Beleidsregels Inkomen en handhaving Participatiewet Hoeksche Waard 2026

Geldend van 01-01-2026 t/m heden

Intitulé

Beleidsregels Inkomen en handhaving Participatiewet Hoeksche Waard 2026

Het college van de gemeente Hoeksche Waard;

gelet op het bepaalde in de Participatiewet in Balans, de IOAW en de IOAZ;

Overwegende dat het vaststellen van beleidsregels bijdraagt aan uniformiteit daar waar het kan en maatwerk daar waar nodig;

Gelezen het advies van Adviesraad Sociaal Domein Hoeksche Waard;

Besluit vast te stellen de:

Beleidsregels Inkomen en handhaving Participatiewet Hoeksche Waard 2026

Inhoudsopgave

Hoofdstuk 1.Algemene bepalingen

Artikel 1. Begripsbepalingen

Artikel 2. Niet nader omschreven begrippen

Artikel 3. Maatwerk

Hoofdstuk 2.Kostendelers, commerciële huurprijs en ontbreken van woonlasten

Artikel 1. Geen kostendeler

Artikel 2. Voorwaarden voor een commerciële overeenkomst

Artikel 3. Commerciële prijs

Artikel 4. Verlaging bijstand bij inkomsten uit verhuur of kostgeverschap

Artikel 5. Verlaging bijstand bij het (gedeeltelijk) ontbreken van woonlasten

Hoofdstuk 3.Maatwerk bij aanvraag levensonderhoud

Artikel 1. Afwijken van 4-weken zoektermijn jongeren

Artikel 2. Bijstand met terugwerkende kracht

Hoofdstuk 4.Vrijlating van inkomsten, giften en kostenbesparingen

Artikel 1. Toekenning inkomstenvrijlating

Artikel 2. Voorwaarden inkomstenvrijlating

Artikel 3. Ingangsdatum inkomstenvrijlating

Artikel 4. Meldplicht bij giften en kostenbesparingen

Artikel 5. Vrijlating bij giften en kostenbesparingen

Hoofdstuk 5.Krediethypotheek en pandrecht

Artikel 1. Overwaarde in eigen woning

Artikel 2. Krediethypotheek en geldlening

Artikel 3. De hoogte van de geldlening

Artikel 4. Medewerkingsverplichting

Artikel 5. Voorwaarden in hypotheekakte c.q. pand- of geldleningsovereenkomst

Artikel 6. Aflossingsvoorwaarden geldlening, hypotheek c.q. pand

Artikel 7. Rentevordering

Artikel 8. Opeisbaarheid van de lening

Artikel 9. Verkoop van de woning

Artikel 10. Echtscheiding

Artikel 11. Herleving krediethypotheek of pandrecht bij hernieuwde bijstandsaanvraag

Artikel 12. Jaarlijkse opgave restantschuld en rentevorderingen

Hoofdstuk 6.Handhaving

Artikel 1. Hoogwaardig handhaven

Artikel 2. Toegang

Artikel 3. Vroegtijdig informeren

Artikel 4. Optimaliseren dienstverlening

Artikel 5. Controle op maat

Artikel 6. Thema controles

Hoofdstuk 7.Overige bepalingen en inwerkingtreding

Artikel 1. Hardheidsclausule

Artikel 2. Overgangsrecht

Artikel 3. Inwerkingtreding en citeerartikel

Hoofdstuk 1 - Algemene bepalingen

Artikel 1 - Begripsomschrijvingen

In deze beleidsregels wordt verstaan onder:

  • 1.

    Bijstand: algemene bijstand op grond van de Participatiewet (PW), een uitkering op grond van de Wet inkomensvoorziening oudere en gedeeltelijk arbeidsongeschikte werkloze werknemers (lOAW) of een uitkering op grond van de Wet inkomensvoorziening oudere en gedeeltelijk arbeidsongeschikte gewezen zelfstandigen (lOAZ).

  • 2.

    College: het college van burgemeester en wethouders van gemeente Hoeksche Waard.

  • 3.

    Gift en kostenbesparing: een herleidbaar geldbedrag, een verstrekking in natura of een andere ontvangst die onverplicht door de inwoner wordt ontvangen als bedoeld in artikel 31 lid 2, onderdeel m en s van de PW.

  • 4.

    Inkomstenvrijlating: de inkomstenvrijlating als bedoeld in artikel 31, lid 2 onderdeel n, r, y, z en aa van de PW, artikel 8, lid 2, 5, 7, 9 en 10 van de IOAW en artikel 8, lid 3, 9, 11, 13 en 14 van de IOAZ.

  • 5.

    Inwoner: persoon die woont of gewoond heeft in de Hoeksche Waard en belanghebbende is of was op grond van deze beleidsregels.

  • 6.

    Kostganger: iemand die betaalt om in een deel van een woning te wonen. De eigenaar of huurder van de woning woont daar zelf ook. Ze zijn geen partners en geen familie van elkaar (niet ouder, kind, broer of zus). Een kostganger krijgt naast woonruimte ook extra hulp, zoals maaltijden of schoonmaak van de kamer.

  • 7.

    Kostgeverschap: een situatie waarin iemand een deel van zijn woning verhuurt aan een ander. De verhuurder woont zelf ook in de woning. In de huurprijs zitten extra diensten, zoals maaltijden of schoonmaak, inbegrepen.

  • 8.

    Krediethypotheek: een zekerheidsrecht te vestigen op een registergoed, waarbij de waarde als zekerheid dient voor het terugbetalen van een lening met rente.

  • 9.

    Onderhuur: een situatie waarin iemand een deel van zijn woning verhuurt aan een ander, terwijl hij er zelf ook woont.

  • 10.

    Pandrecht: een zekerheidsrecht te vestigen op een niet-registergoed, dit is o.a. een woonschip of woonwagen, als een inkomensvoorziening in de vorm van een geldlening wordt verleend op grond van artikel 50 PW.

  • 11.

    Schuldenaar: de inwoner met een geldlening of krediethypotheek.

  • 12.

    Woning: het woonhuis, woonschip of de woonwagen die door inwoner en, indien van toepassing, zijn gezin wordt bewoond.

  • 13.

    Woonlasten: alle kosten die verbonden zijn aan het bewonen van een woning, zoals woonkosten, energiekosten etc. volgens constante jurisprudentie op grond van de PW.

Artikel 2 – Niet nader omschreven begrippen

Alle begrippen die in deze beleidsregels worden gebruikt en die niet nader zijn omschreven, hebben dezelfde betekenis in de Participatiewet (PW), de Wet inkomensvoorziening oudere en gedeeltelijk arbeidsongeschikte werkloze werknemers (IOAW), de Wet inkomensvoorziening oudere en gedeeltelijk arbeidsongeschikte gewezen zelfstandigen (IOAZ) en de Algemene wet bestuursrecht (Awb).

Artikel 3 - Maatwerk

Met deze beleidsregels is beoogd naast richtlijnen voor de uitvoering ook maatwerk als uitgangspunt te laten gelden. Dit kan op grond van artikel 18, lid 1 PW.

Hoofdstuk 2 - Kostendelers, commerciële huurprijs en ontbreken van woonlasten

Artikel 1 - Geen kostendeler

Niet als kostendeler wordt aangemerkt de inwoner die:

  • 1.

    Op commerciële basis als onder(ver)huurder, kostgever of kostganger zijn hoofdverblijf heeft in de woning waar ook een ander of anderen hun hoofdverblijf hebben.

  • 2.

    Tijdelijk onderdak biedt aan een persoon die wegens een crisissituatie dakloos dreigt te worden. De bijstand blijft ongewijzigd, gedurende de periode van tijdelijk verblijf, zoals genoemd onder 3.

  • 3.

    Tijdelijk onderdak krijgt wegens crisissituatie of dreigende dakloosheid.

    De inwoner krijgt de gelegenheid om binnen 6 maanden een eigen woning als hoofdverblijf te zoeken.

    Deze periode kan, wegens bijzondere omstandigheden, éénmalig verlengd worden met 6 maanden. Gedurende deze periode ontvangt de inwoner een uitkering ter hoogte van een alleenstaande (ouder) minus een korting van 10% wegens het gedeeltelijk ontbreken van woonlasten. Als de aanvrager na 6 of 12 maanden nog niet verhuisd is, wordt de woonsituatie vanaf dat moment aangemerkt als duurzaam verblijf en zal de norm gewijzigd worden naar de kostendelersnorm.

  • 4.

    Mantelzorg verleent of krijgt. De mantelzorg is de aanleiding om samen te wonen. De bijstand blijft ongewijzigd gedurende de periode dat de zorg wordt verleend ongeacht of er sprake is van bloedverwantschap, tenzij er sprake is van een kostendelende medebewoner.

Artikel 2 - Voorwaarden voor een commerciële overeenkomst

Om te kunnen vaststellen of er sprake is van een commerciële overeenkomst over huur, onderhuur of kostgeverschap moet worden voldaan aan de volgende voorwaarden:

  • 1.

    Er moet sprake zijn van een gedateerde en getekende schriftelijke overeenkomst waarin de prijs voor huisvesting en overige diensten is beschreven.

  • 2.

    De woning genoemd in de overeenkomst als bedoeld onder 1. moet beschikken over een ruimte welke exclusief bestemd is voor gebruik door de kostganger of (kamer)huurder.

  • 3.

    De overeengekomen prijs moet in verhouding staan tot wat in het commerciële verkeer gebruikelijk is.

  • 4.

    De betaling van de huur moet via een bank gedaan worden en de inwoner moet, als dit wordt gevraagd, betalingsbewijzen overleggen.

Artikel 3 - Commerciële prijs

Een prijs, inclusief alle kosten die verbonden zijn aan het bewonen van een woning en die in verhouding staat tot wat in het commerciële verkeer gebruikelijk is:

  • 1.

    Een vergoeding bij onderhuur, voor huisvesting inclusief energie en water verbruik, minimaal € 300,- per maand.

  • 2.

    Een vergoeding bij kostganger, voor huisvesting, inclusief energie en water verbruik en ook het gebruik van maaltijden, minimaal € 500,- per maand.

  • 3.

    De bedragen genoemd in de onderdelen a. en b. van dit artikel worden jaarlijks geïndexeerd overeenkomstig het percentage waarmee de gemeentebegroting wordt aangepast (prijsindex). Bedragen worden naar boven afgerond op hele euro’s.

Artikel 4 - Verlaging bijstand bij inkomsten uit verhuur of kostgeverschap

  • 1. Als er sprake is van een commerciële overeenkomst met één persoon, wordt de bijstand verlaagd met 10% van de gehuwdennorm.

  • 2. Als er sprake is van een commerciële overeenkomst met twee personen, wordt de bijstand verlaagd met 20% van de gehuwdennorm.

  • 3. Als er sprake is van een commerciële overeenkomst met drie of meer personen, wordt de verhuurder geacht een bedrijf te exploiteren. Voor bijstand moet dan een beroep worden gedaan op het Besluit bijstandsverlening zelfstandigen 2004.

Artikel 5 - Verlaging bijstand bij het (gedeeltelijk) ontbreken van woonlasten

  • 1. Bij het ontbreken van volledige woonlasten, zoals bedoeld in Hoofdstuk 1 artikel 1, lid 13, wordt de bijstand verlaagd met 20% van de gehuwdennorm.

  • 2. Bij het ontbreken van gedeeltelijke woonlasten, zoals bedoeld in Hoofdstuk 1 artikel 1, lid 13, wordt de bijstand verlaagd met 10% van de gehuwdennorm.

Hoofdstuk 3 - Maatwerk bij aanvraag levensonderhoud

Artikel 1 - Afwijken van 4 weken zoektermijn jongeren

In individuele situaties kan het college besluiten om de 4 weken zoektermijn niet toe te passen indien er sprake is van jongeren in kwetsbare omstandigheden. Hierbij geven de individuele omstandigheden aanleiding om af te wijken. De menselijke maat moet voorop staan, waarbij maatwerk om af te wijken mogelijk verergering van de situatie voorkomt.

Artikel 2 - Bijstand met terugwerkende kracht

In individuele situaties kan de bijstand met terugwerkende kracht toegekend worden. In beginsel is de periode maximaal 3 maanden voor de dag van melding. Bij bijzondere omstandigheden kan hiervan afgeweken worden.

Hoofdstuk 4 - Vrijlating van inkomsten, giften en kostenbesparingen

Artikel 1 – Toekenning inkomstenvrijlating

De inkomstenvrijlating wordt ambtshalve toegekend.

Artikel 2 - Voorwaarden inkomstenvrijlating

Bij het ontvangen van inkomsten uit werk wordt in alle gevallen voldaan aan de voorwaarde dat inkomsten bijdragen aan de arbeidsinschakeling van de inwoner.

Artikel 3 - Ingangsdatum inkomstenvrijlating

  • 1. De ingangsdatum van de inkomstenvrijlating is de dag waarop de inkomsten uit werk, na ingangsdatum van de uitkering, zijn begonnen.

  • 2. Bij het ontvangen van inkomsten uit werk bij instroom is de ingangsdatum van de uitkering de ingangsdatum van de inkomstenvrijlating.

  • 3. In individuele gevallen kan afgeweken worden van lid 1 en 2. Te denken valt aan een situatie waarin de kans groot is dat op een korte termijn uitbreiding van uren wordt verwacht, zodat de inwoner meer kan profiteren van de gedeeltelijke inkomstenvrijlating.

Artikel 4 - Meldplicht bij giften en kostenbesparingen

  • 1. Giften tot een totaalbedrag van het drempelbedrag zoals vastgesteld in artikel 31 lid 2 onder n PW hoeven niet bij het college te worden gemeld. Zodra de gift of het totaal van meerdere giften hoger is dan het drempelbedrag zoals vastgesteld in artikel 31 lid 2 onder n PW per kalenderjaar, dan meldt de belanghebbende de ontvangst hiervan bij het college.

  • 2. Giften van een charitatieve instelling hoeven niet bij het college te worden gemeld.

Artikel 5 - Vrijlating bij giften en kostenbesparingen

  • 1. Een gift wordt in ieder geval vrijgelaten tot het drempelbedrag zoals vastgesteld in artikel 31 lid 2 onder n PW per kalenderjaar.

  • 2. Het meerdere boven het drempelbedrag wordt in beginsel tot de middelen van de belanghebbende gerekend. Individueel wordt beoordeeld of het meerdere als vermogen of als inkomen in aanmerking wordt genomen, waarbij:

    • a.

      ontvangen geldbedragen met een periodiek karakter als inkomen worden aangemerkt;

    • b.

      incidentele ontvangsten aan het vermogen worden toegerekend.

  • 3. Niet herleidbare ontvangsten in de vorm van kasstortingen en bijschrijvingen op de bankrekening van de belanghebbende of zijn gezinsleden worden in beginsel niet als een gift aangemerkt.

  • 4. Een gift in de vorm van een verstrekking door een charitatieve instelling wordt niet tot de middelen gerekend.

  • 5. Bij bijzondere situaties kan een beroep gedaan worden op de hardheidsclausule.

Hoofdstuk 5 - Krediethypotheek en pandrecht

Artikel 1 - Overwaarde in eigen woning

Aan de inwoner die eigenaar is van een door hemzelf of zijn gezin bewoonde woning kan bijstand worden verleend, als het vermogen in de woning hoger is dan het vrijgestelde vermogen, zoals bedoeld in artikel 50, eerste lid van de PW. De bijstand wordt verleend in de vorm van een geldlening, eventueel onder vestiging van een krediethypotheek of pandrecht.

Artikel 2 - Krediethypotheek en geldlening

  • 1. De bijstand voor de inwoner die eigenaar is van een door hemzelf of zijn gezin bewoonde hoofdwoning met bijbehorend erf, heeft de vorm van een geldlening of een geldlening in de vorm van een krediethypotheek dan wel pandrecht, als het in aanmerking te nemen vermogen in de hoofdwoning met bijbehorend erf het bedrag van het vrij te laten vermogen zoals bedoeld in artikel 34 lid 2 sub d PW overschrijdt. Is de overschrijding maximaal € 15.000 dan wordt de bijstand verstrekt als geldlening, is de overschrijving hoger dan wordt de geldlening verstrekt onder voorwaarde tot het vestigen van een krediethypotheek.

  • 2. De kosten verbonden aan de taxatie, de hypotheekakte en de inschrijving van de hypotheek, de pandovereenkomst en de inschrijving van het pandrecht in de vereiste registers en alle overige bijkomende kosten, komen ten laste van de inwoner. Als de inwoner deze niet kan betalen kan hier bijzondere bijstand voor worden aangevraagd. De bijzondere bijstand wordt verstrekt in de vorm van een geldlening. Het bedrag van deze geldlening, is een onderdeel van de krediethypotheek, wordt dan ook geboekt onder de gevestigde krediethypotheek.

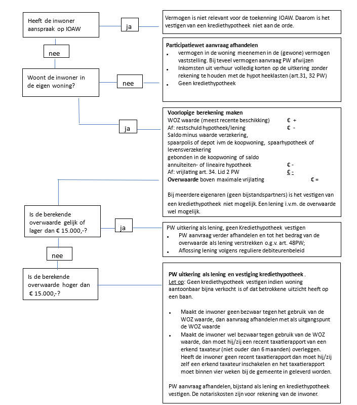
  • 3. Als er sprake is van een eigen woning wordt bij de aanvraag van een uitkering gewerkt volgens de regels en voorwaarden die zijn vastgelegd in het stroomschema (zie bijlage 1).

Artikel 3 - De hoogte van de geldlening

  • 1. De geldlening bedraagt maximaal de WOZ-waarde van de woning met bijbehorend erf, verminderd met de daarop rustende schulden en het vrij te laten deel, zoals aangegeven in artikel 34 lid 2 sub d PW.

  • 2. De WOZ-waarde betreft de meest recente door de gemeente vastgestelde waarde van de woning met bijbehorend erf.

  • 3. Het bedrag van de geldlening en de eventuele verschuldigde rente en kosten, blijkt uit de administratie van de schuldeiser.

  • 4. Voor het vestigen van een krediethypotheek, pandrecht of lening is de WOZ-waarde dan wel taxatiewaarde van de woning op het moment van aanvang bijstand bepalend. Tussentijdse stijgingen en/of dalingen van de WOZ-waarde of taxatiewaarde hebben geen gevolgen.

  • 5. Als de inwoner bezwaar maakt tegen gebruik van de WOZ-waarde dan dient hij een recent taxatierapport, niet ouder dan 12 maanden, van een erkend taxateur te overleggen. Heeft de inwoner geen recent taxatierapport dan dient hij zelf een erkend taxateur in te schakelen. De kosten zijn voor rekening van de inwoner.

Artikel 4 - Medewerkingsverplichting

  • 1. Bij verlening van bijstand onder verband van krediethypotheek wordt aan de inwoner de verplichting opgelegd dat hij meewerkt aan de vestiging van hypotheek.

  • 2. Bij verlening van bijstand onder verband van een te registreren pandrecht wordt de inwoner de verplichting opgelegd dat hij meewerkt aan deze registratie.

  • 3. Het niet verlenen van deze medewerking heeft tot gevolg dat een aanvraag voor bijstand wordt afgewezen of het recht op bijstand wordt ingetrokken en dat verstrekte bijstand direct opeisbaar is.

Artikel 5 - Voorwaarden in hypotheekakte c.q. pand- of geldleningovereenkomst

  • 1. Aan de geldlening worden in elke geval verbonden de voorwaarden, genoemd in de artikelen 6 en 7 van dit hoofdstuk.

  • 2. De in het eerste lid bedoelde voorwaarden worden samen met de gebruikelijke bedingen opgenomen in de hypotheekakte c.q. pandovereenkomst.

Artikel 6 - Aflossingsvoorwaarden geldlening, hypotheek c.q. pand

  • 1. De aflossing begint op het moment van beëindiging van de bijstandsverlening en vindt maandelijks plaats.

  • 2. Aflossing van de geldlening vindt plaats gedurende ten hoogste tien jaar. Wordt binnen tien jaar de geldlening niet volledig afgelost, dan wordt het restant van de geldlening in ieder geval afgelost bij verkoop of vererving van de woning.

  • 3. Het maandbedrag van de aflossing wordt telkens voor een periode van één jaar vastgesteld.

  • 4. Per maand zal dan in beginsel een aflossing plaatsvinden die gelijk is aan het bedrag dat zou volgen uit tien jaar aflossing, dus 1/120e van de oorspronkelijke geldlening.

  • 5. Bij een inkomen als bedoeld in artikel 32 PW dat niet uitgaat boven de van toepassing zijnde bijstandsnorm wordt geen aflossing geëist en wordt de kostendelersnorm buiten beschouwing gelaten.

  • 6. Als de omstandigheden daartoe aanleiding geven, stelt het college, zo nodig in de tussentijd, het maandbedrag van de aflossing op een lager of hoger bedrag vast.

  • 7. Bij de beoordeling van de omstandigheden als bedoeld in het zesde lid wordt rekening gehouden met noodzakelijke, voor eigen rekening van de inwoner komende, bijzondere bestaanskosten. Deze kosten worden van het inkomen afgetrokken.

  • 8. Als de schuldenaar tijdens de aflossingsperiode van tien jaar schuldig nalatig is in het voldoen van de vastgestelde aflossing, is het nog niet afgeloste deel van de geldlening direct opeisbaar en is daarover ook de wettelijke rente verschuldigd.

Artikel 7 - Rentevordering

  • 1. Als door toepassing van artikel 6, derde tot en met zesde lid, na afloop van de aflossingsperiode van tien jaar een deel van de geldlening nog niet is afgelost, is vanaf dat moment maandelijks rente verschuldigd over het nog niet afgeloste deel van de geldlening.

  • 2. De rente, zoals bedoeld in het eerste lid, is de wettelijke rente, verminderd met 3%, maar niet lager dan 1%.

  • 3. Als de schuldenaar naar het oordeel van het college de rente helemaal of voor een deel kan betalen, maar niet kan aflossen, wordt een betaling eerst tot ten hoogste het bedrag van de verschuldigde maandrente aangemerkt als aflossing, en wordt de rente die daardoor niet wordt betaald, bijgeschreven bij het nog niet afgeloste deel van de geldlening.

  • 4. Als de schuldenaar naar het oordeel van het college geen rente kan betalen, wordt de verschuldigde rente bijgeschreven bij het nog niet afgeloste deel van de geldlening.

  • 5. Over een bijgeschreven rentevordering is geen rente verschuldigd.

  • 6. Als de geldlening op grond van het hierna in artikel 8, bepaalde direct opeisbaar is geworden, is daarover vanaf dat moment de wettelijke rente verschuldigd.

Artikel 8 - Opeisbaarheid van de lening

De geldlening vermeerderd met de eventueel verschuldigde rente en kosten, is direct zonder ingebrekestelling opeisbaar als:

  • 1.

    De schuldenaar verwijtbaar nalatig is in het voldoen van de in artikel 6 vastgestelde aflossing in maandbedragen;

  • 2.

    De schuldenaar in verzuim is ten aanzien van enige andere verplichting uit hoofde van de geldlening, de zekerheidstelling ingevolge de PW en het gemeentelijk beleid krediethypotheek PW;

  • 3.

    De woning wordt verkocht of is vererfd, dit laatste als gevolg van het overlijden van de schuldenaar;

  • 4.

    De woning wordt vervreemd, met een beperkt recht wordt bezwaard of daarop beslag wordt gelegd;

  • 5.

    Er sprake is van echtscheiding en als de schuldenaar failliet gaat of surseance van betaling aanvraagt;

  • 6.

    De bewoning is beëindigd.

Artikel 9 - Verkoop van de woning

  • 1. Bij verkoop, overdracht of bij vererving van de woning met bijbehorend erf wordt het nog niet afgeloste deel van de geldlening, evenals de bijgeschreven rente direct afgelost. Bij vererving door het overlijden van een partner is dit lid pas van toepassing als de langstlevende partner ook overlijdt.

  • 2. Bij verkoop van de woning kan het college wegens bijzondere omstandigheden van medische of sociale aard van de schuldenaar, na toepassing van het eerste lid, besluiten tot het verlenen van een nieuwe geldlening eveneens onder verband van hypotheek voor de aankoop van een andere woning, tot ten hoogste het bedrag van de ingevolge het eerste lid afgesloten geldlening. Daaraan wordt de voorwaarde verbonden dat de schuldenaar het na aflossing vrijgekomen vermogen volledig inzet voor de aankoop van de andere woning.

  • 3. Als bij verkoop van de woning met bijbehorend erf op basis van de waarde in het economisch verkeer bij vrije oplevering het voor de afrekening beschikbare bedrag lager is dan het resterende bedrag van de geldlening en van de rentevordering, wordt het verschil kwijtgescholden.

Artikel 10 - Echtscheiding

In geval van echtscheiding bij een lopende krediethypotheek:

  • 1.

    wordt de woning verkocht en daarmee de lening afgelost; of

  • 2.

    koopt een van de partners de ander uit en zal zijn/haar deel daarmee worden afgelost. Voor de achterblijver kan een nieuwe krediethypotheek worden gevestigd.

Artikel 11 - Herleving krediethypotheek of pandrecht bij hernieuwde bijstandsaanvraag

Als binnen een periode van twee jaar na beëindiging van de bijstandsuitkering opnieuw recht op bijstand ontstaat, wordt deze verleend met toepassing van de laatst gevestigde hypotheek of akte van pandrecht.

Artikel 12 - Jaarlijkse opgave restantschuld en rentevorderingen

Aan de schuldenaar wordt op verzoek telkens na afloop van een kalenderjaar een opgave verstrekt van de stand van de geldlening en van de rentevorderingen.

Hoofdstuk 6 - Handhaving PW, IOAW en IOAZ

Artikel 1 - Hoogwaardig handhaven

Binnen (hoog)waardige handhaving gaat het erom dat misbruik en oneigenlijk gebruik van inkomensondersteuningen wordt voorkomen. De rechtmatigheid van de verstrekking staat voorop. Het college gaat uit van vertrouwen en bereidheid van de inwoner om de wet- en regelgeving na te leven. Zij informeert de inwoner vroegtijdig en volledig over rechten en plichten en controleert de naleving van wet- en regelgeving. De informatie is begrijpelijk en afgestemd op de doelgroep.

Artikel 2 - Toegang

Het college geeft voorlichting aan inwoners. De inwoner krijgt uitleg over zijn rechten en plichten. Ook hoort hij wat er kan gebeuren als hij informatie niet op tijd doorgeeft, verkeerde informatie geeft of zich niet aan de afspraken houdt.

Artikel 3 - Vroegtijdig informeren

  • 1. Het college informeert de inwoner voldoende en tijdig.

  • 2. De informatie is begrijpelijk en afgestemd op doelgroepen.

  • 3. De informatie wordt mondeling tijdens de contacten met de inwoner, schriftelijk, digitaal en/of in individuele besluiten verstrekt.

  • 4. Het college kan bij het geven van voorlichting gebruik maken van media en foldermateriaal.

  • 5. Het college kan voorlichting geven over de ontwikkeling van de bestrijding onrechtmatig gebruik en over de uitvoering van dit beleid.

  • 6. Het college geeft aan welke gegevens nodig zijn voor de verlening of voortzetting van de uitkering en wanneer en op welke manier die gegevens door de inwoner moeten worden aangeleverd. Het niet of niet tijdig verstrekken van deze gegevens kan consequenties hebben voor de verlening of voortzetting van de uitkering.

  • 7. Het college is bevoegd om onderzoek in te (laten) stellen naar de juistheid en volledigheid van de verstrekte gegevens en kan de verstrekte documenten of bewijsstukken zowel bij aanvang als tijdens de lopende uitkering, verifiëren bij externe instanties.

  • 8. Verificatie vindt plaats met inachtneming van de wettelijke voorschriften die vastgelegd zijn in de Algemene verordening gegevensbescherming (AVG) en het college verifieert alleen datgene wat nodig is voor de vaststelling van het recht op een uitkering.

  • 9. Bij het vermoeden van onrechtmatig gebruik stelt het college een nader onderzoek in en onderneemt actie naar gelang de uitkomst van het onderzoek.

Artikel 4 - Optimaliseren dienstverlening

  • 1. Het college zorgt voor een duidelijke, consequente, doeltreffende en klantgerichte dienstverlening.

  • 2. Het college maakt gebruik van transparante werkprocessen, werkinstructies en formulieren.

  • 3. Het college stelt de inwoner in de gelegenheid om tijdig (binnen 30 dagen) wijzigingen, die van invloed kunnen zijn op (de hoogte van) de uitkering, te melden door middel van het wijzigingsformulier en/of digitaal in de “mijn omgeving”.

  • 4. Het college wijst de inwoner op de gevolgen van het niet, te laat, onjuist of onvolledig invullen van het wijzigingsformulier en/of digitaal in “mijn” omgeving.

Artikel 5 - Controle op maat

  • 1. Het college toetst signalen over onrechtmatig gebruik en stelt waar nodig een onderzoek in.

  • 2. Het college stelt controleprotocollen op voor het te voeren onderzoek, waarbij op basis van objectieve criteria de in te zetten middelen van licht naar zwaar kunnen oplopen.

  • 3. De bevoegdheden om middelen in te zetten ontleent het college aan de artikelen 17 en 53a van de PW, respectievelijk de artikelen 13 en 14 IOAW en IOAZ en artikel 5:11 van de Algemene wet bestuursrecht.

  • 4. Het college zet een strafrechtelijk traject in als het benadelingsbedrag hoger is dan bruto € 50.000, - of als het vermoeden bestaat dat het benadelingsbedrag € 50.000, - of meer zal bedragen. Het vermoeden dient redelijk en gebaseerd te zijn op concrete feiten of omstandigheden.

  • 5. Benadelingsbedragen van minder dan € 50.000, - worden in beginsel bestuursrechtelijk afgedaan, tenzij:

    • a.

      Strafrechtelijk dwangmiddelen zijn toegepast;

    • b.

      Toepassing van strafrechtelijke dwangmiddelen wenselijk is;

    • c.

      Er sprake is van samenloop met andere strafbare feiten;

    • d.

      De status van de verdachte of diens voorbeeldfunctie aanleiding zijn tot een strafrechtelijke afdoening;

    • e.

      Het recidive betreft met een totaal onrechtmatig verkregen bedrag boven de € 50.000, -;

    • f.

      Er onrechtmatig gebruik met medeweten van uitvoerende ambtenaren heeft plaatsgehad;

    • g.

      Het gaat om onrechtmatig gebruik in georganiseerd verband;

    • h.

      Feiten en omstandigheden rond de verdachte daartoe aanleiding geven.

  • 6. Tot doen van aangifte wegens onrechtmatig gebruik sluit het opleggen van een boete vanwege artikelen 18a PW, 20a van IOAW en IOAZ uit als het Openbaar Ministerie is overgegaan tot vervolging en het onderzoek ter terechtzitting is begonnen, de zaak is afgedaan middels een strafbeschikking of als een transactie is overeengekomen met de (voormalig) inwoner.

Artikel 6 - Thema controles

  • 1. Het college kan beslissen om themacontroles uit te voeren.

  • 2. De controles gebeuren op basis van een objectief thema en kunnen worden onderverdeeld in een administratief en een feitelijk onderzoek.

  • 3. Themacontroles zijn aan een bepaalde tijdsduur gebonden.

Hoofdstuk 7 - Overige bepalingen en inwerkingtreding

Artikel 1 - Hardheidsclausule

Door of namens het college kan met toepassing van artikel 4:84 van de Algemene wet bestuursrecht in bijzondere gevallen ten gunste van de inwoner worden afgeweken van deze beleidsregels, als toepassing hiervan tot onredelijkheid van overwegende aard leidt.

Artikel 2 - Overgangsrecht

  • 1. Besluiten genomen voor de datum van inwerkingtreding van deze beleidsregels, blijven van kracht tot aan het moment dat deze besluiten worden ingetrokken, beëindigd of van rechtswege vervallen.

  • 2. Aanvragen waarop nog niet is beslist bij de inwerkingtreding van deze beleidsregels worden afgehandeld volgens deze beleidsregels.

Artikel 3 - Inwerkingtreding en citeerartikel

  • 1. Deze beleidsregels treden in werking de dag na publicatie met ingang van 1 januari 2026.

  • 2. Bij inwerking treden van deze beleidsregels worden de ‘Beleidsregels Inkomen en handhaving Participatiewet Hoeksche Waard’ zoals vastgesteld op 15 december 2020 en de ‘Beleidsregels vrijlating giften Participatiewet Hoeksche Waard’ zoals vastgesteld op 21 december 2021, ingetrokken.

  • 3. Deze beleidsregels worden aangehaald als: “Beleidsregels Inkomen en handhaving Participatiewet Hoeksche Waard 2026”

Ondertekening

Vastgesteld in de vergadering van het college van burgemeester en wethouders van gemeente Hoeksche Waard, d.d. 9 december 2025,

de secretaris,

de burgemeester

Bijlage 1 Stroomschema vooronderzoek krediethypotheek

afbeelding binnen de regeling