan in die beschikking is opgenomen. 

  • 8. De heffingsambtenaar neemt zijn beslissing, bedoeld in het zevende lid, bij voor bezwaar vatbare beschikking. 

Artikel 6 Meting, bemonstering en analyse

  • 1. Het aantal vervuilingseenheden van zuurstofbindende en niet-zuurstofbindende stoffen wordt berekend door meting, bemonstering en analyse verkregen gegevens. De meting, bemonstering, analyse en berekening vinden zo plaats dat de in Bijlage 1 opgenomen voorschriften worden nageleefd. 

  • 2. De in het eerste lid bedoelde meting, bemonstering en analyse vinden ieder etmaal van het heffingsjaar plaats, tenzij artikel 7 wordt toegepast. 

  • 3. De meting, bemonstering en analyse vinden zo plaats dat:  

    • a.

      de gemeten hoeveelheid afvalwater niet meer dan 5% afwijkt van de werkelijke hoeveelheid afvalwater; 

    • b.

      het verkregen monster representatief is voor de totale hoeveelheid stoffen die gedurende de bemonsteringsperiode vanuit de bedrijfsruimte of een onderdeel daarvan wordt afgevoerd of geloosd. 

  • 4. De heffingplichtige brengt de wijze van meting en bemonstering met een beschrijving van de daarvoor te gebruiken apparatuur voor het begin van het heffingsjaar ter kennis van de heffingsambtenaar. Als de apparatuur in de loop van het heffingsjaar in gebruik wordt genomen of wijzigt, dan wordt dit vóór de ingebruikname of de wijziging ter kennis van de heffingsambtenaar gebracht.  

  • 5. De heffingsambtenaar: 

    • a.

      kan ambtshalve bepalen dat meting en bemonstering plaatsvinden in afwijking van één of meer van de in Bijlage 1, onderdeel A, opgenomen voorschriften, als deze aannemelijk maakt dat dit noodzakelijk is ter voldoening aan het bepaalde in het derde lid, onderdelen a en b; 

    • b.

      beslist op aanvraag van de heffingplichtige, dat meting en bemonstering kunnen plaatsvinden in afwijking van een of meer van de in Bijlage 1, onderdeel A, opgenomen voorschriften, als de heffingplichtige aannemelijk maakt dat daarbij wordt voldaan aan het bepaalde in het derde lid, onderdelen a en b; 

    • c.

      beslist op aanvraag van de heffingplichtige, dat kan worden afgeweken van de in Bijlage 1, onderdeel B, opgenomen analysevoorschriften, als de heffingplichtige aannemelijk maakt dat de nauwkeurigheid van de uitkomsten van de analyse hierdoor niet wordt beïnvloed; 

    • d.

      kan over de afwijkingen als bedoeld in de onderdelen a, b en c nadere voorschriften geven. 

  • 6. De heffingsambtenaar neemt zijn beslissing, bedoeld in het vijfde lid, onderdelen a, b en c, bij voor bezwaar vatbare beschikking. Deze beschikking bevat in elk geval: 

    • a.

      de voorschriften van Bijlage 1, onderdelen A en B, waarvan wordt afgeweken; 

    • b.

      de afwijkingen bedoeld in het vijfde lid, onderdelen a, b en c; 

    • c.

      de nadere voorschriften bedoeld in het vijfde lid, onderdeel d; 

    • d.

      een vermelding van het heffingsjaar of de heffingsjaren waarvoor de beschikking wordt gegeven. 

  • 7. De heffingsambtenaar kan twee of meer op grond van het vijfde lid genomen beschikkingen, die betrekking hebben op dezelfde heffingplichtige, in één brief samenvoegen. 

  • 8. De heffingsambtenaar kan bij veranderingen of te verwachten veranderingen in de hoeveelheid of hoedanigheid van de afgevoerde of geloosde, respectievelijk af te voeren stoffen, de op grond van het vijfde lid genomen beschikkingen, ambtshalve wijzigen of intrekken in verband met het bepaalde in het eerste lid en het derde lid. 

Artikel 7 Beperkte meting, bemonstering en analyse

  • 1. Op aanvraag van de heffingplichtige, die aannemelijk maakt dat voor de berekening van het aantal vervuilingseenheden kan worden volstaan met gegevens die door meting, bemonstering en analyse in een beperkt aantal etmalen zijn verkregen, besluit de heffingsambtenaar dat meting en bemonstering plaatsvinden in afwijking van het bepaalde in artikel 6, tweede lid. Het besluit op aanvraag wordt genomen bij een voor bezwaar vatbare beschikking. Deze beschikking bevat in elk geval: 

    • a.

      een opgave van de afvalwaterstromen en de stoffen die in het onderzoek worden betrokken; 

    • b.

      de tijdvakken waarin meting en bemonstering plaatsvinden, óf ieder etmaal van die tijdvakken, óf één of meer daartoe aangewezen etmalen daarvan; 

    • c.

      de manier waarop de op de voet van letter b verkregen uitkomsten worden herleid tot het aantal vervuilingseenheden over een daar bedoeld tijdvak, onderscheidenlijk over het heffingsjaar; 

    • d.

      een vermelding van het heffingsjaar of de heffingsjaren waarvoor de beschikking wordt gegeven. 

  • 2. De heffingsambtenaar kan bij veranderingen of te verwachten veranderingen in de hoeveelheid of hoedanigheid van de afgevoerde of geloosde, respectievelijk af te voeren stoffen, de beschikking waarom het gaat, bedoeld in het eerste lid, ambtshalve wijzigen of intrekken, als toepassing van berekeningsvoorschrift C.2 van onderdeel C van Bijlage 1 leidt tot een ander aantal etmalen dan in die beschikking is opgenomen. 

  • 3. De heffingsambtenaar neemt zijn beslissing, bedoeld in het tweede lid, bij voor bezwaar vatbare beschikking. 

Artikel 8 Hoedanigheidscorrectie

  • 1. Op aanvraag van de heffingplichtige, die aannemelijk maakt dat de uitkomst van de methode tot bepaling van het chemisch zuurstofverbruik als bedoeld in artikel 4, vierde lid, in belangrijke mate wordt beïnvloed door biologisch niet of nagenoeg niet afbreekbare stoffen, besluit de heffingsambtenaar dat op die uitkomst een correctie wordt toegepast. Het besluit op aanvraag wordt genomen bij een voor bezwaar vatbare beschikking. Deze beschikking bevat in elk geval: 

    • a.

      de wijze van berekening van de correctie; 

    • b.

      de samenstelling van het afvalwater waarop de correctie van toepassing is; 

    • c.

      de frequentie en de wijze van onderzoek met betrekking tot meting, bemonstering en analyse. 

  • 2. De heffingsambtenaar kan het besluit op aanvraag en de in het vorige lid bedoelde voorschriften opnemen in de beschikking als bedoeld in artikel 6, zesde lid of artikel 7, eerste lid.  

  • 3. De aanvraag, het onderzoek en de berekening van de correctie geschieden met inachtneming van de voorschriften welke zijn opgenomen in onderdeel D van Bijlage 1. 

Artikel 9 Tabel afvalwatercoëfficiënten

  • 1. In afwijking van het bepaalde in artikel 6, eerste lid, wordt het aantal vervuilingseenheden voor het zuurstofverbruik in een kalenderjaar voor een bedrijfsruimte of een onderdeel daarvan vastgesteld met behulp van de in Bijlage 2 opgenomen tabel afvalwatercoëfficiënten, mits door de heffingplichtige aannemelijk is gemaakt dat het aantal vervuilingseenheden voor het zuurstofverbruik in een kalenderjaar 1.000 of minder bedraagt en dit aantal met de hoeveelheid ingenomen water kan worden bepaald. 

  • 2. Het aantal vervuilingseenheden als bedoeld in het eerste lid wordt berekend volgens de formule: A x B, waarbij, 

    A = het aantal m3 in het kalenderjaar voor de bedrijfsruimte of het onderdeel van de bedrijfsruimte ingenomen water; 

    B = de afvalwatercoëfficiënt behorende bij klasse 8 van de in Bijlage 2 opgenomen tabel of als de heffingplichtige of de heffingsambtenaar doet blijken dat een andere klasse dan 8 van toepassing is, de afvalwatercoëfficiënt behorende bij een andere klasse van de in Bijlage 2 opgenomen tabel met de klassegrenzen waarbinnen de vervuilingswaarde van het zuurstofverbruik per m3 voor de bedrijfsruimte of van het onderdeel van de bedrijfsruimte ingenomen water is gelegen. 

  • 3. Als de in het kalenderjaar ingenomen hoeveelheid water niet kan worden vastgesteld met watermeterstanden die aan het begin en aan het einde van het kalenderjaar zijn opgenomen, stelt de heffingsambtenaar die hoeveelheid vast op een door hem nader vast te stellen wijze. 

  • 4. De vervuilingswaarde van het zuurstofverbruik per m3 als bedoeld in het tweede lid wordt bepaald met toepassing van het Besluit vervuilingswaarde ingenomen water 2009. 

  • 5. Als het aantal vervuilingseenheden voor het zuurstofverbruik in een kalenderjaar voor een bedrijfsruimte of een onderdeel daarvan meer dan 1.000 bedraagt en de heffingplichtige aannemelijk maakt dat de berekening van het aantal vervuilingseenheden met toepassing van de in het eerste lid, aanhef, bedoelde tabel tot geen lagere uitkomst leidt dan de uitkomst van de berekening op de voet van artikel 5, eerste lid, beslist de heffingsambtenaar bij voor bezwaar vatbare beschikking op aanvraag van heffingplichtige dat het aantal vervuilingseenheden wordt berekend met toepassing van de tabel. 

  • 6. De heffingplichtige meldt veranderingen in de bedrijfsomstandigheden, die aanleiding kunnen zijn tot een wijziging in de vervuilingswaarde per m3 ingenomen water, direct bij de heffingsambtenaar. 

Artikel 10 Vervuilingswaarde tuinbouwkassen

  • 1. In afwijking van het bepaalde in artikel 6, eerste lid, wordt de vervuilingswaarde van de stoffen die worden afgevoerd of geloosd vanuit een bedrijfsruimte of onderdeel van een bedrijfsruimte bestemd om in het kader van de uitoefening van een beroep of een bedrijf onder een permanente opstand van glas of kunststof gewassen te telen, gesteld op drie vervuilingseenheden per hectare vloeroppervlak waarop onder glas of kunststof wordt geteeld en per deel van een hectare vloeroppervlak een evenredig deel van drie vervuilingseenheden. 

  • 2. Als in de loop van het kalenderjaar het gebruik van een in het eerste lid bedoelde bedrijfsruimte of onderdeel van een bedrijfsruimte dan wel van een deel daarvan door de heffingplichtige begint of eindigt, wordt hij in dat kalenderjaar voor die bedrijfsruimte of dat onderdeel, voor een evenredig gedeelte aan de heffing onderworpen. 

  • 3. Een vervuilingswaarde voor de bedrijfsruimte of het onderdeel van een bedrijfsruimte, berekend op basis van het eerste of tweede lid van minder dan vijf vervuilingseenheden, wordt op drie vervuilingseenheden, en van één of minder dan één vervuilingseenheid op één vervuilingseenheid gesteld. 

Artikel 11 Totale vervuilingswaarde bedrijfsruimte

De vervuilingswaarde van een bedrijfsruimte, wordt bepaald op de som van de aantallen vervuilingseenheden als berekend volgens de artikelen 6 tot en met 10, voor zover deze van toepassing zijn. 

Artikel 12 Vervuilingswaarde kleine bedrijfsruimten

  • 1. In afwijking van het bepaalde in artikel 6, eerste lid, wordt de vervuilingswaarde van de stoffen, die vanuit een bedrijfsruimte worden afgevoerd of geloosd, gesteld op drie vervuilingseenheden wanneer door de heffingplichtige aannemelijk is gemaakt dat die vervuilingswaarde minder dan vijf vervuilingseenheden bedraagt en op één vervuilingseenheid wanneer door de heffingplichtige aannemelijk is gemaakt dat die één vervuilingseenheid of minder bedraagt. 

  • 2. De heffing voor het afvoeren of lozen vanuit bedrijfsruimten als bedoeld in het eerste lid is verschuldigd bij het begin van het heffingsjaar of, zo dit later is, bij het begin van de heffingsplicht. 

  • 3. Als de aanslag in het heffingsjaar al is opgelegd voor drie vervuilingseenheden en de heffingplichtige aannemelijk maakt dat de vervuilingswaarde één vervuilingseenheid of minder bedraagt, bestaat aanspraak op vermindering. De heffingplichtige kan daartoe binnen zes weken na afloop van het heffingsjaar of, bij beëindiging van de heffingsplicht in de loop van het heffingsjaar, binnen zes weken na het einde van de heffingsplicht een aanvraag indienen bij de heffingsambtenaar. 

Artikel 13 Vervuilingswaarde woonruimten

  • 1. In afwijking van het bepaalde in artikel 6, eerste lid, wordt de vervuilingswaarde van de stoffen die vanuit een woonruimte worden afgevoerd of geloosd, gesteld op drie vervuilingseenheden. De vervuilingswaarde van de stoffen die vanuit een door één persoon gebruikte woonruimte worden afgevoerd of geloosd bedraagt één vervuilingseenheid. 

  • 2. Het eerste lid is niet van toepassing op de voor recreatiedoeleinden bestemde woonruimten die zich bevinden op een voor verblijfsrecreatie bestemd terrein dat zo wordt geëxploiteerd. De in de vorige volzin bedoelde woonruimten worden tezamen aangemerkt als één bedrijfsruimte dan wel als onderdeel van een bedrijfsruimte. 

  • 3. Als de in het eerste lid bedoelde situatie dat een woonruimte wordt gebruikt door één persoon ontstaat in de loop van het heffingsjaar, dan wordt de vervuilingswaarde op één vervuilingseenheid gesteld met ingang van de eerste dag waarop die situatie is ontstaan.  

  • 4. Als de in het derde lid bedoelde situatie ontstaat na de dagtekening van de aanslag, bestaat aanspraak op vermindering. De heffingplichtige kan daartoe binnen zes weken nadat de situatie is ontstaan een aanvraag indienen bij de heffingsambtenaar. 

  • 5. De heffing voor woonruimten als bedoeld in het eerste lid is verschuldigd bij het begin van het heffingsjaar of, zo dit later is, bij het begin van de heffingsplicht. 

  • 6. Wanneer de heffingsplicht als bedoeld in het vijfde lid in de loop van het heffingsjaar begint, is de heffing verschuldigd voor een evenredig aantal dagen dat er in het heffingsjaar, na het begin van de heffingsplicht, nog overblijft.  

  • 7. Wanneer de heffingsplicht als bedoeld in het vijfde lid in de loop van het heffingsjaar eindigt, bestaat aanspraak op ontheffing voor een evenredig aantal dagen dat er in het heffingsjaar, na het einde van de heffingsplicht, nog overblijft.  

  • 8. Als de in het zevende lid bedoelde situatie ontstaat na de dagtekening van de aanslag, bestaat aanspraak op ontheffing. De heffingplichtige kan daartoe binnen zes weken nadat de situatie is ontstaan een aanvraag indienen bij de heffingsambtenaar. 

  • 9. Het zesde en zevende lid zijn niet van toepassing als de heffingplichtige het gebruik van de woonruimte beëindigt en direct aansluitend binnen het waterschap het gebruik krijgt van een woonruimte van waaruit eveneens wordt afgevoerd of geloosd. 

Artikel 14 Schatting

De heffingsambtenaar kan het aantal vervuilingseenheden in een kalenderjaar geheel of gedeeltelijk schatten wanneer door de heffingplichtige: 

  • a. de meting, bemonstering en analyse niet of niet geheel heeft plaatsgevonden volgens de in deze verordening en Bijlage 1 opgenomen voorschriften; 

  • b. het aantal vervuilingseenheden niet is berekend door meting, bemonstering en analyse en bepaling van de vervuilingswaarde op basis van artikel 9, eerste of vijfde lid, 10, eerste lid, 12, eerste lid, en 13, eerste lid, niet mogelijk is; 

  • c. het aantal vervuilingseenheden niet is berekend door meting, bemonstering, bepaling van de vervuilingswaarde op basis van artikel 8, vijfde lid, wel mogelijk is, maar door de heffingplichtige gedurende het heffingsjaar geen verzoek als bedoeld in dat artikel is gedaan; 

  • d. niet of niet geheel is voldaan aan de voorschriften, verbonden aan het in artikel 5, 6, 7 of 8 bedoelde besluit. 

Artikel 15 Tarief

Het tarief bedraagt € 77,44 per vervuilingseenheid. 

Hoofdstuk 3 Heffing en invordering

Artikel 16 Wijze van heffing

  • 1. De heffing wordt geheven bij wege van aanslag. 

  • 2. Op één aanslagbiljet kunnen meerdere aanslagen worden verenigd, de zogenaamde integrale aanslag. 

Artikel 17 Betaaltermijnen

  • 1. Een belastingaanslag is invorderbaar drie maanden na de dagtekening van het aanslagbiljet. 

  • 2. Het bedrag inzake een bestuurlijke boete is invorderbaar drie maanden na de dagtekening van het aanslagbiljet. 

  • 3. In afwijking van het bepaalde in het eerste lid is, indien een machtiging voor automatische incasso is afgegeven, de aanslag invorderbaar in tien gelijke maandelijkse termijnen waarvan de eerste vervalt op de laatste dag van de maand volgend op die van de dagtekening, en elk van de volgende termijnen telkens een maand later. 

Artikel 18 Aangifte

  • 1. Het uitnodigen tot het doen van aangifte gebeurt door het uitreiken of toesturen van een aangiftebiljet of een aangiftebrief. 

  • 2. Het doen van aangifte gebeurt door het inleveren of toesturen van het uitgereikte aangiftebiljet met de daarbij gevraagde documenten of het op elektronische wijze toesturen van de door de programmatuur gevraagde gegevens. 

Artikel 19 Kwijtschelding voor woonruimten

  • 1. Er wordt geen kwijtschelding verleend, met uitzondering van de heffing ter zake van woonruimten. 

  • 2. Bij het verlenen van kwijtschelding worden voor de berekening van de kosten van bestaan de percentages, in artikel 16 van de Uitvoeringsregeling Invorderingswet 1990, gesteld op 100. 

Artikel 20 Nadere regels

Het dagelijks bestuur van het waterschap kan nadere regels geven voor de heffing en invordering. 

Hoofdstuk 4 Strafbepalingen

Artikel 21 Strafbare feiten

Strafbare feiten zijn: 

  • a. het niet voldoen aan de plichten, bedoeld in artikel 5, zesde lid, artikel 6, vierde lid, en artikel 9, zesde lid; 

  • b. het niet voldoen aan een voorschrift in Bijlage 1, onderdelen A en B, tenzij de heffingsambtenaar voor dit voorschrift zijn bevoegdheid als bedoeld in artikel 5, vijfde lid, heeft gebruikt. 

Hoofdstuk 5 Slotbepalingen

Artikel 22 Intrekken oude verordening

De verordening zuiveringsheffing Wetterskip Fryslân 2025 en de verordening verontreinigingsheffing Wetterskip Fryslân 2025, beide vastgesteld bij besluit van 17 december 2024, worden ingetrokken met ingang van 1 januari 2026, met dien verstande dat zij van toepassing blijven op de belastbare feiten die zich voor die datum hebben voorgedaan. 

Artikel 23 Inwerkingtreding en citeertitel

  • 1. Deze verordening treedt in werking met ingang van de achtste dag na die van de bekendmaking. 

  • 2. De datum van ingang van de heffing is 1 januari 2026 

  • 3. De in bijlage I genoemde normbladen worden bekendgemaakt door terinzagelegging bij het Waterschapskantoor, Fryslânplein 3 te Leeuwarden, en het Noordelijk Belastingkantoor, Raadhuisplein 10 in Haren. 

  • 4. Deze verordening wordt aangehaald als Verordening zuiveringsheffing en verontreinigingsheffing Wetterskip Fryslân 2026. 

Ondertekening

Aldus vastgesteld in de vergadering van het algemeen bestuur van Wetterskip Fryslân, gehouden op 16 december 2025 te Leeuwarden.

Luzette Kroon 

dijkgraaf 

Evelien van der Kuil

secretaris-directeur

Bijlage I Voorschriften voor meting, bemonstering, analyse en berekening 2026

Definitiebepalingen

In deze bijlage wordt verstaan onder:

  • 1.

    aantoonbaarheidsgrens: laagste concentratie van de component in het monster waarvan de aanwezigheid nog met een bepaalde betrouwbaarheid kan worden vastgesteld, zijnde 3x de spreiding van de reproduceerbaarheid van het desbetreffende lab;

  • 2.

    afvoeren: het brengen van stoffen op een riolering of een zuiveringstechnisch werk in beheer bij het waterschap;

  • 3.

    afvoer per as: het brengen van stoffen op een zuiveringstechnisch werk in beheer bij het waterschap door middel van as-transport;

  • 4.

    afwijkend lozings patroon (ALP):

  • 5.

    bepalingsgrens: 10 keer de standaarddeviatie die gevonden wordt als een blancometing 10x wordt uitgevoerd;

  • 6.

    bewaartermijn: de periode tussen het einde van het etmaal en het begin van de voorbehandeling ten behoeve van de uitvoering van de analyse;

  • 7.

    debiet: de hoeveelheid geloosd of afgevoerd afvalwater gedurende het etmaal;

  • 8.

    debietmeter: meter waarmee (bijvoorbeeld door middel van magnetische inductie) het debiet gemeten wordt;

  • 9.

    duplobepaling: een tweede meting (analyse) uit dezelfde monsterpot/fles, waarbij het gehele analysetraject nogmaals wordt doorlopen;

  • 10.

    etmaal: de aaneengesloten periode van 24 uur waarover een etmaalverzamelmonster wordt samengesteld;

  • 11.

    etmaalverzamelmonster: monster dat gedurende een periode van 24 wordt verzameld om een representatief beeld te krijgen van de samenstelling van het afvalwater over die periode;

  • 12.

    gesloten (meet)systeem: een systeem waarbij de debietmeter is ingebouwd in een leiding;

  • 13.

    justeren: het softwarematig aanpassen van een correctiefactor/meterconstante;

  • 14.

    kalibreren: bepalen van de waarde van de afwijkingen ten opzichte van een van toepassing zijnde standaard;

  • 15.

    lozen: het brengen van stoffen in een oppervlaktewaterlichaam in beheer bij het waterschap;

  • 16.

    momentaan debiet: de actuele hoeveelheid geloosd of afgevoerd afvalwater;

  • 17.

    nat kalibreren: controleren van een debietmeter waarbij daadwerkelijk een nauwkeurig bekende hoeveelheid water door de debietmeter wordt geleid;

  • 18.

    open (meet)systeem: een systeem waarbij het oppervlak van het stromende afvalwater in contact staat met de buitenlucht;

  • 19.

    referentiemeter (master): debietmeter, met in- en uitlooptraject, welke wordt gebruikt voor het controleren van een andere meter. Met de moedermeter (master) is de onnauwkeurigheid van de te controleren meter te herleiden naar de nationale volumestandaard in beheer van het VSL;

  • 20.

    representatieve meetperiode: onder een representatieve meetperiode wordt een periode verstaan die niet meer dan 10% afwijkt van het jaargemiddelde;

  • 21.

    simuleren; het controleren van een debietmeter door het nabootsen van een meetsignaal;

  • 22.

    VSL: Van Swinden Laboratorium, Delft

Deze bijlage bevat de volgende paragrafen:

  • 1.

    algemene onderzoekvoorschriften;

  • 2.

    meting van afvalwater;

  • 3.

    bemonstering van afvalwater

  • 4.

    behandeling en analysering afvalwatermonsters;

  • 5.

    berekeningsvoorschriften;

  • 6.

    rapportage onderzoeksresultaten;

  • 7.

    bijzondere situaties, uitvaldagen etc;

  • 8.

    hoedanigheidscorrectie (T-correctie).

Paragraaf 1 Algemene onderzoeksvoorschriften

  • 1.

    De meet– en bemonsteringsvoorzieningen:

    • a.

      verkeren in een goede staat;

    • b.

      zijn overeenkomstig de voorschriften van de meest actuele NEN 6600-1 Water–Monsterneming–Deel 1: Afvalwater (verder te noemen NEN 6600-1) en voorschriften van het waterschap en leverancier geïnstalleerd en onderhouden;

    • c.

      worden regelmatig schoongemaakt en zijn altijd goed en veilig toegankelijk;

    • d.

      de bemonsteringsvoorzieningen zijn ondergebracht in een afsluitbare ruimte of kast.

  • 2.

    Een afvalwaterstroom kan zowel in een open als in een gesloten meetsysteem worden gemeten en bemonsterd.

  • 3.

    Het bedrijf houdt een ‘logboek’ bij waarin afwijkingen op de normale lozings- of afvoersituatie, bijzonderheden en reguliere reinigings- en onderhoudsschema’s van zuiverings- en/of voorbehandelingsinstallaties worden geregistreerd en omschreven. Het ‘logboek’ bestaat uit een doorlopend genummerde, niet losbladig document (bijvoorbeeld een grote kantooragenda). Een beschrijving van een gebeurtenis bevat minimaal : datum, tijdstip, aard, omvang, effect op de afvalwaterstroom en (eventuele) metingen en de genomen (preventieve) maatregelen.

  • 4.

    In afwijking van wat onder punt 3 is gesteld wordt een elektronisch logboek, gekoppeld aan de processen binnen het bedrijf, toegestaan. Dit logboek is onderdeel van de procesbesturing of het kwaliteitszorgsysteem en kan op eerste aanzegging getoond worden. Verder is de verslaglegging voorzien van een uniek, niet herroepbaar volgnummer in het systeem. Het maken van een schriftelijk verslag is op eerste aanzegging mogelijk. Het elektronische logboek bevat minimaal de in punt 3 genoemde gegevens.

  • 5.

    Over vanuit de bedrijfsriolering verwijderde afvalstoffen is bij afvoer op een zuiveringstechnisch werk, in beheer bij uw waterschap zuiveringsheffing verschuldigd. Deze kosten worden niet doorberekend als deze wordt voldaan door een derde partij (die de afvalstoffen aanbiedt) of als deze per factuur direct door het bedrijf wordt voldaan. Basis voor deze kosten is een bemonstering van de aangevoerde afvalstoffen per as waarbij tevens de analysekosten in rekening worden gebracht. Bij afvoer per as van de afvalstoffen naar een voor dat doel ingericht zuiveringstechnisch werk dienen in het logboek datum, hoeveelheid, transporteur en eindlocatie te worden vermeld.

  • 6.

    In de meet- en bemonsteringsvoorziening aanwezig(e) aanslag, bezinksel en/of drijflaag of andere vervuiling, wordt zo vaak als nodig verwijderd om een juiste werking van de voorziening te garanderen. Het is niet toegestaan bezinksel en/of drijflaag te verwijderen voor of tijdens een meetperiode anders dan volgens een van tevoren vastgelegd regulier schema aangezien de representativiteit van het afvalwateronderzoek hierdoor wordt beïnvloed.

  • 7.

    Als in het bedrijfsriool voorzieningen zijn aangebracht, zoals nooduitlaten waarbij afvalwater buiten de meetvoorziening om geleid kan worden, dan wordt tijdens de meting een ‘bewaking’ aangebracht om te voorkomen dat ongeregistreerde lozingen of afvoeren kunnen plaatsvinden. Als de samenstelling van het geloosde of afgevoerde afvalwater via de nooduitlaat wezenlijk kan verschillen van het afvalwater wat middels het reguliere meetsysteem wordt geloosd of afgevoerd dan wordt de bewaking voorzien van monsternameapparatuur. Bij constatering van lozing of afvoer via een nooduitlaat zonder deugdelijke registratie en/of bemonstering worden de geproduceerde gegevens van de betreffende meetdag(en) als niet- representatief beschouwd en de vuillast, op basis van artikel 14, van de verordening geschat.

  • 8.

    Opmerkingen, bezwaren over een meetperiode en/of resultaten of aangifte worden schriftelijk overlegd en vergezeld van relevante gegevens die aanwezig zijn in het bedrijfslogboek. Het ontbreken van de gegevens en/of onvolledig invullen van het logboek kan tot een ambtshalve vaststelling, ‘schatting’ of verwerping van verzoeken/bezwaren leiden.

  • 9.

    Het is niet toegestaan van de voorschriften af te wijken of modificaties aan te brengen aan de uitvoering van meting, bemonstering, apparatuur, analysering en rapportage zonder een van tevoren verleende schriftelijke toestemming van de heffingsambtenaar. Voorstellen tot wijziging van de voorschriften worden na voorafgaand overleg via een gemotiveerd onderzoeksvoorstel aangevraagd.

  • 10.

    Door daartoe aangewezen ambtenaren van uw waterschap of Noordelijk Belastingkantoor kunnen zonder voorafgaande melding controles worden uitgevoerd. Deze controles kunnen een meting en/of bemonstering van het afvalwater omvatten, nemen van duplo monsters, (bedrijfs)rioolonderzoeken, een controle op productiegegevens of (bedrijfs)boekhouding, laboratoriumonderzoek en logboek of andere relevante (relevantie ter beoordeling van de heffingsambtenaar ) gegevens die noodzakelijk zijn voor het vaststellen van de representativiteit van meetgegevens.

  • 11.

    Constatering van ongeoorloofde handelingen en/of beïnvloeding van de metingen, bemonsteringswijze en/of afvalwateranalyses, met als doel het verkrijgen van economisch voordeel via deze handelwijze, leidt onherroepelijk tot een ‘schatting’ van de aanslag.

  • 12.

    De meet- en bemonsteringsgegevens, waaronder de debietregistratie of datalog-informatie, worden tot minimaal 7 jaar na afloop van het kalenderjaar bewaard, of zoveel langer als een bezwaar- en/of beroepsprocedure loopt. De gegevens worden op verzoek ter beschikking gesteld aan de heffingsambtenaar.

Paragraaf 2 Meting van afvalwater

De meting betreft het debiet dat in de afvalwaterstroom wordt gemeten. Bij uitzondering en na overleg met de heffingsambtenaar kan het debiet ook worden bepaald door meting van de totale hoeveelheid ingenomen water in het toevoersysteem van het bedrijf of bedrijfsonderdelen. Voorwaarde is dat de per etmaal geloosde of afgevoerde hoeveelheid afvalwater met eventuele aftrek van water voor sanitair gebruik niet groter mag zijn dan de in dezelfde periode toegevoerde hoeveelheid proceswater. Registratie van (momentane) meetgegevens vindt plaats door middel van een datalogger. Het meetsignaal van het registratiesysteem moet overeenkomen met het meetsignaal van de debietmeter.

Doorstroomsnelheid debiet

Voor een betrouwbare meting is de doorstroomsnelheid van het afvalwater van belang. Hierbij wordt onderscheid gemaakt tussen een open en een gesloten meetsysteem.

Open meetsystemen

Doorstroomsnelheid

Bij open meetsystemen wordt een meetput of een meetgoot toegepast. Bij toepassing van een meetput gelden de volgende eisen:

  • 1.

    de momentane debieten in het etmaal, gemeten bij overstorthoogten van minder dan 0,05 meter, bedragen gesommeerd minder dan 5% van het gemeten debiet;

  • 2.

    de momentane debieten in het etmaal, gemeten bij overstorthoogten van minder dan 0,125 meter, bedragen gesommeerd minder dan 10% van het gemeten debiet.

Bij toepassing van een meetgoot bedragen de momentane debieten in het etmaal, van minder dan 16,4% van het maximaal mogelijk momentane debiet, gesommeerd, minder dan 10% van het gemeten debiet.

De apparatuur voor de hoogtemeting wordt minimaal éénmaal per jaar bij overstorthoogten van 5, 10, 15, 20 en 25 centimeter gesimuleerd. In het controlerapport wordt voor elke overstorthoogte een vergelijking gemaakt tussen de gemeten hoeveelheid afvalwater gedurende de periode van het simuleren, en de bij de desbetreffende overstorthoogte met behulp van de afvoerrelatie van de meetvoorziening berekende hoeveelheid afvalwater over de periode van het simuleren. Zowel het absolute als het procentuele verschil moet hierbij worden aangegeven. Bij ultrasone hoogtemeting wordt ook de temperatuurmeting en de temperatuurcorrectie gecontroleerd en gecorrigeerd bij afwijking. De werking van de volgapparatuur bij meting wordt gecontroleerd door vergelijking van de aanwijzing, registratie (datalogger), integratie en telling.

Gesloten meetsystemen

Doorstroomsnelheid

Voor het bepalen van de geschiktheid van de debietmeter geldt als richtlijn dat de verhouding tussen het maximale en minimale debiet ≥ 10 is, waarbij het debiet (indien groter dan nul) van de te bemonsteren stroom in 95 % van de tijd groter is dan het minimale debiet van de meter. Minimale en maximale debiet zijn de debieten waarbij de meter de opgegeven precisie haalt.

Inbouw

Bij de inbouw van een debietmeter in een gesloten meetsysteem wordt een ‘af fabriek’ kalibratierapport meegeleverd, waarop naast de meterspecifieke kalibratiefactor, óók de correctiefactor, of meterconstante staat aangegeven. Natte kalibratie in ingebouwde toestand vindt direct plaats na inwerkingstelling van de debietmeter, na uitbouwen van de debietmeter en tenminste eenmaal per 3 jaar.

Verder worden aan de inbouw de volgende eisen gesteld:

  • 1.

    vóór inbouw wordt ter beoordeling en goedkeuring een tekening (incl: maatvoering, stromingsrichting, legenda etc.) overlegd van het meetsysteem aan de ambtenaar belast met de heffing;

  • 2.

    bij het inbouwen moet rekening gehouden worden met de mogelijkheid tot het uitvoeren van een natte kalibratie in ingebouwde toestand;

  • 3.

    de debietmeter wordt volgens de voorschriften van de leverancier geïnstalleerd.

Instellingen

Het is niet toegestaan om (meet)apparatuur zodanig in te stellen, instellingen te veranderen of te corrigeren dat feitelijke onjuistheden kunnen ontstaan in de verkregen gegevens. Hierbij moet bijvoorbeeld worden gedacht aan het gebruiken van de ‘low-flow-’ of ‘max-flow’ cutoff van een debietmeter (dient onder normale omstandigheden ‘uit’ te staan). Als het noodzakelijk is dergelijke instellingen te wijzingen wordt dit vooraf gemotiveerd aan de heffingsambtenaar kenbaar gemaakt.

Simulatie

Controle meetapparatuur

Ten minste éénmaal per jaar wordt de meetapparatuur voor debietmetingen gesimuleerd, tenzij in dat jaar een natte kalibratie plaatsvindt.

Aan de simulatie worden de volgende eisen gesteld:

  • 1.

    bij een simulatie wordt de weerstand of de geleidbaarheid tussen de elektroden gemeten. Wanneer blijkt dat de meetbuis (mogelijk) is vervuild, dan wordt deze gereinigd;

  • 2.

    op het controlerapport van een simulatie wordt de weerstand of de geleidbaarheid tussen de elektroden weergegeven. Wanneer de meetbuis is gereinigd, wordt deze waarde zowel vóór, als ná het reinigen in het controlerapport vermeld;

  • 3.

    bij de simulatie wordt ook de werking van randapparatuur, voor zover die betrokken is bij de registratie van de meetgegevens, op een goede werking gecontroleerd en worden eventuele standen en bijzonderheden vermeld op het controlerapport;

  • 4.

    wanneer bij een simulatie blijkt dat de meetfout groter is dan 5%, wordt het gesloten meetsysteem onmiddellijk in- situ nat gekalibreerd, volgens de bepalingen welke van toepassing zijn bij een natte kalibratie.

Natte kalibratie

Controle meettraject

De meetapparatuur wordt ten minste éénmaal per drie jaar in ingebouwde toestand onder normale bedrijfsomstandigheden nat gekalibreerd. In de praktijk betekent dit dat apparatuur niet uitgebouwd en opgestuurd mag worden naar een kalibrerende instantie. In het jaar van natte kalibratie hoeft niet tevens een droge kalibratie te worden uitgevoerd.

De heffingsambtenaar dient akkoord te geven voor de wijze van uitvoer van de natte kalibratie en ontvangt daarvoor minimaal 6 weken voor de uitvoeringsdatum het ‘Aanvraagformulier natte kalibratie in situ’. De meest recente versie van dit formulier is beschikbaar in Webis Meet onder het kopje ‘Help bestanden’. Tevens ontvangt de heffingsambtenaar een uitnodiging om bij de kalibratie aanwezig te zijn.

Voor debietmeters in mobiele meetapparatuur vindt de natte kalibratie jaarlijks plaats in ingebouwde toestand bij minimaal de volgende vijf meetpunten: 10%, 25%, 50%, 75% en 100% van het maximaal meetbereik op een ijkinstallatie of geaccrediteerde instelling, waarvan de installatie kan worden herleid naar de nationale volumestandaard

Aan de natte kalibratie worden de volgende eisen gesteld:

  • 1.

    minimaal éénmaal per drie jaar worden gesloten meetsystemen in ingebouwde toestand nat gekalibreerd. Onder natte kalibratie wordt verstaan dat een vooraf nauwkeurig bepaalde hoeveelheid water door de te kalibreren meter wordt geleid, of dat tijdelijk een tweede, minimaal op hetzelfde meetprincipe gebaseerd meetsysteem met vergelijkbare onnauwkeurigheid in serie wordt geplaatst en fungeert als moedermeter, dan wel op een andere, door de heffingsambtenaar goedgekeurde methode;

  • 2.

    de moedermeter wordt in ingebouwde toestand nat gekalibreerd bij minimaal de volgende vijf meetpunten: 10%, 25%, 50%, 75% en 100% van het maximaal te gebruiken meetbereik. Hierbij is de meter voorzien van het noodzakelijke in- en uitlooptraject óf is ingebouwd in de meetset of meetwagen waarin deze in de praktijk zal worden ingezet. De natte kalibratie vindt plaats op een ijkinstallatie van een RvA-geaccrediteerde instelling, waarvan de installatie kan worden herleid naar de nationale volumestandaard van de aangewezen instantie zoals bedoeld in artikel 12 van de metrologiewet.

  • Ook wanneer de moedermeter nieuw is, wordt deze gekalibreerd op één van de genoemde installaties, waarbij de meter is ingebouwd in het te gebruiken in- en uitlooptraject, de meetset of meetwagen waarin deze in de praktijk zal worden ingezet;

  • 3.

    het kalibratierapport van de moedermeter, waaronder het onder 2 bepaalde moet blijken, mag niet ouder zijn dan één jaar. Dit kalibratierapport wordt bij het rapport van het gekalibreerde meetsysteem gevoegd;

  • 4.

    tijdens de natte kalibratie wordt zoveel water door het te kalibreren meetsysteem geleid, dat minimaal 2.000 waarnemingen, verdeeld over het ingestelde meetbereik, worden bereikt;

  • 5.

    de pulsinstelling van de meter mag voor aanvang van de natte kalibratie niet worden gewijzigd zonder toestemming van de heffingsambtenaar;

  • 6.

    de kalibratie wordt uitgevoerd binnen het meetbereik waarin de te kalibreren meter onder normale bedrijfsomstandigheden functioneert. Binnen dit meetbereik ligt ook het aan- en aflopen van de waterstroom;

  • 7.

    tijdens de natte kalibratie wordt gecontroleerd of het meetsysteem aan alle eisen zoals gesteld onder ‘gesloten meetsystemen’ wordt voldaan. Op deze manier wordt gewaarborgd dat de gehele installatie voldoet aan de gestelde voorschriften;

  • 8.

    tijdens de natte kalibratie worden de gemeten hoeveelheden water van de te kalibreren flowmeter en de moedermeter door middel van dataloggers geregistreerd waarbij zowel het analoge milliampère signaal als digitale signaal wordt vastgelegd. De ruwe, onbewerkte data wordt bij het kalibratierapport gevoegd;

  • 9.

    bij de natte kalibratie wordt ook de randapparatuur, voor zover die betrokken is bij de registratie van de meetgegevens, op een goede werking gecontroleerd en worden deze standen vermeld op het kalibratiecertificaat. Ook instellingen zoals low-flow cutoff, max-flow cutoff, pulsinstelling, en richting (bi- of uni-directioneel), max. meetbereik, meterconstante, correctiefactor e.d. worden genoteerd;

  • 10.

    als de gevonden onnauwkeurigheid groter is dan 5% t.o.v. de nationale standaard óf er worden corrigerende maatregelen uitgevoerd om de gevonden afwijking te verlagen dient dit direct gemeld te worden bij de ambtenaar belast met de heffing.

Kalibratierapport

Het kalibratierapport bevat alle gegevens zoals zijn genoemd in het ‘Aanvraagformulier natte kalibratie in situ’ eventueel aangevuld met afzonderlijk gemaakte afspraken.

De eerste reeks kalibratie waarden inclusief die van de randapparatuur worden als ‘as-found’ gerapporteerd. Als de gevonden onnauwkeurigheid groter is dan 5% is het noodzakelijk corrigerende maatregelen te nemen.

Na uitvoeren van corrigerende handelingen (ook het reinigen van de installatie) wordt de debietmeter nogmaals gekalibreerd en zo nodig alle instellingen opnieuw genoteerd. De bevindingen van deze kalibratie worden als ‘as-left’ gerapporteerd.

Alle geconstateerde afwijkingen en corrigerende handelingen die bij de kalibratie (zowel droog als nat) zijn uitgevoerd worden op de rapportage vermeldt.

Van de genoemde kalibraties van debietregistratieapparatuur wordt een kopie van het kalibratierapport, inclusief geconstateerde afwijkingen, en de ruwe data binnen 8 weken en (indien mogelijk) uiterlijk vóór het uitvoeren van het eerstkomende afvalwateronderzoek in het betreffende belastingjaar ter beschikking van de heffingsambtenaar gesteld.

Het laatste rapport is op eerste aanzegging te tonen. De resultaten van alle kalibraties worden vermeld in het logboek.

Bij een onnauwkeurigheid gelijk of kleiner dan ±5% worden geen correcties uitgevoerd op het debiet.

Paragraaf 3 Bemonstering van afvalwater

De bemonstering wordt uitgevoerd met behulp van automatische monsternameapparatuur. De bemonstering geschiedt overeenkomstig de NEN 6600–1. Ook bemonstering van ingenomen kanaal- en geloosd of afgevoerd koelwater, condensaat, permeaat e.d. geschiedt volgens de NEN 6600-1. Steekbemonstering is niet toegestaan tenzij hiervoor, op aanvraag door de belastingplichtige, toestemming is verleend door de heffingsambtenaar.

Afvalwater in perssituaties mag alleen worden bemonsterd met apparatuur zoals in de NEN 6600-1 is beschreven (beslisdiagram). Perssituaties waarbij via een aftakking of bypass gebruik wordt gemaakt van een vacuüm apparaat worden niet toegestaan, tenzij op verzoek van de belastingplichtige anders bepaald door de heffingsambtenaar.

Als tijdens de weekenden/feestdagen geen personeel aanwezig is om deze monsters te nemen dan is het toegestaan de monsters op maandag (of de eerstvolgende werkdag na de feestdag), zo spoedig mogelijk maar binnen 4 uur na einde monsterperiode of etmaal, uit de monsterverzamelvaten te nemen. De monsters worden iedere werkdag (ma-vr) uit het monsterverzamelvat genomen. Op aanvraag van de heffingsplichtige kan hiervan worden afgeweken. Toezegging hiervan krijgt vorm in de meetbeschikking.

Als algemene richtlijn geldt dat alvorens het te analyseren monster uit het monsterverzamelvat te nemen eerst moet worden gecontroleerd of de apparatuur correct heeft gewerkt. Hierbij wordt gebruik gemaakt van registratieformulieren. Deze formulieren worden ter plaatse ingevuld. In de NEN-6600-1 is aangegeven welke informatie op de formulieren moet worden vermeld. Ter aanvulling hierop worden de volgende onderdelen per monsternamepunt ook vermeld:

  • 1.

    de gebruikte apparatuur;

  • 2.

    het aantal gegeven pulsen vanuit de debietmeter t.b.v. debietsregistratie en aansturing monstername en het werkelijk aantal genomen monsters (bij gebruik van plunjerbemonstering wordt het aantal ontvangen monsterpulsen en genomen monsters geteld met reedcontacten);

  • 3.

    het resultaat van de toets op de juistheid en representativiteit van de bemonstering via een berekening van de hoeveelheid monster in het monsterverzamelvat n.a.v. het volumemonster, ingestelde pulsfrequentie en geregistreerd geloosd of afgevoerd debiet versus de werkelijk aanwezige hoeveelheid (gemeten of gewogen) monster;

  • 4.

    het werkelijk tijdstip van monstername uit het monsterverzamelvat;

  • 5.

    de starttijd van werkelijke conservering als dit niet het tijdstip van monstername is;

  • 6.

    relevante gegevens van de waterbalans waaronder ingenomen en niet geloosd water, bij voorkeur per etmaal maar in ieder geval over de gehele meetperiode (hoeft niet bij continue metende bedrijven).

De hierboven genoemde gegevens kunnen op eerste aanzegging door het bedrijf of metende instantie getoond worden.

Paragraaf 4 Behandeling en analysering afvalwatermonster

Algemeen

De monsterbehandeling geschiedt in overeenstemming met NEN 6600–1.

Op verzoek van daartoe aangewezen ambtenaren van uw waterschap of Noordelijk Belastingkantoor kan u worden verzocht voor een bepaalde periode van elk verzameld monster een vooraf afgesproken hoeveelheid gedurende 24 uur in een goed gesloten vat/fles bij maximaal 5 graden Celsius in het donker te bewaren. Deze monsters zijn ten behoeve van contra-analyse van het waterschap. De duur van deze periode wordt in overleg met de heffingsplichtige afgestemd.

De monsterflessen bestemd voor analyse door de heffingsplichtige en voor contra–analyse voor de heffingsambtenaar worden om en om gevuld. Op deze wijze wordt bewerkstelligd dat het monster voor de analyse op een heffingsparameter door de heffingsplichtige en voor de desbetreffende contra–analyse voor de heffingsambtenaar zoveel mogelijk identiek zijn.

Conservering en maximale bewaartermijn

De monsters uit het etmaalverzamelmonster worden tot en met het einde van de bewaartermijn geconserveerd op de wijze zoals is aangegeven in tabel A. Als een monster uit het etmaalverzamelmonster wordt ingevroren of chemisch geconserveerd, geschiedt dit binnen 12 uur na afloop van het etmaal. De eventuele voorschriften met betrekking tot chemische conservering gelden in aanvulling op de voorschriften met betrekking tot de conserveringstemperatuur gedurende de bewaartermijn.

In tabel A zijn tevens de maximale bewaartermijnen opgenomen die gelden voor de onderscheidenlijk uit te voeren analyses. De voorbehandeling ten behoeve van een analyse vangt na het einde van het etmaal aan, binnen de maximale bewaartermijn die bij de desbetreffende analyse in tabel A is vermeld. De voorbehandeling van het monster ten behoeve van de analyse, waaronder wordt begrepen het ontdooien van bevroren monsters, wordt uitgevoerd op een wijze en binnen een zodanige termijn dat daardoor de representativiteit van het monster niet wordt verstoord.

Een monster dat op één van de in tabel A aangegeven wijzen chemisch is geconserveerd wordt niet gebruikt voor één van de in tabel A opgenomen wijzen van analyse, waarvoor op basis van tabel A geen of andere voorschriften op het vlak van de chemische conservering gelden.

Tabel A

Voor analyse op:

Omgevingstemperatuur

Methode van conservering

Maximale bewaartermijn

Tijdens transport

Tot einde bewaartermijn

Totaal organisch koolstof (TOC)

Tussen 2 en 8 ℃

Tussen 1 en 5 ℃

Koelen en aanzuren tot pH kleiner dan 2

1 maand

Kleiner dan -18 ℃

Invriezen binnen 12 uur

1 maand

Totaal gebonden stikstof

Tussen 2 en 8 ℃

Tussen 1 en 5 ℃

Koelen en aanzuren tot pH kleiner dan 2

1 maand

Kleiner dan -18 ℃

Invriezen binnen 12 uur

1 maand

Som nitriet- en nitraatstikstof (TON)

Tussen 2 en 8 ℃

Tussen 1 en 5 ℃

Filtreren

4 dagen

Som totaal gebonden stikstof verminderd met nitriet- en nitraatstikstof (TNb-TON)

Tussen 2 en 8 ℃

Tussen 1 en 5 ℃

Koelen en aanzuren met H2SO4

tot pH kleiner dan 2

1 maand

Kleiner dan -18 ℃

Invriezen binnen 12 uur

Chemisch zuurstof verbruik (CZV)

Tussen 2 en 8 ℃

Tussen 1 en 5 ℃

Koelen en aanzuren met H2SO4

tot pH kleiner dan 2

6 maanden

Kleiner dan -18 ℃

Invriezen binnen 12 uur

6 maanden

Biochemisch zuurstofverbruik (BZV)

Tussen 2 en 8 ℃

Tussen 1 en 5 ℃

Koelen onder uitsluiting van licht

1 dag

Kleiner dan -18 ℃

Invriezen binnen 12 uur

1 maand bij

bzv kleiner dan 50mg/L.

6 maanden bij bzv groter dan 50 mg/L.

Het biochemisch zuurstofverbruik is weliswaar geen heffingsparameter voor de zuiverings- en

verontreinigingsheffing, maar wordt aangewend bij toepassing van Paragraaf 8, hoedanigheidscorrectie. Op grond van dit berekeningsvoorschrift wordt de methode van het biochemisch zuurstofverbruik toegepast voor de bepaling van het percentage chemisch zuurstofverbruik van de biologisch niet of nagenoeg niet afbreekbare stoffen.

Analysevoorschriften

Het onderzoek wordt in het water als zodanig uitgevoerd, dus zonder dat daaruit bezinkbare of opdrijvende bestanddelen zijn verwijderd. Er is in dit onderdeel verwezen naar normbladen, uitgegeven door Stichting Koninklijk Nederlands Normalisatie Instituut. De publicatie van de normbladen wordt aangekondigd in de Nederlandse Staatscourant. Een wijziging in een normblad wordt eerst van kracht op 1 januari van het jaar volgende op dat waarin de bekendmaking van de wijziging in de Nederlandse Staatscourant heeft plaatsgevonden.

De in tabel B vermelde aantoonbaarheidsgrenzen zijn de concentraties van de desbetreffende stoffen die bij de analyse ten minste aangetoond moeten kunnen worden. Bij lager gevonden waarden dan de aantoonbaarheidsgrens (= rapportage kleiner dan) wordt deze waarde vermenigvuldigd met de factor 0,5.

Als de aantoonbaarheidsgrens niet haalbaar is (bijvoorbeeld problemen bij monstermatrix) dan wordt dit bij aanvang van het belastingjaar gemotiveerd kenbaar gemaakt aan de heffingsambtenaar. Bij een afwijkend hoger gevonden aantoonbaarheidsgrens wordt deze waarde betrokken in de berekening van de heffing mits de heffingsambtenaar anders beslist.

Van de parameters:

CZV en TOC;

Totaal gebonden stikstof;

Som nitriet- en nitraatstikstof

Som totaal gebonden stikstof verminderd met nitriet- en nitraatstikstof (TNb-TON)

Wordt de analyse, zoals deze staan vermeldt in Tabel B, in duplo uitgevoerd.

Duplobepaling van deze parameters kan achterwege blijven als door onderzoek is aangetoond dat de nauwkeurigheid van de uitkomsten van de analyse hierdoor niet wordt beïnvloed. Een voorstel met daarin de wijze van onderzoek wordt vóóraf, ter goedkeuring, ingediend bij de ambtenaar belast met de heffing.

De analyse van het monster geschiedt op de wijze, zoals is aangegeven in tabel B.

Tabel B

Parameter, stof,

methode of test

Ontsluiting volgens normblad

Meting volgens normblad

Aantoonbaar-

heidsgrens

Bij waarde < aantoonbaar-

heidsgrens

Totaal organisch koolstof (TOC

 

NEN-EN-ISO 20236:2021 en

1 mg/L

0,5 * 1

Totaal gebonden stikstof (TNb)

 

NEN-EN-ISO 20236:2021 en

1 mg/L

0,5 * 1

Som nitriet- en nitraatstikstof (TON)

 

NEN-EN-ISO 13395:1997 nl; of NEN-EN-ISO 15923-1:2024 en

0,1 mg/L

0,5 * 0,1

Som totaal gebonden stikstof verminderd met nitriet- en nitraatstikstof (TNb-TON)

NEN 6645:2005 nl 1)

NEN-EN-ISO 15923-1:2024

0,5 mg/L

0,5 * 0,5

NEN 6646+C1:2015 nl

NEN-EN-ISO 11732:2005 en

Chemisch zuurstof verbruik

-

NEN 6633 (2006) 2)

NEN 6633 (2006/A1:2007) 2)

5 mg/L

0,5 * 5

NEN-ISO 15705:2003 en 3 en 4)

6 mg/L 3 5)

0,5 * 6

Biochemisch zuurstofverbruik (BZV)

-

NEN-EN ISO 5815-1 (2019) en

1 mg/L

0,5 * 1

Onopgeloste

bestanddelen

 

NEN-EN 872:2005 en

2 mg/L

-

Zahn-Wellens test

NEN-EN-ISO 9888:1999 en

NEN-EN-ISO 9888:1999 en

Volgens norm

-

Respiratieremmingstest (toxiciteitstest)

NEN-EN-ISO 8192:2007 en

NEN-EN-ISO 8192:2007 en

Volgens norm

-

1) Voor het bepalen van de som totaal gebonden stikstof verminderd met nitriet- en nitraatstikstof (TNb-TON) mag de analyse alleen volgens normblad NEN 6645:2005 nl plaatsvinden als TNb groter is dan 10 mg/L en voor meer dan 30% bestaat uit TON.

2) NEN 6633 2006, de aanvulling daarop NEN 6633 2006/A1:2007 zijn door NEN ingetrokken. Dit houdt in dat ze niet meer worden onderhouden. Echter zolang in wet en regelgeving naar deze ingetrokken normen wordt verwezen, zijn deze nog steeds van toepassing.

3) De analyse volgens normblad NEN-ISO 15705 is toepasbaar voor onverdunde monsters met een gehalte aan czv en chloride niet groter dan 1.000 mg/L. De heffingsambtenaar kan voorts de methode niet toepasbaar verklaren als naar zijn oordeel andere omstandigheden daartoe aanleiding geven.

4) Fysische voorbehandeling:

Stap 1:

bij influenten en afvalwater behandeling met ultra turrax (15-20 seconden). Bij effluenten zuiveringen, oppervlaktewater, koelwater e.d. alleen ultra turrax bij zichtbare deeltjes.

Stap 2:

na ultra turrax het monster enige minuten laten staan om (eventueel) opgesloten/ ingeslagen lucht te kunnen laten ontsnappen.

Stap 3:

homogeniseer het monster door schudden.

Stap 4:

pipetteer direct na homogenisatie de gewenste hoeveelheid (t.b.v.de analyse) uit de monsterpot.

Afwijkingen m.b.t. de fysische voorbehandeling geschiedt altijd op aanvraag van de heffingsplichtige en met toestemming van de heffingsambtenaar.

5) De analyse volgens normblad NEN-ISO 15705 heeft een aantoonbaarheidsgrens van 6 mg/L. voor fotometrische detectie bij 600 nm en 15 mg/L. voor titrimetrische detectie (gebaseerd op één enkelvoudige meting van één laboratorium) wanneer cuvetten worden gebruikt met een bereik van maximaal 1.000 mg/L.

De normbladen die in deze bijlage zijn genoemd worden bekendgemaakt door terinzagelegging bij:

  • Noordelijk Belastingkantoor, Raadhuisplein 10 in Haren;

  • Laboratorium van Wetterskip Fryslan, Fryslanplein 3 in Leeuwarden;

  • Laboratorium van Hunze & Aa’s, Aquapark 5 in Veendam;

  • Waterschap Noorderzijlvest, Stedumermaar 1 in Groningen.

Paragraaf 5 Berekeningsvoorschriften

Een etmaalmeting gestart voor 12.00 uur wordt gerekend te behoren tot de datum van start terwijl een meting gestart na dit tijdstip wordt gerekend te behoren tot de datum volgend op de datum van start (startdatum +1).

Berekening vindt plaats via tijdvakindeling. De representativiteitsstelling van de gegevens wordt aangegeven in

de meetbeschikkingen.

  • I.

    Berekeningswijze van het aantal vervuilingseenheden

  • a.

    Zuurstofbindende stoffen (artikel 6, derde lid):

Het aantal vervuilingseenheden met betrekking tot het zuurstofverbruik wordt berekend door het totale aantal kilogrammen zuurstofverbruik van de in het kalenderjaar geloosde of afgevoerde zuurstofbindende stoffen te delen door 54,8 kilogram.

Het aantal kilogrammen zuurstofverbruik van de gedurende een etmaal geloosde of afgevoerde zuurstofbindende stoffen wordt berekend volgens de formule:

afbeelding binnen de regeling

Met dien verstande dat als op grond van artikel 5 de verhouding tussen het chemisch zuurstofverbruik en het gehalte totaal organisch koolstof in de afgevoerde stoffen op een afwijkende factor dan 3 is vastgesteld, in bovenstaande formule de factor 3 wordt vervangen door deze vastgestelde factor.

In deze formule wordt verstaan onder:

Q: het aantal m³ geloosd of afgevoerd afvalwater per etmaal;

TOC: het totaal organisch koolstof bepaald volgens de in onderdeel B van deze bijlagen vermelde analysevoorschriften, in mg/L;

TNb: het totaal gebonden stikstof volgens de in onderdeel B van deze bijlage vermelde analysevoorschriften , in mg/L;

TON: de som van nitriet-stikstof en nitraat-stikstof volgens de in onderdeel B van deze bijlage vermelde analysevoorschriften, in mg/L.

Extra afvalwateronderzoek dat in opdracht van- of door uw waterschap wordt uitgevoerd wordt meegenomen in de berekening van de jaarlijkse vuillast.

Afvalwateronderzoek door meerdere instanties op één dag

Bij meerdere metingen op één dag, bijvoorbeeld bij een correlatieonderzoek door uw waterschap, wordt het berekende gemiddelde van de vervuilingswaarden op deze dag geacht de vervuilingswaarde te zijn. Uitzondering hierop is als metingen en/of analyses van een partij niet representatief blijken te zijn of niet voldoen aan het gestelde en voorgeschreven criteria. Dit laatste is ter beoordeling van de heffingsambtenaar.

Afvalwateronderzoek door, of in opdracht van, uw waterschap bij meetbedrijf met meetweken

  • De resultaten gebaseerd op onderzoek korter dan een kalenderweek week (7 dagen) worden meegenomen voor de periode van het daadwerkelijke onderzoek.

  • De resultaten gebaseerd op onderzoek van een kalenderweek (7 dagen) of meer worden samen met de resultaten vanuit de meetbeschikking gemiddeld en representatief gesteld voor het betreffende tijdvak waarin het onderzoek is uitgevoerd.

  • Als het bedrijf kan aantonen dat de resultaten van het onderzoek door, of in opdracht van, het waterschap gebaseerd op een kalenderweek (7 dagen) of meer niet representatief zijn voor het betreffende tijdvak, dan worden de resultaten meegenomen voor de periode van het daadwerkelijke onderzoek.

Afvalwateronderzoek door uw waterschap bij meetbedrijf met losse meetdagen

De resultaten gebaseerd op onderzoek van één of meerdere dagen worden meegenomen voor de periode van het daadwerkelijke onderzoek. Het debiet gemeten tijdens het afvalwateronderzoek van uw waterschap wordt in mindering gebracht op het debiet dat is vastgesteld in de periode tussen de losse meetdagen vanuit de meetbeschikking. Hieronder een voorbeeld waarbij wordt uitgegaan dat de vermenigvuldigingsfactor van de parameter TOC het getal 3 is.

In de periode van 1 januari tot 11 januari is door een bedrijf 1.000m³ afvalwater afgevoerd op het riool. Op de dag van 10 op 11 januari is in het kader van de meetbeschikking een volumeproportionele bemonsteringsdag uitgevoerd. De TOC en (TNb-TON) waarde van het monsters waren respectievelijk 500mg/L en 25mg/L. De vuillast in v.e.’s voor deze periode wordt bepaald op onderstaande wijze:

1.000*(4,57*25+500*3)/1000/54,8 = 29,45 v.e.

Stel dat het waterschap op 6 januari een volumeproportionele bemonsteringsdag uitvoert met de volgende waarden. Debiet: 100m³, TOC: 700 mg/L en (TNb-TON) van 30 mg/L. De vuillast voor deze dag wordt bepaald op onderstaande wijze:

100*(4.57*30+700*3)/1000/54,8 = 4,08 v.e.

De vuillast voor de periode 1 tot 11 januari van het bedrijf wordt vervolgens vastgesteld op de volgende wijze:

(1.000-100)*(4.57*25+500*3)/1000/54,8 = 26,51 v.e.

Het totaal aantal v.e. voor de periode 1 tot 11 januari is 26,51 v.e. + 4,08 v.e. = 30,59 v.e.

Correctie ingenomen oppervlaktewater

  • II.

    Als door een bedrijf water wordt onttrokken aan oppervlaktewater in beheer bij het waterschap en dit water vervolgens weer wordt geloosd in een oppervlaktewaterlichaam in beheer bij het waterschap, worden voor de berekening van de vervuilingswaarde de hoeveelheden verontreinigende stoffen, aanwezig in het onttrokken water en vervolgens weer geloosde water, in mindering gebracht op de vervuilingswaarde van het geloosde water, met dien verstande dat deze vermindering niet mag leiden tot een negatieve waarde.

De berekening van de vermindering op het geloosde water is als volgt

Vermindering = geloosde hoeveelheid in m³ / ingenomen hoeveelheid in m³ * vervuilingswaarde ingenomen water.

  • III.

    Bij de bepaling van het aantal etmalen in artikel 7, wordt gebruik gemaakt van de volgende formule:

afbeelding binnen de regeling

n = het berekende aantal meetdagen;

N= het aantal dagen per jaar dat wordt afgevoerd of geloosd;

sigma n= spreidingspercentage in de meetwaarden, uitgedrukt ten opzichte van de gemiddelde hoeveelheid zuurstofverbruik van de onderzoeksresultaten gedurende het heffingsjaar;

tso= toelaatbare statistische onnauwkeurigheid = 35/e 0,000175*VeO;

VeO= vervuilingswaarde van de geloosde/afgevoerde zuurstofbindende stoffen

Bij de bepaling van het aantal etmalen worden de resultaten van de laatste drie jaar in de berekening betrokken. Als deze gegevens niet voorhanden zijn wordt door de heffingsambtenaar een zo representatief mogelijk aantal meetdagen vastgesteld.

Paragraaf 6 Rapportage onderzoeksresultaten

Over elke periode van meting en bemonstering van het afvalwater wordt uiterlijk 8 weken na afloop van de meetperiode een (elektronisch) rapport uitgebracht aan de heffingsambtenaar (postadres: Noordelijk belastingkantoor, Postbus 88 9700AB Groningen).

U wordt dringend verzocht rapportages in het kader van eventueel aan u verleende vergunningen vanuit de Waterwet niet te combineren met de heffingsrapportages. Rapportages in het kader van de Waterwet vallen onder de Wet Openbaarheid van bestuur (WOB) en zijn op verzoek beschikbaar voor derden terwijl de heffingsrapportage onder de Algemene wet Inzake Rijksbelastingen (AWR) valt waarvoor een geheimhoudingsplicht geldt.

Rapportage wordt bij voorkeur elektronisch gedaan via het programma Webis Meet waarover u separaat bent geïnformeerd. Als dit niet mogelijk is of u wilt hier geen gebruik van maken dan wordt de rapportage schriftelijk gedaan.

De rapportage bevat minimaal de volgende gegevens :

  • 1.

    locatie waarop de gegevens van toepassing zijn;

  • 2.

    omschrijving en/of codering afvalwaterstroom of meetpunt;

  • 3.

    periode waarvoor de monstername geldig is;

  • 4.

    type monstername;

  • 5.

    resultaten van voorgeschreven parameters (bijvoorbeeld: debiet, chemisch zuurstofverbruik, organisch-gebonden stikstof incl. ammonium en biochemisch zuurstofverbruik) inclusief eenheden, normverwijzing en disclaimers;

  • 6.

    gemiddelde en afzonderlijke resultaten van de duplobepaling chemisch zuurstofverbruik en organisch-gebonden stikstof incl. ammonium;

  • 7.

    debiet in m3 per meetperiode van 24 uur;

  • 8.

    bijzonderheden m.b.t. meting, bemonstering, apparatuur en/of productieproces tijdens de periode van meting en bemonstering, afwijkingen t.o.v. de voorschriften zoals deze zijn gesteld in de meetbeschikking en afspraken met uw waterschap en/of Noordelijk belastingkantoor.

Paragraaf 7 Bijzondere situaties (uitval, bijzondere lozingssituaties etc.)

ALP

Een afwijkend lozings- of afvoerpatroon kan ontstaan als door omstandigheden extra of juist minder zuurstofbindende stoffen worden geloosd of afgevoerd ten opzichte van de normale situatie. Dit kan ontstaan door weglekken van grondstof, extra of juist minder productie, extra vuillast door slechte werking zuivering etc..

Zowel binnen als buiten de meetperiode maakt u of uw metende instantie melding van deze ALP’s. U kunt hiervoor contact opnemen met team ‘Heffen’ van het Noordelijk belastingkantoor, bereikbaar op telefoonnummer 088 7879000.

Uitvallen van meetdagen

Uitval van meetdagen kan ontstaan door storing in de meet- en bemonsteringsapparatuur, verkeerde bediening van apparatuur, spanning uitval etc..

In het geval van uitval van meetdagen neemt u of uw metende instantie contact op met team ‘Heffen’.

Vervangende meetdagen

Bij lozing of afvoer van extra of minder zuurstofbindende stoffen tijdens de meetperiode wordt in overleg met de heffingsambtenaar een nieuwe meetperiode of gedeelte daarvan vastgesteld. Dit is ook van toepassing als door storing van apparatuur, verkeerde bediening etc. meetdagen uitvallen.

De periode is afhankelijk van de hoeveelheid afwijkende dagen die hebben plaatsgevonden binnen de meetweek. Als basis wordt gehanteerd dat een vervangende meetdag representatief moet zijn voor de weekdag die is uitgevallen (maandag voor maandag etc.). Voorwaarde is ook dat het lozings/afvoerpatroon op de vervangende dag overeen moet komen met de omstandigheden van de uitgevallen weekdag. De werkwijze bij het uitvallen van een meetdag of meetdagen is weergegeven in een beslisschema dat verkrijgbaar is bij het Noordelijk Belastingkantoor en beschikbaar is in Webis Meet.

Bij lozing of afvoer van extra- of minder zuurstofbindende stoffen buiten de meetperiode wordt de vuillast hiervan vastgesteld door meting, bemonstering en analyse. Details hierover worden, indien mogelijk, vooraf afgestemd met de heffingsambtenaar.

Vaststelling van de heffing

De dagen waarop een ALP heeft plaatsgevonden aansluitend voor, tijdens, als aansluitend na de meetperiode tellen mee voor zoveel dagen dat de ALP heeft plaatsgevonden. De vervangende dagen tellen mee voor de overige dagen in het tijdvak.

Vaststelling van de heffing van ALP’s buiten de meetperiode gaat door middel van verkregen informatie uit extra onderzoek of informatie van het bedrijf (berekening van het aantal extra geloosde of afgevoerde v.e.’s).

Paragraaf 8 hoedanigheidscorrectie (T-correctie)

De aanvraag

De hoedanigheidscorrectie (hierna: T-correctie) vindt plaats op aanvraag van de heffingplichtige. Deze aanvraag bevat in elk geval de volgende onderdelen:

  • a.

    een omschrijving van de afvalwaterstromen waarvoor hoedanigheidscorrectie wordt aangevraagd;

  • b.

    de wijze van meten, bemonsteren en analyseren;

  • c.

    de frequentie van meten, bemonsteren en analyseren;

  • d.

    de naam van de partij of personen die het onderzoek uitvoeren met een verklaring dat deze partij of personen geaccrediteerd zijn voor het uitvoeren van de gevraagde handelingen of aantoonbare ervaring heeft met de proeven die worden aangevraagd.

  • e.

    het type uit te voeren toxiciteitstesten, biodegradatieonderzoeken en te volgen methodieken, zoals eventuele voorbehandelingsmethoden;

  • f.

    het aantal uit te voeren biodegradatieonderzoeken waarbij de f-factor wordt bepaald;

  • g.

    de herkomst van het entmateriaal ten behoeve van de biodegradatieonderzoeken van welke zuiveringsinstallatie entslib of effluent wordt gebruikt, dat te gebruiken is in een onderzoek naar het biologisch zuurstofverbruik en bijbehorende toxiciteitstest.

Het onderzoek

Er zijn twee typen biodegradatieonderzoeken met bijbehorende toxiciteitstesten. De keuze tussen deze twee wordt bepaald op basis van de grenswaarde voor de totale hoeveelheid organische koolstof (TOC) in het te onderzoeken afvalwater. Deze grenswaarde is 33 mg/L.

  • Bij een TOC kleiner dan deze grenswaarde wordt het biodegradatieonderzoek BZV19 toegepast.

  • Bij een TOC gelijk aan of groter dan 33 mg/L wordt de Zahn-Wellens test toegepast.

In beide gevallen vindt onderzoek plaats op het gefiltreerde deel van het monster. Filtratie vindt plaats over een 0,45 µm filter. Als de frequentie van het onderzoek naar de T-correctie afwijkt van de frequentie als bedoeld in artikel 5, tweede lid, of de frequentie die met toepassing van artikel 6 is bepaald, moet ook op de etmalen die zijn voorgeschreven in de beschikking als bedoeld in voornoemde artikelen de TOC van het afvalwater geanalyseerd worden in zowel het ongefiltreerde als het gefiltreerde monster (0,45 µm). Hiermee wordt de factor bepaald voor welk deel van het monster de T-correctie kan worden toegepast.

BZV19 onderzoek

Bij een BZV19 onderzoek gelden de volgende meetdagen: 0, 5, 7, 9, 12, 15, 19.

Als entwater bij het onderzoek wordt effluent van de ontvangende rioolwaterzuiveringsinstallatie gebruikt. De voorwaarde is dat hetzelfde entmateriaal gebruikt wordt als bij de toxiciteitstest (zie onderdeel D.3.1).

Er wordt geen gebruik gemaakt van entwater afkomstig van een eventueel aanwezige eigen biologische zuivering van de heffingplichtige. De reden hiervoor is dat de restverontreiniging in het effluent niet of zeer moeilijk biologisch afbreekbaar kan zijn. De aanwezige bacteriën van de eigen biologische zuivering zijn volledig ingesteld op het aanbod van bedrijfsspecifieke stoffen dit in tegenstelling tot een rioolwaterzuiveringsinstallatie.

De biochemische afbraak van organisch materiaal wordt als volgt beschreven.

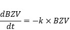
Bij de afleiding van BZV19 dient altijd uitgegaan te worden van een eerste orde reactie. In de praktijk kan echter een afwijking ontstaan waardoor een pseudo eerste orde reactielijn ontstaat.

De snelheid waarmee zuurstof door bacteriën wordt gebruikt (de snelheid waarmee het gemeten BZV toeneemt in de tijd) is evenredig aan de hoeveelheid nog in het water aanwezige organisch materiaal. De afbraaksnelheid neemt namelijk af in de tijd.

Dit betekent dat de afbraak verloopt volgens de reactievergelijking:

afbeelding binnen de regeling

Stel dat de BZV5 het BZV is op het tijdstip t=0, dus bij het begin van de BZV19 bepaling. Het BZV op het tijdstip t=n dagen op BZV19. De toename van de BZV gedurende de tijd n is BZV19 - BZV5. De evenredigheidsconstante k is te vergelijken met een snelheidsconstante bij chemische reacties. De dimensie van k = tijd-1.

Hieruit volgt:

afbeelding binnen de regeling

Door nu grafisch de Ln(BZVn/BZV5) uit te zetten tegen 1/t kan de Ln(BZV19/BZV5) worden afgelezen op het snijpunt van de y–as, en daarmee BZV19 worden berekend. Door middel van lineaire regressie is het snijpunt op de y-as te berekenen. De regressie wordt uitgevoerd op de analyseresultaten vanaf BZV5 tot en met BZV19.

Triplo en duplo metingen van de verschillende BZV verdunningen dienen gemiddeld te worden, tenzij blijkt dat een meting aantoonbaar onjuist is.

Als de BZV19 is bepaald, is het mogelijk om de T-correctie te bepalen. Het onafbreekbaarheidspercentage T wordt bepaald met:

afbeelding binnen de regeling

Als de TOC-waarde voor ten minste 25% afkomstig is van biologisch niet of nagenoeg niet afbreekbare stoffen in het afvalwater, wordt op die waarde een correctie toegepast door deze te vermenigvuldigen met de breuk:

afbeelding binnen de regeling

waarbij:

T = het percentage TOC afkomstig van biologisch niet of nagenoeg niet afbreekbare stoffen, hierna het onafbreekbaarheidspercentage genoemd.

Zahn-Wellens test

Er wordt actief slib gebruikt van de rioolwaterzuiveringsinstallatie waarop het afvalwater wordt afgevoerd. De voorwaarde is dat hetzelfde actief slib gebruikt wordt als bij de toxiciteitstest (zie onderdeel D.3.1). Er mag geen gebruik gemaakt worden van actief slib afkomstig van een eventueel aanwezige eigen biologische zuivering van de heffingplichtige. De reden hiervoor is dat de restverontreinigingen in het effluent niet of zeer moeilijk biologisch afbreekbaar kunnen zijn. De aanwezige bacteriën in het actief slib van de eigen biologische zuivering zijn volledig ingesteld op het aanbod van bedrijfsspecifieke stoffen dit in tegenstelling tot een rioolwaterzuiveringsinstallatie.

Het onafbreekbaarheidspercentage T wordt met een Zahn-Wellens test berekend met:

afbeelding binnen de regeling

Het gaat hierbij om de opgeloste organische koolstof (DOC).

Als niet gedurende elk etmaal, of elk etmaal volgens de beschikking op grond van artikel 6, analyse plaatsvindt kan niet van elke analyse nauwkeurig bepaald worden hoe de uitkomst van de methode tot bepaling van het chemisch zuurstofverbruik gecorrigeerd moet worden. In dat geval kan alleen een correctie worden toegepast op analyses tot een (boven)grenswaarde voor de TOC. Deze bovengrens zal na afloop van het heffingsjaar, op basis van alle TOC analyses die voor de T-correctie bepaling in het heffingsjaar zijn uitgevoerd, worden vastgesteld. De hoogst gemeten waarde van de TOC ter bepaling van de f-factor in deze monsters is de bovengrenswaarde voor TOC. De TOC-waarde (gefiltreerd) wordt vervolgens vermenigvuldigd met de f-factor.

De berekening

De berekende f-factor (f) uit het BZV19 onderzoek of de Zahn-Wellens test wordt als volgt in de heffingsformule toegepast ter bepaling van het aantal kg zuurstofverbruik:

afbeelding binnen de regeling

Toxiciteit

Als blijkt dat het water in een periode toxisch is, kan geen betrouwbaar onderzoek in deze periode plaatsvinden en kan voor deze periode ook geen correctie worden bepaald. De factor voor correctie van de TOC wordt dan voor deze onderzoeksperiode op 1 gesteld.

In aanvulling op NEN-EN-ISO 5815-1:2019 bepaalt de bij deze methode behorende toxiciteitstest de acute toxiciteit voor aerobe bacteriën door na vijf dagen de respiratie te meten. De toxiciteit wordt vastgesteld in hetzelfde etmaalverzamelmonster als voor het BZV19-onderzoek, door aan het te onderzoeken monster een glucose-/glutaminezuuroplossing toe te voegen, die overeenkomt met een BZV5 van 200 mg O2/L. Als deze concentratie na vijf dagen onveranderd blijft, kan worden geconcludeerd dat het water niet toxisch is voor de aerobe bacteriën.

Bij het BZV19 onderzoek wordt als entwater effluent van de ontvangende rioolwaterzuiveringsinstallatie gebruikt. Bij de Zahn-Wellens test wordt actief slib gebruikt van de rioolwaterzuiveringsinstallatie waarop het afvalwater wordt afgevoerd.

De resultaten worden uitgedrukt als percentage van het rendement van de standaard, oftewel het percentage van de glucose-/glutaminezuuroplossing dat na vijf dagen wordt teruggemeten.

Voor de beoordeling van toxiciteit geldt: als meer dan 75% van de glucose-/glutaminezuuroplossing wordt teruggemeten, is er geen sprake van toxiciteit.

De frequentie

De heffingplichtige maakt aannemelijk dat de uitkomst van de methode tot bepaling van het chemisch zuurstofverbruik als bedoeld in artikel 3, vierde lid, in belangrijke mate wordt beïnvloed door biologisch niet of nagenoeg niet afbreekbare stoffen, door in beginsel onderzoek uit te voeren met inachtneming van de frequentie als bedoeld in artikel 5, tweede lid, of de frequentie die met toepassing van artikel 6 is bepaald.

In afwijking van het voorgaande kan de heffingsambtenaar bepalen dat de frequentie wordt bepaald aan de hand van het, op basis van onderzoek in het voorgaande jaar voor aanvraag van de T-correctie, geschatte verschil in vervuilingswaarde tussen toepassing van de T-correctie en zonder toepassing van de T-correctie, inhoudende:

  • bij een verschil kleiner dan 100 vervuilingseenheden: 4 onderzoeken;

  • bij een verschil tussen de 100 en 200 vervuilingseenheden: 5 onderzoeken;

  • bij een verschil tussen de 200 en 300 vervuilingseenheden: 6 onderzoeken;

  • bij een verschil tussen de 300 en 400 vervuilingseenheden: 7 onderzoeken;

  • bij een verschil tussen de 400 en 500 vervuilingseenheden: 8 onderzoeken;

  • bij een verschil tussen de 500 en 600 vervuilingseenheden: 9 onderzoeken;

  • bij een verschil tussen de 600 en 700 vervuilingseenheden: 10 onderzoeken;

  • bij een verschil tussen de 700 en 800 vervuilingseenheden: 11 onderzoeken;

  • bij een verschil groter dan 800 vervuilingseenheden: 12 onderzoeken.

Als in het voorgaande jaar geen onderzoek naar de T-correctie is uitgevoerd, dan bepaalt de heffingsambtenaar de frequentie op 12 onderzoeken. Het aantal onderzoeken als hiervoor bedoeld wordt evenredig over het heffingsjaar verdeeld. De onderzoeken moeten gezamenlijk representatief zijn voor het heffingsjaar.

Bijlage 2 Tabel afvalwatercoëfficiënten

De onderstaande tabel is ontleend aan artikel 122k, derde lid, van de Waterschapswet en bevat klassen met bijbehorende klassegrenzen en afvalwatercoëfficiënten:

Klasse

Klassegrenzen uitgedrukt in aantal vervuilingseenheden voor het zuurstofverbruik per m3 ingenomen water

Afvalwatercoëfficiënt uitgedrukt in aantal vervuilingseenheden per m3 ingenomen water in het heffingsjaar

Ondergrens

Bovengrens

1

> 0

0,0013

0,0010

2

> 0,0013

0,0020

0,0016

3

> 0,0020

0,0031

0,0025

4

> 0,0031

0,0048

0,0039

5

> 0,0048

0,0075

0,0060

6

> 0,0075

0,012

0,0094

7

> 0,012

0,018

0,015

8

> 0,018

0,029

0,023

9

> 0,029

0,045

0,036

10

> 0,045

0,070

0,056

11

> 0,070

0,11

0,088

12

> 0,11

0,17

0,14

13

> 0,17

0,27

0,21

14

> 0,27

0,42

0,33

15

> 0,42

 

0,5

Toelichting op de Verordening zuiveringsheffing en verontreinigingsheffing waterschap Wetterskip Fryslân 2026

Algemeen 

In Nederland zijn waterschappen verantwoordelijk voor de waterstaatkundige verzorging van een bepaald gebied. Een van de taken die bij deze verantwoordelijkheid hoort, is de zuivering van stedelijk afvalwater. Het gaat dan om afvalwater dat wordt ingezameld door de gemeente en via het rioolstelsel naar een rioolwaterzuiveringsinstallatie van het waterschap wordt getransporteerd. Daarnaast heeft het waterschap de taak om stedelijk afvalwater te zuiveren dat wordt afgevoerd op een systeem als bedoeld in artikel 2.16, derde lid, van de Omgevingswet dat wordt beheerd door of namens het waterschap (bijvoorbeeld een IBA-systeem). Om deze taken te kunnen bekostigen, heffen waterschappen onder de naam zuiveringsheffing een waterschapsbelasting. 

De opbrengst van de zuiveringsheffing kan naast het bekostigen van voornoemde taken ook worden besteed aan het verstrekken van subsidies, het doen van uitgaven en de bekostiging van maatregelen. Deze bestedingsmogelijkheden zijn limitatief opgesomd in artikel 122d, vijfde lid, van de Waterschapswet. 

Naast de zuivering van stedelijk afvalwater hebben waterschappen ook de zorg voor de waterkwaliteit. Ter zake van lozen in een oppervlaktewaterlichaam in beheer bij een waterschap kan het algemeen bestuur van dat waterschap onder de naam verontreinigingsheffing een heffing instellen. De opbrengst van deze heffing komt ten goede aan de bekostiging van het beheer van het watersysteem van de beheerder. 

Het algemeen bestuur van een waterschap besluit tot het invoeren, wijzigen of afschaffen van een waterschapsbelasting door het vaststellen van een belastingverordening. Per 1 januari 2026 wijzigt een aantal wettelijke regels over de verontreinigingsheffing en zuiveringsheffing. Om die reden moet het algemeen bestuur een nieuwe verordening zuiveringsheffing en verontreinigingsheffing vaststellen voor 2026. 

De verordening zuiveringsheffing en verontreinigingsheffing maakt duidelijk wie wanneer deze heffingen moet betalen, wat het onderwerp van de heffingen is, hoe de hoogte van de heffingen wordt bepaald en wat het tarief is. Daarnaast bevat de verordening regels over de wijze van heffing en invordering. De regels in deze verordening vullen de wettelijke regels aan die zijn opgenomen in de Waterschapswet, de Waterwet, het Waterschapsbesluit en het Besluit vervuilingswaarde ingenomen water 2009. 

Deze verordening is gebaseerd op de modelverordening zoals vastgesteld in de Ledenvergadering van de Unie van Waterschappen op 11 april 2025. 

Artikelsgewijze toelichting

Artikel 1 Definities 

Om duidelijkheid te scheppen over een aantal in de verordening voorkomende begrippen en om de leesbaarheid te bevorderen, is van deze begrippen een definitie gegeven in artikel 1. Daarbij is zoveel mogelijk aangesloten bij de definities in de Waterschapswet en de Waterwet. 

afvoeren 

De definitie voor afvoeren is per 1 januari 2026 aangepast zodat deze beter aansluit op de zuiveringstaak van het waterschap zoals neergelegd in artikel 1 van de Waterschapswet dat eveneens per dezelfde datum is verduidelijkt. 

Deze aanpassing heeft tot gevolg dat het direct (per tankwagen) of indirect via een leiding, niet zijnde een openbaar vuilwaterriool, brengen van stoffen op een zuiveringtechnisch werk niet meer onder het belastbaar feit van de zuiveringsheffing valt. In deze situaties kan het waterschap een privaatrechtelijke overeenkomst sluiten met de aanbieder van deze zogenoemde separate afvalwaterstroom (zie artikel 122d, zesde lid, van de Waterschapswet). De Unie van Waterschappen heeft een handreiking opgesteld om de waterschappen te ondersteunen bij het sluiten van deze overeenkomsten. Deze handreiking is op 4 oktober 2024 vastgesteld door de Uniecommissie Bestuur, Communicatie en Financiën (CBCF). 

Naast de aanpassing is verduidelijkt dat de zuiveringsheffing geheven kan worden in het geval stoffen worden gebracht op een systeem als bedoeld in artikel 2.16, derde lid, van de Omgevingswet dat wordt beheerd door of namens het waterschap. Een dergelijk systeem is een Individuele Behandeling van Afvalwater (IBA). 

bedrijfsruimte 

Bij de definitie voor bedrijfsruimte is gekozen voor een negatieve formulering om een zo groot mogelijke reikwijdte aan de definitie te geven. Alles wat geen woonruimte is, moet als een bedrijfsruimte worden aangemerkt. Ook een festivalterrein kan als bedrijfsruimte kwalificeren. Voor kwalificatie van een terrein als bedrijfsruimte is niet van belang of dat het terrein een openbaar karakter heeft, en ook niet of belanghebbende zich ten eigen behoeve van dat terrein bedient. Als blijkt dat het festivalterrein kan worden gebruikt zonder dat de gebruiker meer dan bijkomstig afhankelijk is van ergens anders in het gebouw aanwezige voorzieningen, is hier sprake van bedrijfsruimte in de zin van de verordening (Hoge Raad 11 juli 2008, ECLI:NL:HR:2008:BD6823, BNB 2008/241). 

Drinkwaterbedrijf 

Ingevolge artikel 122c, onderdeel g, van de Waterschapswet is voor de toepassing van de zuiveringsheffing een drinkwaterbedrijf een bedrijf als bedoeld in artikel 1, eerste lid, van de Drinkwaterwet 

heffingsambtenaar 

De heffingsambtenaar is het bestuursorgaan aan wie de wetgever via de Algemene wet inzake rijksbelastingen de bevoegdheid tot het opleggen van aanslagen en het doen van uitspraak op bezwaar heeft geattribueerd. In artikel 123 van de Waterschapswet wordt onder meer de Algemene wet inzake rijksbelastingen van toepassing verklaard voor het heffen van belastingen door waterschappen. Dit artikel bepaalt verder dat de bevoegdheden van de heffingsambtenaar (in dit artikel ‘inspecteur’ genoemd) toekomen aan de daartoe aangewezen ambtenaar van het waterschap. Die aanwijzing vindt plaats bij een door het dagelijks bestuur te nemen aanwijzingsbesluit. Ook kan op grond van het derde lid van artikel 124 van de Waterschapswet een ambtenaar van samenwerkende waterschappen worden benoemd door de dagelijks besturen van die samenwerkende waterschappen. Verder kan, op grond van het vijfde lid van artikel 124 van de Waterschapswet, een ambtenaar van een gemeenschappelijke regeling worden aangesteld als heffingsambtenaar. 

Behalve het opleggen van aanslagen en het doen van uitspraak op bezwaar komt op grond van deze verordening aan de heffingsambtenaar ook de bevoegdheid tot het afgeven van meetbeschikkingen toe (artikel 6 en verder). In de meetbeschikking worden specifieke voor een bepaalde heffingplichtige geldende voorschriften vastgelegd. Dit gaat om een nadere precisering van de algemene regels uit deze verordening voor een specifieke situatie. In de praktijk kan dit zowel een beperking als een aanvulling op de algemene regels betekenen. 

heffingsjaar 

In deze verordening worden de begrippen ‘heffingsjaar’ en ‘kalenderjaar’ door elkaar gebruikt. Met deze definitie is beoogd om duidelijk te maken dat deze begrippen synoniemen van elkaar zijn. 

Invorderingsambtenaar 

De ambtenaar van het Noordelijk belastingkantoor die de ontvangersbevoegdheden uit de Invorderingswet 1990 uitoefent, wordt in de verordening invorderingsambtenaar genoemd. Tot de 

ontvangersbevoegdheden behoort de bevoegdheid tot de invordering van de belasting. Ook het verlenen van kwijtschelding van belasting is een ontvangersbevoegdheid. De Waterschapswet noemt de ontvanger in artikel 123, derde lid, onder c. Evenals dat ten aanzien van de heffingsambtenaar het geval is, kan in geval samenwerking door waterschappen in een gemeenschappelijke regeling en indien hierbij een openbaar lichaam is ingesteld, een ambtenaar van dit openbaar lichaam, in casu Noordelijk Belastingkantoor als invorderingsambtenaar worden aangewezen. Dit volgt uit artikel 124, vijfde lid, onder b, van de Waterschapswet. 

ingenomen water 

Behalve via drinkwaterbedrijven wordt ook op andere wijze water verkregen. Zo wordt op steeds grotere schaal door bedrijven voor sanitair gebruik hemelwater opgevangen. Omdat dit water na gebruik wordt afgevoerd of geloosd, moet het ook in de berekening van de vervuilingswaarde worden betrokken. Ditzelfde geldt voor warm tapwater. 

lozen 

De definitie is ontleend aan de begripsbepaling in artikel 7.1, eerste lid, van de Waterwet. Welke oppervlaktewaterlichamen in beheer zijn bij het waterschap, valt op te maken uit de gebiedsomschrijving zoals die is opgenomen in het reglement voor het waterschap. 

Noordelijk Belastingkantoor 

Noordelijk Belastingkantoor is het samenwerkingsverband op het gebied van waterschapsbelastingen en gemeentelijke heffingen voor de waterschappen Noorderzijlvest, Hunze en Aa’s en Wetterskip Fryslân en de gemeente Groningen. Vestigingsplaats is Haren Gn. Uitgangspunt is een zo doelmatig mogelijke uitvoering van de heffing en invordering van de belastingen. In de Gemeenschappelijke Regeling Noordelijk Belastingkantoor is een groot aantal wettelijke bevoegdheden betreffende de aangewezen belastingen overgedragen aan Noordelijk belastingkantoor. In dit verband zijn de door het bestuur van Noordelijk Belastingkantoor aangewezen heffingsambtenaar en invorderingsambtenaar in de onderdelen h en i als zodanig ook voor waterschap Wetterskip Fryslân van belang. 

openbaar vuilwaterriool 

De definitie is gelijk aan de begripsbepaling in de bijlage bij artikel 1.1 van de Omgevingswet. 

oppervlaktewaterlichaam 

De definitie is gelijk aan de begripsbepaling in de bijlage bij artikel 1.1 van de Omgevingswet. 

Riolering 

Onder riolering wordt verstaan het gemeentelijk rioolstelsel zoals dat wordt bedoeld in artikel 10.33, eerste lid, van de Wet milieubeheer. Dit kan worden beheerd door de gemeente zelf, of door een rechtspersoon, in opdracht van de gemeente. 

stedelijk afvalwater 

De definitie is gelijk aan de begripsbepaling in de bijlage bij artikel 1.1 van de Omgevingswet. Waar in deze verordening kortheidshalve wordt gesproken over ‘afvalwater’ wordt ‘stedelijk afvalwater’ bedoeld. 

Stoffen 

Waterschap Wetterskip Fryslân heeft besloten om de stoffen zilver, chroom, koper, lood, nikkel, zink, arseen, cadmium, kwik, chloride, fosfor en sulfaat niet aan de heffing te onderwerpen. Het gaat hier dus alleen om het lozen van zuurstofbindende stoffen. 

watersysteem 

De definitie is gelijk aan de begripsbepaling in de bijlage bij artikel 1.1 van de Omgevingswet. 

woonruimte 

Dit onderdeel regelt wat onder een woonruimte moet worden verstaan. Niet elke bewoonde ruimte kan als woonruimte worden aangemerkt. Een woonruimte is bestemd om als een afzonderlijk geheel te voorzien in woongelegenheid. Of dit het geval is moet blijken uit de inrichting van de ruimte. In deze definitie wordt tot uitdrukking gebracht dat het moet gaan om een ruimte die gezien zijn indeling bestemd is om als een afzonderlijk geheel te voorzien in woongelegenheid als de bewoner niet meer dan bijkomstig afhankelijk is van overig in het pand aanwezige voorzieningen. Hierbij moet worden gedacht aan voorzieningen als toilet, keuken of douchegelegenheid (Hoge Raad 23 juli 1984, ECLI:NL:HR:1984:AW8590, BNB 1984/282).  

Kamers in studentenhuizen en pensions kunnen daarom meestal niet worden beschouwd als afzonderlijke woonruimten in de zin van deze verordening. In deze situaties kan het studentenhuis of pension ook niet als één woonruimte worden beschouwd (maar als één bedrijfsruimte) omdat deze veelal niet ten dienste staat van een gezin of daarmee gelijk te stellen andere leefeenheid (Hoge Raad van 14 juni 1995, ECLI:NL:HR:1995:AA1584, BNB 1995/253). Van zo’n andere leefeenheid is sprake wanneer personen, die naar het spraakgebruik geen gezin vormen, gezamenlijk een huishouding voeren die de voor een gezin kenmerkende eigenschappen heeft (Hof Den Haag 25 januari 2022, ECLI:NL:GHDHA:2022:72). 

zuiveringtechnisch  werk 

De definitie is gelijk aan de begripsbepaling in de bijlage bij artikel 1.1 van de Omgevingswet. Een zuiveringtechnisch werk is een voorziening voor het zuiveren of het transporteren van afvalwater. De definitie omvat naast de rioolwaterzuiveringsinstallaties ook rioolgemalen, persleidingen, vrijvervalleidingen, open en dichte afvoergoten en pompstations voor het afvalwater. De gemeentelijke riolering wordt hier niet onder begrepen (zie openbaar vuilwaterriool). 

Artikel 2 Bijlagen 

De grondslag voor de zuiveringsheffing wordt gevormd door de hoeveelheid en de hoedanigheid van de stoffen die worden afgevoerd. Als heffingsmaatstaf geldt de vervuilingswaarde van de stoffen die in een kalenderjaar worden afgevoerd, uitgedrukt in vervuilingseenheden. Zoals blijkt uit artikel 122g van de Waterschapswet is de hoofdregel dat het aantal vervuilingseenheden wordt vastgesteld met behulp van door middel van meting, bemonstering en analyse verkregen gegevens. 

In Bijlage I zijn nadere regels gesteld over de wijze van meting, bemonstering, analyse en berekening. Zie in dit verband ook de artikelen 6, 7 en 8 van de verordening. 

In de artikelen 122h, 122i en 122k van de Waterschapswet is ook een aantal uitzonderingen op deze hoofdregel gegeven. Deze uitzonderingen, in casu voor woonruimten, kleine bedrijfsruimten, glastuinbouwbedrijven en bedrijven met een vervuilingswaarde van 1.000 vervuilingseenheden en minder, zijn eveneens in deze verordening opgenomen. 

Voor bedrijven met een vervuilingswaarde met betrekking tot het zuurstofverbruik van 1.000 

vervuilingseenheden en minder kan onder voorwaarden de berekening van het aantal vervuilingseenheden plaatsvinden met behulp van de tabel afvalwatercoëfficiënten en dus niet door middel van meting, bemonstering en analyse. Deze tabel is opgenomen in artikel 122k, derde lid, van de Waterschapswet en volledigheidshalve eveneens in Bijlage II. De wijze waarop deze tabel moet worden toegepast, is geregeld in artikel 9. 

De Bijlagen I en II maken deel uit van de verordening 

Artikel 3 Belastbaar feit en heffingsplicht 

Lid 1 

De opbrengst van de zuiveringsheffing dient ter bestrijding van de kosten die zijn verbonden aan het zuiveren van stedelijk afvalwater. De zuiveringsheffing is daarmee primair een bestemmingsheffing. Het belastbare feit is afvoeren, dat wil zeggen het brengen van stoffen op een openbaar vuilwaterriool of op een ander passend systeem in beheer bij het waterschap (bijvoorbeeld een IBA-systeem).  

Lid 2 

De verontreinigingsheffing is verschuldigd wanneer stoffen in een oppervlaktewaterlichaam worden geloosd. Deze doelstelling is tot uitdrukking gebracht in het eerste lid van artikel 3. De opbrengst komt, zoals blijkt uit het vierde lid, ten goede aan de bekostiging van het beheer van het watersysteem. De verontreinigingsheffing is dus primair een bestemmingsheffing die overigens wel een regulerende nevenwerking kan hebben. 

Het belastbare feit is het lozen van stoffen, dat wil zeggen het direct brengen van stoffen in een oppervlaktewaterlichaam dat in beheer is bij het waterschap. De vraag of het afgevoerde water van slechtere kwaliteit is dan dat in het oppervlaktewaterlichaam waarop wordt geloosd, is niet van belang. Dit bleek uit een arrest waarbij het ging om de lozing van opgepompt bronwater dat werd gebruikt als koelwater (Hoge Raad 12 september 1990, BNB 1991/15, Belastingblad 1990, blz. 771). Dit ligt overigens anders als het gaat om ingenomen oppervlaktewater dat wordt gebruikt als koelwater en dat vervolgens weer wordt geloosd op oppervlaktewater (zie Bijlage 1, paragraaf 5). In dat geval wordt voor de berekening van de vervuilingswaarde uitsluitend de toegevoegde vervuiling in aanmerking genomen. Uit het arrest van de Hoge Raad van 13 maart 1996 (BNB 1996/205, Belastingblad 1996, blz. 335) blijkt overigens dat er geen wettelijke verplichting bestaat voor een dergelijke begunstigende regeling (zie ook Hoge Raad 18 maart 1998, nr. 33 186, Belastingblad 1998, blz. 386). 

Ook wordt de verontreinigingsheffing aangemerkt als een directe belasting. Dat is noodzakelijk voor de toepasselijkheid van de bepalingen inzake de ‘richtige heffing’ in hoofdstuk IV van de Algemene wet inzake rijksbelastingen.  

Lid 3 

Heffingplichtig zijn degenen die afvoeren of lozen. Dit afvoeren of lozen kan op verschillende wijzen plaatsvinden. Voor de omschrijving van de heffingsplicht wordt daarbij een koppeling gemaakt met het object van waaruit wordt afgevoerd of geloosd. Op basis van de feitelijke omstandigheden moet worden beoordeeld wie gebruiker van dat object is. 

Onderdeel a 

Vindt het afvoeren of lozen plaats vanuit een woonruimte of een bedrijfsruimte, dan is de gebruiker van die ruimte aan de heffing onderworpen.  

Het komt voor dat een woonruimte of een bedrijfsruimte in gebruik wordt gegeven, waarbij een van de voorwaarden luidt dat de belastingen, waaronder de zuiveringsheffing, worden gedragen door degene die de ruimte in gebruik geeft (bijvoorbeeld de verhuurder). Dergelijke overeenkomsten doen niet af aan de heffingsplicht: de gebruiker blijft heffingplichtig. Deze kan op grond van de huurovereenkomst zelf het bedrag van de aanslag terugvorderen bij degene die de ruimte in gebruikt geeft.  

De verhuurder is wél heffingplichtig als het gebruik van een woonruimte of een bedrijfsruimte erop is gericht om die voor korte perioden beschikbaar te stellen aan wisselende, opeenvolgende gebruikers (zie lid 3, onderdeel c). 

Gebruik van een woonruimte kan ook plaatsvinden zonder dat dat bewoning inhoudt. Bovendien is niet vereist is dat de betrokkene de ruimte ook daadwerkelijk gebruikt, de feitelijke beschikkingsmacht over de ruimte is afdoende (Hoge Raad 16 mei 2008, ECLI:NL:HR:2008:BB8342, BNB 2008/208). 

Onderdeel b 

Deze bepaling is oorspronkelijk ingevoerd nadat was gebleken dat (incidenteel) afvoeren of lozen vanuit een tankauto niet als afvoeren of lozen vanuit een bedrijfsruimte kon worden aangemerkt. Bovendien bleek in de praktijk het achterhalen van de identiteit van de achterliggende vervuiler niet altijd mogelijk te zijn, evenals het vaststellen van individuele vervuilingswaarden als de stoffen van meer dan één ruimte afkomstig zijn. Deze bepaling voorziet daarom bijvoorbeeld in de situatie waarin stoffen vanuit een tankauto  via een rioolput op het openbaar vuilwaterriool of op een oppervlaktewaterlichaam worden gebracht. In dit voorbeeld kan de vervoerder van de tankauto als degene die feitelijk afvoert respectievelijk loost in de heffing worden betrokken. Door de gekozen formulering zijn overigens niet alleen de afvoer of lozing vanuit tankauto’s aan de heffing onderworpen, maar ook alle andere denkbare wijzen van afvoeren of lozen anders dan vanuit een woonruimte of bedrijfsruimte. 

Lid 4 

Dit lid regelt de heffingsplicht in een aantal voorkomende situaties. 

In geval van een huishouden is het noodzakelijk dat de heffingsambtenaar beleidsregels opstelt op grond waarvan een van de leden als heffingplichtige kan worden aangewezen. Deze beleidsregels moeten worden gepubliceerd zodat ze kenbaar zijn voor de heffingplichtigen. Bij het ontbreken van dergelijke beleidsregels kan de keuze van het waterschap voor een van de gebruikers als willekeurig en onredelijk worden aangemerkt, wat tot vernietiging van de aanslag kan leiden. Dergelijke beleidsregels dienen daarom aan de ene kant de rechtszekerheid, maar aan de andere kant vooral ook doelmatige belastingheffing en -inning. Deze doelmatigheid mag alleen niet onnodig nadelige gevolgen hebben voor de aangewezen heffingplichtige, zo blijkt uit jurisprudentie. De heffingsambtenaar moet onderzoeken of er feiten en omstandigheden zijn die afwijking van de beleidsregels rechtvaardigen als de aangewezen heffingplichtige daar om verzoekt. In de beslissing op dat verzoek moet de heffingsambtenaar motiveren hoe het belang van de doelmatige belastingheffing is afgewogen tegen de door de heffingplichtige aangevoerde feiten, omstandigheden en negatieve gevolgen (Hof 's-Hertogenbosch 8 juni 2022, ECLI:NL:GHSHE:2022:1824, Belastingblad 2022, 354). 

Lid 5 

Dit lid is bedoeld om te voorkomen dat een beheerder van een openbaar vuilwaterriool (lees: de gemeente) aan een heffing wordt onderworpen voor stoffen die hijzelf niet op het openbaar vuilwaterriool heeft gebracht. Door de wijziging van de definitie afvoeren per 1 januari 2026 valt het brengen van stoffen op een zuiveringtechnisch werk niet meer onder het belastbaar feit van de zuiveringsheffing. Afvoeren beperkt zich vanaf 1 januari 2026 tot het brengen van stoffen op een openbaar vuilwaterriool (of een ander passend systeem). Dit lid ziet daarom alleen nog op de situatie waarin een beheerder van een openbaar vuilwaterriool stoffen brengt op een openbaar vuilwaterriool van een andere beheerder. 

Lid 6 

Het waterschap kan er om doelmatigheidsredenen voor kiezen om het afvoeren vanuit ruimten die het zelf in gebruik heeft, vrij te stellen van de zuiveringsheffing. Hoewel de Waterschapswet, anders dan de Waterwet, geen specifieke vrijstellingsbepaling kent voor het afvoeren door het waterschap zelf, kan een dergelijke vrijstellingsbepaling worden opgenomen op de voet van artikel 122l van de Waterschapswet. 

Lid 7  

In dit lid is een aantal wettelijk voorgeschreven vrijstellingen voor de verontreinigingsheffing opgenomen (zie artikel 7.8, eerste lid, van de Waterwet).  

Onderdeel a 

In de oorspronkelijke tekst van de Waterwet werden lozingen vanuit een openbaar vuilwaterriool vrijgesteld van de verontreinigingsheffing. Hierbij werd, blijkens de aan deze vrijstelling ten grondslag liggende motie (Kamerstukken II 2007/08, 30 818, nr. 33) gedoeld op overstorten vanuit het gemeentelijk rioolstelsel. 

Onderdeel b 

Een lozing vanuit een zuiveringtechnisch werk door het waterschap zelf op een eigen oppervlaktewaterlichaam is vrijgesteld van de heffing.  

Onderdeel c 

Het op een rioolwaterzuiveringsinstallatie van het waterschap gezuiverde afvalwater is onder omstandigheden goed bruikbaar voor bedrijfsmatige toepassingen, bijvoorbeeld het koelen van processen. Het is daarom denkbaar dat (een deel van) het effluent niet wordt geloosd, maar door een bedrijf wordt ingenomen. Als dat bedrijf het hergebruikte water weer loost en daar zelf geen stoffen aan heeft toegevoegd, dan is die lozing door het bedrijf vrijgesteld van de verontreinigingsheffing. Het is daarbij, evenals bij onderdeel b, voorwaarde dat het oppervlaktewaterlichaam bij hetzelfde waterschap in beheer is. Achtergrond van deze vrijstelling is dat de regionale zoetwatervoorziening daardoor niet wordt belast. 

Lid 8 

Het waterschap kan de opbrengst van de zuiveringsheffing ook besteden aan de bestedingsmogelijkheden als bedoeld in artikel 122d, vijfde lid, van de Waterschapswet. Meer informatie over de manier waarop de opbrengst van de zuiveringsheffing wordt besteed is terug te vinden in de begroting 2026 van het waterschap. 

Met hernieuwbare energie wordt bedoeld: energie uit hernieuwbare bronnen als bedoeld in artikel 2, onderdeel 1, van Richtlijn (EU) 2018/2001 van het Europees Parlement en de Raad van 11 december 2018 ter bevordering van het gebruik van energie uit hernieuwbare bronnen (PbEU 2018, L 328). 

Artikel 4 Grondslag en heffingsmaatstaf 

De grondslag van de heffingen is de hoeveelheid en hoedanigheid van de stoffen die in een kalenderjaar worden afgevoerd of geloosd. De heffingsmaatstaf is voor zowel zuurstofbindende als niet-zuurstofbindende stoffen (zouten en zware metalen) de vervuilingswaarde uitgedrukt in vervuilingseenheden.  

Bij zuurstofbindende stoffen gaat het om de hoeveelheid zuurstof die nodig is om die stoffen af te breken. Die hoeveelheid wordt bepaald op de som van het chemisch zuurstofverbruik door omzetting van de hoeveelheid totaal organisch koolstof in de stoffen en het zuurstofverbruik door omzetting van de hoeveelheid totaal stikstof verminderd met de som van nitriet-stikstof en nitraat-stikstof in de stoffen. Daarbij is één vervuilingseenheid de zuurstofbehoefte die ontstaat door de gemiddelde afvoer of lozing van huishoudelijk afvalwater van één persoon per jaar. 

Het waterschap heeft de keuze om de niet-zuurstofbindende stoffen (zoals chloride, arseen en chloor) niet in de zuiveringsheffing en de verontreinigingsheffing te betrekken. Daartoe dient op grond van artikel 122f, derde lid, aanhef en onderdeel b, onder 1, van de Waterschapswet een afzonderlijke bepaling in de verordening te worden opgenomen. Het vijfde lid voorziet daarin. 

Artikel 5 Afwijkende verhouding chemisch zuurstofverbruik en totaal organisch koolstof 

De basis voor het bepalen van de vervuilingswaarde van zuurstofbindende stoffen blijft ook na 1 januari 2026 het zuurstofverbruik. Het zuurstofverbruik wordt alleen met een andere heffingsformule berekend. In deze nieuwe heffingsformule wordt de parameter chemisch zuurstofverbruik (CZV) vervangen door totaal organisch koolstof (TOC). Omdat CZV als maatstaf voor de vervuiling het beste aansluit op de processen in een rioolwaterzuiveringsinstallatie en de belasting van zuurstofverbruik op het oppervlaktewater, wordt TOC in de nieuwe heffingsformule omgerekend naar CZV. Daarvoor wordt een omrekenfactor gebruikt. Tussen CZV en TOC bestaat een theoretische verhouding die stofafhankelijk is. Voor mengsels van verschillende stoffen zoals afvalwater is deze verhouding afhankelijk van de samenstelling van het mengsel. Voor huishoudelijk afvalwater bedraagt de verhouding CZV/TOC 3. Uit onderzoeken blijkt dat deze verhouding overeenkomt met de gemiddelde verhouding CZV/TOC voor bedrijfsafvalwater. Voor het omrekenen van TOC naar CZV wordt daarom factor 3 gebruikt.  

Voor bepaalde typen afvalwater van bedrijven is de verhouding tussen CZV en TOC niet 3. Er zijn zowel bedrijven waarbij de omrekenfactor lager is als bedrijven waarbij deze hoger is. Wanneer in de heffingsformule factor 3 zou worden toegepast dan zou dit leiden tot een te hoge of te lage heffing. In die gevallen kan op basis van dit artikel worden afgeweken. Hiervoor moet worden aangetoond dat de werkelijke verhouding tussen CZV en TOC van het afvalwater van een bedrijfsruimte groter of kleiner is. De afwijking naar boven zal aangetoond moeten worden door de heffingsambtenaar en de afwijking naar beneden door de heffingplichtige. Deze constructie wordt momenteel ook gehanteerd bij de hoedanigheidscorrectie (zie artikel 8). Maar daar gaat het alleen om een mogelijkheid tot afwijken naar beneden. De afwijkmogelijkheid in artikel 5 betekent dat de heffingsmaatstaf niet alleen naar beneden maar ook naar boven kan worden bijgesteld.  

Als van de heffingsformule wordt afgeweken omdat de verhouding tussen CZV en TOC lager blijkt te zijn dan 2,5 of hoger dan 3,5 zal geen volledige correctie plaatsvinden. De vastgestelde werkelijke verhouding zal worden gedeeld door 2,5 onderscheidenlijk 3,5 en vermenigvuldigd met 3. Een bedrijfsruimte waarbij de verhouding bijvoorbeeld 2,3 is wordt dan als volgt gecorrigeerd (2,3/2,5)*3=2,76. Als voorbeeld voor de correctie naar boven: een bedrijfsruimte waarbij de verhouding 3,8 is corrigeren naar (3,8/3,5)*3=3,25. 

Dit voorkomt dat een bedrijfsruimte met een verhouding van 2,6 helemaal niet, en een bedrijfsruimte met een verhouding van 2,3, volledig wordt gecorrigeerd. Waarmee er ook minder aanleiding is voor geschillen. Daarnaast geeft het minder onzekerheden over de opbrengst van de heffing (het financiële belang van de neerwaartse en opwaartse correcties neemt immers sterk af). 

Artikel 6 Meting, bemonstering en analyse 

In dit artikel is de hoofdregel opgenomen voor het vaststellen van de vervuilingswaarde van de stoffen die worden afgevoerd of geloosd. 

Lid 1 

Het spreekt voor zich dat de vervuilingswaarde zo nauwkeurig mogelijk wordt vastgesteld. Maar niet tegen elke prijs. De kosten om de vervuilingswaarde te kunnen vaststellen moeten in redelijke verhouding staan tot de verschuldigde heffing. Hiervan is in elk geval sprake als de kosten 40% van de verschuldigde heffing bedragen (Hof Den Haag 16 maart 1988, ECLI:NL:GHSGR:1988:BI9592, Belastingblad 1988, blz. 626). 

Lid 5 

De beslissing op aanvraag als bedoeld in het vijfde lid wordt bij een voor bezwaar vatbare beschikking genomen. Hiertegen staat de reguliere fiscale rechtsgang van bezwaar en beroep open. Een belangrijk aandachtspunt daarbij is wel dat wanneer de heffingplichtige zich niet kan verenigen met de beschikking en gebruik maakt van de hem ter beschikking staande rechtsmiddelen, de voorschriften in die beschikking wel moeten worden nageleefd. Dit om te voorkomen dat wanneer de heffingplichtige in het ongelijk is gesteld en de beschikking onherroepelijk vaststaat, hij over onvoldoende gegevens beschikt om de vereiste aangifte te kunnen doen. De heffingsambtenaar zal in dat geval de aanslag immers geheel of gedeeltelijk op basis van schatting vaststellen (zie artikel 15) en de heffingplichtige kan vervolgens bij het betwisten van die schatting onvoldoende of geen tegenbewijs leveren.  

Artikel 7 Beperkte meting, bemonstering en analyse 

In veel gevallen kan worden volstaan met een lagere frequentie dan ieder etmaal meten, bemonsteren en analyseren, zonder al te veel afbreuk te doen aan de nauwkeurigheid van het eindresultaat. Het spreekt voor zich dat een lagere frequentie zich vertaalt in lagere kosten voor de heffingplichtige. De heffingplichtige die aannemelijk weet te maken dat met een lagere frequentie kan worden volstaan, kan daar met een aanvraag bij de heffingsambtenaar toestemming voor vragen. Ook op deze aanvraag wordt beslist bij voor bezwaar vatbare beschikking, waartegen de fiscale rechtsgang open staat. Hierbij geldt ook dat de voorschriften moeten worden nageleefd als de heffingplichtige zich niet kan verenigen met de beschikking en zolang deze nog niet onherroepelijk vaststaat. 

In dit kader zijn ook van belang de model–meetbeschikking (brief van de Unie van Waterschappen aan de leden–waterschappen van 28 oktober 1994, kenmerk 942196 AJBZ/EK, Belastingblad 1994, blz. 802) en de richtlijnen in het ‘Rapport bepaling meetfrequentie ter vaststelling van de vervuilingswaarde van afvalwater’ van de Commissie Integraal Waterbeheer van augustus 1998. 

Artikel 8 Hoedanigheidscorrectie 

Bij het bepalen van het chemisch zuurstofverbruik door omzetting van de totale hoeveelheid organische koolstof in de stoffen (TOC) kan in de uitkomst ook zuurstofverbruik tot uitdrukking komen van stoffen die in het natuurlijk milieu niet of nagenoeg niet afbreekbaar zijn. Op grond van jurisprudentie komt “nagenoeg niet” overeen met een percentage van niet meer dan 10%. Wanneer het gevonden zuurstofverbruik van dergelijke stoffen TOC in belangrijke mate beïnvloedt, dan wordt het gevonden zuurstofverbruik gecorrigeerd. In de jurisprudentie staat “in belangrijke mate” voor ten minste 25%. De correctie die dan plaatsvindt, wordt als T-correctie geduid. 

Dit artikel voorziet erin dat de voorschriften die het waterschap over de T–correctie stelt, bekend zijn voor de heffingplichtige (zie ook Bijlage 1, onderdeel D). De berekening van de T-correctie vindt plaats zoals voorgeschreven in paragraaf D.3. De frequentie waarin het onderzoek (paragraaf D.2) naar de T-correctie moet plaatsvinden is in beginsel gelijk aan de frequentie die geldt voor de meting, bemonstering en analyse overeenkomstig artikel 6 of 7. Dit betekent dat het onderzoek ieder etmaal van het heffingsjaar respectievelijk in een beperkt aantal etmalen moet plaatsvinden. Een afwijkende frequentie is mogelijk en kan worden bepaald op de wijze zoals voorgeschreven in paragraaf D.4. 

Daarnaast is in het artikel bepaald dat de heffingplichtige voor toepassing van de T–correctie een aanvraag moet indienen. Deze aanvraag kan in hetzelfde geschrift worden verenigd als de aanvraag bedoeld in artikel 6, vijfde lid, onderdelen a en b en artikel 7, eerste lid. De heffingsambtenaar beslist bij een voor bezwaar vatbare beschikking. Dit opent voor de heffingplichtige in voorkomende gevallen de volledige fiscale rechtsgang. Hiermee is deze procedure uit het oogpunt van de rechtsbescherming van de heffingplichtige met voldoende waarborgen omkleed. Ook is voorgeschreven welke elementen de bedoelde beschikking minimaal dient te bevatten. 

Artikel 9 Tabel afvalwatercoëfficiënten 

Dit artikel voorziet in een uitzondering op de hoofdregel als bedoeld in artikel 6. Voor de toepassing van dit artikel geldt als voorwaarde dat er een relatie moet zijn tussen de vervuilingswaarde van het afvalwater en de hoeveelheid ingenomen water. De heffingplichtige moet daarom aannemelijk maken dat de vervuilingswaarde omgerekend naar een vervuilingswaarde per m3 ingenomen water in zekere mate constant is. Daarnaast kan dit artikel in beginsel alleen toegepast worden als de vervuilingswaarde niet hoger is dan 1.000 vervuilingseenheden. Meting, bemonstering en analyse van afvalwater kan onder deze voorwaarden achterwege blijven. Bij zogenoemde ‘tabelbedrijven’ wordt het aantal vervuilingseenheden voor het zuurstofverbruik berekend met behulp van de tabel afvalwatercoëfficiënten. Deze tabel is opgenomen in Bijlage 2 en kent vijftien klassen met elk een afvalwatercoëfficiënt. 

De toepassing van de tabel afvalwatercoëfficiënten wordt uitgebreid beschreven in de Handleiding tabel afvalwatercoëfficiënten die op 27 november 2024 is vastgesteld door de Werkgroep Waterheffingen. 

Lid 3 

Vaak is de feitelijk in het heffingsjaar ingenomen hoeveelheid water niet direct vast te stellen, omdat de verbruiksperiode waarover het drinkwaterbedrijf afrekent, niet gelijk is aan het kalenderjaar. Ook kan er sprake zijn van een andere tariefstructuur dan gemeten waterverbruik. In dergelijke gevallen worden de beschikbare gegevens herleid tot verbruiken over het kalenderjaar. De manier waarop dit gebeurt, liggen vast in beleidsregels van het waterschap. 

Lid 4 

Het Besluit vervuilingswaarde ingenomen water 2009 is per 1 januari 2026 gewijzigd. Bestaande bedrijven die vóór 1 januari 2026 de afvalwatercoëfficiënt behorende bij klasse 8 hadden, blijven deze behouden. Voor bestaande bedrijven met een andere afvalwatercoëfficiënt wordt een nieuwe individuele afvalwatercoëfficiënt vastgesteld door de heffingsambtenaar. De heffingsambtenaar heeft daar ten hoogste tien jaar de tijd voor. De voorwaarden voor het bepalen van de individuele afvalwatercoëfficiënt staan in het Besluit vervuilingswaarde ingenomen water 2009. Totdat de individuele afvalwatercoëfficiënt is vastgesteld behouden deze bedrijven hun afvalwatercoëfficiënt.  

Voor nieuwe heffingplichtigen geldt in beginsel de afvalwatercoëfficiënt behorende bij klasse 8. Uit onderzoek op initiatief van zowel de heffingplichtige als de heffingsambtenaar kan blijken dat de bedrijfsruimte of een onderdeel daarvan in een andere klasse moet worden ingedeeld. De voorwaarden daarvoor staan eveneens in het Besluit vervuilingswaarde ingenomen water 2009.  

Naast de binnen het heffingsjaar verrichte onderzoeken kan ook een onderzoek dat buiten het heffingsjaar verricht is representatief zijn voor de vervuilingswaarde die het afvalwater had in de overeenkomstige periode in het heffingsjaar (Hoge Raad 12 september 2014, ECLI:NL:HR:2014:2658, BNB 2014/228). 

Lid 5 

De tabel kan ook worden toegepast bij vervuilingswaarden van 1.000 vervuilingseenheden en meer. Voorwaarde is dan wel dat dit niet leidt tot een vervuilingswaarde die lager is dan de vervuilingswaarde die wordt bepaald op basis van meting, bemonstering en analyse. 

Lid 6 

Voor een juiste toepassing van de tabel is van belang dat wijzigingen in de bedrijfsomstandigheden, die mogelijk van invloed zijn op de vervuilingswaarde per m3 ingenomen water, direct worden gemeld aan heffingsambtenaar. De in een beschikking als bedoeld in artikel 5, zesde lid, van het Besluit vervuilingswaarde ingenomen water 2009 gegeven voorschriften zijn hierbij van toepassing. De heffingsambtenaar kan in de veranderingen aanleiding zien om artikel 5 van het Besluit vervuilingswaarde ingenomen water 2009 ambtshalve toe te passen. 

Artikel 10 Vervuilingswaarde tuinbouwkassen 

Uit onderzoek naar een afvalwatercoëfficiënt voor glastuinbouwbedrijven is gebleken dat de vervuilingswaarde van tuinbouwkassen geen relatie heeft met de hoeveelheid ingenomen water. Bepaling van de vervuilingswaarde op basis van meting, bemonstering en analyse bleek gezien de relatief hoge perceptiekosten ook geen reële mogelijkheid. In verband daarmee is voor tuinbouwkassen een zogenoemd forfait opgenomen op basis van oppervlakte. Het forfait is ook van toepassing als gedurende een bepaalde periode in het kalenderjaar geen medewerkers in de kas aanwezig zijn en geen gebruik wordt gemaakt van sanitaire voorzieningen (Rb. Rotterdam 16 oktober 2019, ECLI:NL:RBROT:2019:8100). 

Artikel 11 Totale vervuilingswaarde bedrijfsruimte 

Dit artikel voorziet in de totalisering van het bij de artikelen 6 tot en met 10 berekende aantal vervuilingseenheden voor een bedrijfsruimte. Een dergelijke totalisering is onder meer van belang als binnen één bedrijfsruimte: 

voor de verschillende onderdelen van die bedrijfsruimte afzonderlijke meting, bemonstering en analyse plaatsvindt; 

voor de verschillende onderdelen van die bedrijfsruimte afzonderlijke afvalwatercoëfficiënten van toepassing zijn; 

voor een onderdeel van die bedrijfsruimte wordt gemeten, bemonsterd en geanalyseerd en voor een ander onderdeel van die bedrijfsruimte een afvalwatercoëfficiënt van toepassing is; 

naast zuurstofbindende stoffen eveneens niet–zuurstofbindende stoffen worden afgevoerd die in de heffing worden betrokken (na aftrek van de heffingsvrije grens van niet–zuurstofbindende stoffen). 

Bij het optellen van de verschillende uitkomsten moet worden uitgegaan van niet-afgeronde waarden. De totale vervuilingswaarde kan wel worden afgerond op hele getallen of op een aantal decimalen. De afronding moet wel altijd in het voordeel van de heffingplichtige zijn. Afhankelijk van het aantal decimalen wordt 7,94 uiteindelijk als 7,9 of 7 vermeld op de aanslag en 20,49 als 20,4 of 20. 

Als de totale vervuilingswaarde kleiner is dan 5 vervuilingseenheden, wordt de vervuilingswaarde bepaald op de wijze zoals voorgeschreven in artikel 12.  

Artikel 12 Vervuilingswaarde kleine bedrijfsruimten 

Dit artikel regelt op welke wijze het aantal vervuilingseenheden wordt bepaald van bedrijfsruimten waarbij de afgevoerde of geloosde stoffen een beperkte vervuilingswaarde (minder dan 5 vervuilingseenheden) hebben. In het eerste lid is een forfait opgenomen om te voorkomen dat een groot aantal heffingplichtigen kostbaar onderzoek moeten doen naar de vervuilingswaarde van het afvalwater. 

Hoewel de heffingen tijdvakbelastingen zijn, wordt voor bedrijfsruimten met een vervuilingswaarde van minder dan vijf vervuilingseenheden in veel gevallen al aan het begin van het heffingsjaar een heffing voor 3 vervuilingseenheden opgelegd. Maar na afloop van het heffingsjaar kan blijken dat de vervuilingswaarde 1 vervuilingseenheid of minder bedraagt. De verordening voorziet daarom in het derde lid op basis van artikel 132 van de Waterschapswet in een deugdelijke regeling voor vermindering. De beslissing op de aanvraag als bedoeld in het derde lid is voor bezwaar vatbaar. Dit opent voor de heffingplichtige in voorkomende gevallen de volledige fiscale rechtsgang. Hiermee is deze procedure uit het oogpunt van de rechtsbescherming van de heffingplichtige met voldoende waarborgen omkleed. 

Volgens het tweede lid is de heffing verschuldigd bij het begin van het heffingsjaar of, wanneer de heffingsplicht later begint, op het moment dat de heffingsplicht begint. Dit laatste speelt bij een opvolgende heffingplichtige en betekent dat in een jaar de heffingsplicht zowel ontstaat voor de oorspronkelijke heffingplichtige als voor elke opvolgende heffingplichtige. De heffing is steeds minimaal 1 vervuilingseenheid. Dit kan ertoe leiden dat in één jaar bij opvolgende heffingplichtigen wordt geheven. Er wordt niet verrekend naar tijdseenheid.  

Artikel 13 Vervuilingswaarde woonruimten 

Dit artikel regelt op welke wijze het aantal vervuilingseenheden van woonruimten wordt bepaald. In het eerste lid is het zogenoemde woonruimteforfait opgenomen (artikel 122h, eerste lid, van de Waterschapswet).  

Gebruik van een woonruimte kan ook plaatsvinden zonder dat dat bewoning inhoudt. De opvatting dat het lage forfaitaire tarief van 1 vervuilingseenheid slechts van toepassing is in geval van bewoning van een woonruimte door 1 persoon, is derhalve onjuist (Hoge Raad 16 mei 2008, ECLI:NL:HR:2008:BB8342, BNB 2008/208). 

Een uitzondering op deze hoofdregel voor recreatiewoningen is opgenomen in het tweede lid. Wie eigenaar is van de recreatiewoning is voor de toepassing van deze uitzondering niet van belang (Hof ‘s-Hertogenbosch 29 juni 2018, ECLI:NL:GHSHE:2018:2787). 

Hoewel de heffingen in beginsel tijdvakheffingen zijn, wordt in het derde lid bepaald dat de heffing van woonruimten een tijdstipkarakter heeft. De situatie op 1 januari of bij het begin van de heffingsplicht is bepalend voor de hoogte van de heffing. Als na deze datum het type huishouden wijzigt van een meerpersoonshuishouden naar een eenpersoonshuishouden dan wordt de heffing naar tijdsevenredigheid verminderd zoals bepaald in het derde lid. Andersom niet. 

Omdat de heffing van een woonruimte meestal al aan het begin van het heffingsjaar wordt opgelegd, voorziet de verordening op basis van artikel 132 van de Waterschapswet in een regeling waardoor aanspraak op vermindering (vierde lid) en ontheffing (achtste lid) kan worden gemaakt. De beslissing op de aanvraag als bedoeld in het vierde en het achtste lid is voor bezwaar vatbaar. Dit opent voor de heffingplichtige in voorkomende gevallen de volledige fiscale rechtsgang. Hiermee is deze procedure uit het oogpunt van de rechtsbescherming van de heffingplichtige met voldoende waarborgen omkleed.  

Wanneer de heffingplichtige verhuist naar een andere woonruimte van waaruit eveneens wordt afgevoerd of geloosd, zijn zowel het zesde als het zevende lid van toepassing. Er kan immers worden gesteld dat ook in dat geval sprake is van het eindigen van de heffingsplicht en het opnieuw ontstaan van de heffingsplicht. Dit zou resulteren in een vermindering van een al opgelegde, en mogelijk zelfs al betaalde, aanslag voor de oude woonruimte en een nieuwe aanslag voor de nieuwe woonruimte. Om pragmatische redenen is in het negende lid bepaald dat in een dergelijk geval het zesde en het zevende lid niet van toepassing zijn. De aanslag verhuist als het ware mee. Uiteraard gaat dit niet op wanneer vanuit de nieuwe woonruimte stoffen op een oppervlaktewaterlichaam in beheer bij het waterschap dan wel een openbaar vuilwaterriool worden gebracht: dan is respectievelijk verontreinigingsheffing dan wel zuiveringsheffing verschuldigd. 

Artikel 14 Schatting 

Dit artikel regelt de bevoegdheid van de heffingsambtenaar om het aantal vervuilingseenheden in een kalenderjaar geheel of gedeeltelijk te schatten. De onderdelen a, b en c zijn ontleend aan artikel 122j van de Waterschapswet. In laatstgenoemde artikel ontbreekt een bepaling voor de omstandigheid dat de heffingplichtige de afgegeven meetbeschikking niet heeft nageleefd. Omdat ook in dit geval de aanslag op basis van schatting zal moeten worden bepaald, is dit aanvullend in onderdeel d geregeld. 

Dit artikel is ook een vangnetbepaling voor het afvoeren of lozen waarvoor in de verordening geen bijzondere regels zijn opgenomen en waarbij de hoofdregel van artikel 5 niet kan worden toegepast. 

Overigens sluit dit artikel niet uit dat er ook andere omstandigheden kunnen zijn op grond waarvan schatting kan plaatsvinden. 

Artikel 15 Tarief 

Dit artikel regelt het tarief per vervuilingseenheid dat is ontleend aan de begroting die is vastgesteld door het algemeen bestuur van het waterschap. 

Artikel 16 Wijze van heffing 

Dit artikel regelt op welke wijze de te betalen heffing wordt bekendgemaakt aan de belastingplichtige. Waterschapsbelastingen kunnen worden geheven bij wege van aanslag, bij wege van voldoening op aangifte of op andere wijze, doch niet bij wege van afdracht op aangifte (artikel 125 van de Waterschapswet). Het gaat hier om drie verschillende heffingstechnieken. Het hangt van de aard en de complexiteit van de belasting af, welke van deze drie technieken het meest doelmatig is. Verder kunnen overwegingen uit het oogpunt van perceptiekosten of op grond van het beginsel dat de heffing voor de belastingplichtige met de minste pijn moet plaatsvinden, bepalend zijn voor de keuze van de te hanteren techniek. Alle waterschappen heffen de heffingen bij wege van aanslag, waardoor geen keuzemogelijkheid is opgenomen in dit artikel. Op grond van het tweede lid is het mogelijk meerdere aanslagen op één aanslagbiljet te verenigen. Vooral dient hierbij te worden gedacht aan de combinatie van de ingezetenenheffing, de zuiveringsheffing en de omslag gebouwd voor woonruimten. 

Artikel 17 Betaaltermijnen 

Dit artikel regelt wanneer de aanslag als bedoeld in artikel 16 uiterlijk moet worden betaald. De betaaltermijn van de bestuurlijke boete is in het tweede lid opgenomen. Het ligt voor de hand de betaaltermijnen voor de aanslag en de bestuurlijke boete aan elkaar gelijk te stellen, omdat die op één aanslagbiljet worden samengevoegd. 

Het derde lid voorziet in afwijkende betaaltermijnen als de heffingplichtige een machtiging voor automatische incasso heeft afgegeven. 

Artikel 18 Aangifte 

Dit artikel regelt dat wordt afgeweken van de regels als bedoeld in artikel 127, eerste en tweede lid, van de Waterschapswet. Van deze regels wordt afgeweken om belastingplichtigen de mogelijkheid te bieden om via elektronische weg aangifte te doen. 

Artikel 19 Kwijtschelding voor woonruimten 

In bepaalde gevallen kan een heffingsplichtige in aanmerking komen voor gehele of gedeeltelijke 

kwijtschelding van de woningaanslag zuiveringsheffing. Het waterschap hanteert hierbij een 

kwijtscheldingsnorm van 100%. 

Artikel 20 Nadere regels 

In verband met de inwerkingtreding van de derde tranche van de Algemene wet bestuursrecht (Stb. 1996, 333) en de daarop gebaseerde aanpassingswetgeving (Stb. 1997, 510 en 580) komen de bevoegdheden die in de Algemene wet inzake rijksbelastingen en de Invorderingswet zijn toebedeeld aan de Minister van Financiën vanaf 1 januari 1998 toe aan het dagelijks bestuur van het waterschap (zie artikel 123, derde lid, onderdeel a, van de Waterschapswet). Voor die datum kwamen deze formele belastingbevoegdheden toe aan het algemeen bestuur van het waterschap. Het betreft het stellen van nadere regels ten aanzien van de volgende bevoegdheden: 

– de verplichting te verzoeken om uitreiking van een aangiftebiljet; 

– de mogelijkheid een voorlopige aanslag op te leggen; 

– het berekenen van invorderingsrente. 

De bovenstaande bevoegdheden waren voor 1 januari 1998 expliciet in de belastingverordening geregeld. Artikel 20 is thans in de verordening opgenomen om expliciet aan de heffingplichtige kenbaar te maken dat ook het dagelijks bestuur regels kan stellen met betrekking tot de heffing en de invordering van de zuiveringsheffing en de verontreinigingsheffing. 

Artikel 21 Strafbare feiten 

Artikel 136 van de Waterschapswet biedt waterschappen de mogelijkheid om in de belastingverordening overtredingen te benoemen, waar maximaal een geldboete in de tweede categorie voor kan worden opgelegd. Deze mogelijkheid bestaat naast de mogelijkheid om een bestuurlijke boete op te leggen op de voet van hoofdstuk VIIIA van de Algemene wet inzake rijksbelastingen. Op grond van het una via-beginsel kunnen deze mogelijkheden niet gelijktijdig worden toegepast. De keuze voor strafrechtelijke vervolging sluit het opleggen van een bestuurlijke boete uit en vice versa, zie hiervoor artikel 5:44 van de Algemene wet bestuursrecht en artikel 243 van het Wetboek van Strafvordering. 

Dit artikel regelt welke overtredingen van in deze verordening voorkomende bepalingen worden aangemerkt als strafbaar feit. De geldboete die voor dit strafbaar feit ten hoogste kan worden opgelegd, is gelijk aan het bedrag van de tweede categorie zoals bepaald in artikel 23, vierde lid, van het Wetboek van Strafrecht. 

In onderdeel a zijn de volgende overtredingen als strafbaar feit aangemerkt:  

Het niet direct bij de heffingsambtenaar melden van veranderingen in de bedrijfsomstandigheden die aanleiding kunnen zijn tot een wijziging in de verhouding tussen het chemisch zuurstofverbruik en het gehalte totaal organisch koolstof in de afgevoerde stoffen in het kalenderjaar (artikel 5, zesde lid). 

Het niet ter kennis van de heffingsambtenaar brengen van de wijze van meting en bemonstering met een beschrijving van de daarvoor te gebruiken apparatuur (artikel 6, vierde lid). 

Het niet direct bij de heffingsambtenaar melden van veranderingen in de bedrijfsomstandigheden die aanleiding kunnen geven tot een wijziging in de vervuilingswaarde per m3 ingenomen water (artikel 9, zesde lid). 

In onderdeel b wordt verwezen naar de in Bijlage 1, onderdelen A en B, opgenomen voorschriften. Het niet voldoen aan deze voorschriften is een strafbaar feit, tenzij de heffingsambtenaar heeft besloten dat meting, bemonstering en analyse (kunnen) plaatsvinden in afwijking van deze voorschriften. Hierbij kan gedacht worden aan de volgende overtredingen: 

De debietmeter is meer dan een jaar niet geverifieerd, noch heeft in die periode een kalibratie plaatsgevonden (paragraaf A.2.3). 

De debietmeter is meer dan drie jaar niet in ingebouwde toestand gekalibreerd (paragraaf A.2.5). 

De bemonstering vindt niet volgens NEN 6600-1:2019 nl plaats (paragraaf A.3). 

De monsterbehandeling vindt niet volgens NEN 6600-1:2019 nl plaats (paragraaf A.4.1). 

De analyse van het monster vindt niet op de wijze plaats zoals die is aangegeven in tabel B (paragraaf B.2).> 

De opsporing van de in dit artikel bepaalde strafbare feiten vindt volgens het Besluit buitengewoon opsporingsambtenaar Unie van Waterschappen 2024 plaats door de personen, werkzaam in de functie van waterschapscontroleur in dienst van een waterschap, die zijn aangewezen als buitengewoon opsporingsambtenaar. De buitengewoon opsporingsambtenaar vermeldt in zijn processen-verbaal en schriftelijke verslagleggingen het domein II, Milieu, welzijn en infrastructuur, zoals opgenomen in de bijlage bij de Regeling domeinlijsten buitengewoon opsporingsambtenaar. Het proces-verbaal zal vervolgens worden toegezonden aan het Openbaar Ministerie die na beoordeling van het verbaal besluit tot het instellen van vervolging (of niet). 

Artikel 22 Intrekken oude verordening 

Dit artikel regelt dat de oude verordeningen worden ingetrokken met ingang van de datum van ingang van de heffing zoals bepaald in artikel 22, tweede lid. De oude verordeningen blijven gelden voor de belastbare feiten die zich voor die datum hebben voorgedaan. Voor die feiten kunnen dus nog aanslagen worden opgelegd op basis van de oude verordeningen. 

Artikel 23 Inwerkingtreding en citeertitel 

Dit artikel regelt de inwerkingtreding van deze verordening, de ingangsdatum van de heffing, op welke wijze de in Bijlage 1 genoemde normbladen bekendgemaakt worden en hoe de verordening kan worden aangehaald. 

De regels in deze verordening zijn pas bindend als de verordening op de juiste wijze is bekendgemaakt. De bekendmaking van de verordening vindt plaats in het Waterschapsblad dat elektronisch op een algemeen toegankelijke wijze wordt uitgegeven via Overheid.nl (artikel 2, achtste lid, van de Bekendmakingswet). De normen als bedoeld in Bijlage 1 worden kosteloos beschikbaar gesteld op de in het derde lid genoemde locatie (artikel 14a, tweede en derde lid, van de Bekendmakingswet). 

Het tijdstip van ingang van de heffing kan samenvallen met het tijdstip van inwerkingtreding van de verordening, maar dit is niet noodzakelijk. De ingangsdatum van de heffing is essentieel, omdat daarmee duidelijk wordt op welk moment de nieuwe financiële verplichtingen gelden die aan inwoners en bedrijven worden opgelegd.