Verordening verontreinigingsheffing waterschap Rijn en IJssel 2026

Dit is een toekomstige tekst! Geldend vanaf 06-12-2025

Intitulé

Verordening verontreinigingsheffing waterschap Rijn en IJssel 2026

Het algemeen bestuur van waterschap Rijn en IJssel;

gelezen het voorstel van het dagelijks bestuur met 6 oktober;

gelet op de artikelen 110 en 111 van de Waterschapswet en artikel 7.2, tweede lid, van de Waterwet;

b e s l u i t :

De Verordening verontreinigingsheffing waterschap Rijn en IJssel 2026 vast te stellen, luidend als volgt:

Hoofdstuk 1 Inleidende bepalingen

Artikel 1 Definities

In deze verordening wordt verstaan onder:

  • bedrijfsruimte: naar zijn aard en inrichting als afzonderlijk geheel te beschouwen ruimte of terrein, niet zijnde een woonruimte, een zuiveringtechnisch werk of een openbaar vuilwaterriool;

  • GBLT: het openbaar lichaam GBLT;

  • heffingsambtenaar: de daartoe aangewezen ambtenaar van de Gemeenschappelijke Regeling GBLT;

  • heffingsjaar: kalenderjaar;

  • ingenomen water: geleverd drink- en industriewater en warm tapwater, onttrokken grond- en oppervlaktewater en opgevangen hemelwater;

  • lozen: het brengen van afvalstoffen, verontreinigende of schadelijke stoffen in een oppervlaktewaterlichaam in beheer bij het waterschap;

  • openbaar vuilwaterriool: voorziening voor de inzameling en het transport van stedelijk afvalwater, in beheer bij een gemeente of een rechtspersoon die door een gemeente met het beheer is belast;

  • oppervlaktewaterlichaam: samenhangend geheel van vrij aan het aardoppervlak voorkomend water, met de daarin aanwezige stoffen, en de bijbehorende bodem en oevers, alsmede flora en fauna;

  • stedelijk afvalwater: huishoudelijk afvalwater of een mengsel daarvan met bedrijfsafvalwater, afvloeiend hemelwater, grondwater of ander afvalwater;

  • stoffen: afvalstoffen, verontreinigende of schadelijke stoffen;

  • waterschap: waterschap Rijn en IJssel;

  • watersysteem: samenhangend geheel van een of meer oppervlaktewaterlichamen en grondwaterlichamen, met bijbehorende bergingsgebieden, waterkeringen en ondersteunende kunstwerken;

  • woonruimte: ruimte die gezien zijn inrichting bestemd is om als een afzonderlijk geheel te voorzien in woongelegenheid en waarvan de delen gezien de inrichting van die ruimte niet bestemd zijn om afzonderlijk in gebruik te worden gegeven;

  • zuiveringtechnisch werk: werk voor het zuiveren van stedelijk afvalwater, in exploitatie bij een waterschap of gemeente, of een rechtspersoon die door het bestuur van een waterschap met de zuivering van stedelijk afvalwater is belast, met inbegrip van het bij dat werk behorende werk voor het transport van stedelijk afvalwater.

Hoofdstuk 2 De verontreinigingsheffing

Artikel 2 Belastbaar feit en heffingsplicht

  • 1. Onder de naam verontreinigingsheffing wordt een heffing ingesteld voor lozen. De opbrengst van de verontreinigingsheffing komt ten goede aan de bekostiging van het beheer van het watersysteem van het waterschap.

  • 2. Aan de heffing worden onderworpen:

    • a.

      als het gaat om lozen vanuit een bedrijfsruimte of woonruimte: degene die het gebruik heeft van die ruimte;

    • b.

      als het gaat om lozen met behulp van een openbaar vuilwaterriool of een zuiveringtechnisch werk: degene bij wie dat openbaar vuilwaterriool of zuiveringtechnisch werk in beheer is;

    • c.

      als het gaat om andere lozingen dan als bedoeld in onderdeel a of b: degene die loost.

  • 3. Voor de toepassing van het tweede lid, onderdeel a, is heffingplichtig:

    • a.

      in geval van gebruik van een woonruimte door de leden van een huishouden: degene die door de heffingsambtenaar is aangewezen;

    • b.

      in geval van gebruik door degene aan wie een deel van een bedrijfsruimte in gebruik is gegeven: degene die dat deel in gebruik heeft gegeven, met dien verstande dat degene die het deel in gebruik heeft gegeven, bevoegd is de heffing te verhalen op degene aan wie dat deel in gebruik is gegeven;

    • c.

      in geval van het ter beschikking stellen van een woonruimte of bedrijfsruimte voor volgtijdig gebruik: degene die die ruimte ter beschikking heeft gesteld, met dien verstande dat degene die de ruimte ter beschikking heeft gesteld, bevoegd is de heffing te verhalen op degene aan wie de ruimte ter beschikking is gesteld.

  • 4. Van de heffing zijn vrijgesteld:

    • a.

      lozingen die plaatsvinden met behulp van een openbaar vuilwaterriool;

    • b.

      lozingen van stoffen vanuit een zuiveringtechnisch werk door het waterschap zelf;

    • c.

      lozingen van stoffen afkomstig uit een zuiveringtechnisch werk anders dan door het waterschap zelf, mits de hoeveelheid afvalstoffen, verontreinigende of schadelijke stoffen niet is toegenomen.

Artikel 3 Grondslag en heffingsmaatstaf

  • 1. Voor de heffing geldt als grondslag de hoeveelheid en de hoedanigheid van de stoffen die in een kalenderjaar worden geloosd.

  • 2. Voor de heffing geldt als heffingsmaatstaf de vervuilingswaarde van de stoffen die in een kalenderjaar worden geloosd, waarbij de vervuilingswaarde wordt uitgedrukt in vervuilingseenheden.

  • 3. Eén vervuilingseenheid vertegenwoordigt met betrekking tot zuurstofverbruik: het jaarlijks verbruik van 54,8 kilogram zuurstof.

  • 4. Het zuurstofverbruik van de stoffen die in een kalenderjaar worden geloosd, wordt bepaald op basis van de som van het chemisch zuurstofverbruik door omzetting van de hoeveelheid totaal organisch koolstof in de stoffen en het zuurstofverbruik door omzetting van de hoeveelheid totaal stikstof verminderd met de som van nitriet-stikstof en nitraat-stikstof in de stoffen, zoals voorgeschreven in Bijlage 1. Hierbij wordt het chemisch zuurstofverbruik gesteld op driemaal het gehalte totaal organisch koolstof in de geloosde stoffen.

Artikel 4 Afwijkende verhouding chemisch zuurstofverbruik en totaal organisch koolstof

  • 1. Als de verhouding tussen het chemisch zuurstofverbruik en het gehalte totaal organisch koolstof in de geloosde stoffen in het kalenderjaar lager is dan tweeënhalf of hoger is dan drieënhalf wordt op aanvraag van de heffingplichtige op zijn kosten, respectievelijk ambtshalve door de heffingsambtenaar op kosten van de betrokken beheerder, de verhouding tussen het chemisch zuurstofverbruik en het gehalte totaal organisch koolstof in de geloosde stoffen in afwijking van artikel 3, vierde lid, tweede volzin, gedeeld door tweeënhalf respectievelijk drieënhalf en vermenigvuldigd met drie.

  • 2. De verhouding in het kalenderjaar tussen het chemisch zuurstofverbruik en het gehalte totaal organisch koolstof wordt bepaald door meting, bemonstering en analyse volgens de in artikelen 5 en 6 opgenomen voorschriften. Wanneer op grond van artikel 6 door de heffingsambtenaar is ingestemd met meting, bemonstering en analyse in een beperkt aantal etmalen, dan wordt de in deze etmalen vastgestelde verhouding tussen het chemisch zuurstofverbruik en het gehalte totaal organisch koolstof representatief gevonden voor het gehele kalenderjaar.

  • 3. De heffingsambtenaar beslist op een in het eerste lid bedoelde aanvraag bij voor bezwaar vatbare beschikking en neemt daarin in elk geval voorschriften op over:

    • a.

      een opgave van de afvalwaterstromen en de stoffen die in het onderzoek worden betrokken;

    • b.

      de tijdvakken waarin meting en bemonstering plaatsvinden, óf ieder etmaal van die tijdvakken, óf één of meer daartoe aangewezen etmalen daarvan;

    • c.

      de manier waarop de op de voet van letter b verkregen uitkomsten worden herleid tot de verhouding in het kalenderjaar tussen het chemisch zuurstofverbruik en het gehalte totaal organisch koolstof over het heffingsjaar.

  • 4. De heffingsambtenaar kan het besluit op aanvraag en de in het vorige lid bedoelde voorschriften opnemen in de beschikking als bedoeld in artikel 5, zesde lid of artikel 6, eerste lid.

  • 5. Een op basis van dit artikel bepaalde afwijkende verhouding geldt met ingang van het in het eerste lid bedoelde kalenderjaar tot het heffingsjaar waarin dit artikel door de heffingplichtige of door de heffingsambtenaar opnieuw wordt toegepast.

  • 6. De heffingplichtige meldt veranderingen in de bedrijfsomstandigheden, die aanleiding kunnen geven tot een wijziging in de verhouding tussen het chemisch zuurstofverbruik en het gehalte totaal organisch koolstof in de geloosde stoffen in het kalenderjaar, direct bij de heffingsambtenaar.

  • 7. De heffingsambtenaar kan bij veranderingen of te verwachten veranderingen in de verhouding tussen het chemisch zuurstofverbruik en het gehalte totaal organisch koolstof in de geloosde stoffen in het kalenderjaar, de beschikking waarom het gaat, bedoeld in het derde lid, ambtshalve dan wel op verzoek van de heffingplichtige wijzigen of intrekken, als deze veranderingen leiden tot een andere verhouding tussen het chemisch zuurstofverbruik en het gehalte totaal organisch koolstof in de geloosde stoffen in het kalenderjaar dan in die beschikking is opgenomen.

  • 8. De heffingsambtenaar neemt zijn beslissing, bedoeld in het zevende lid, bij voor bezwaar vatbare beschikking.

Artikel 5 Meting, bemonstering en analyse

  • 1. Het aantal vervuilingseenheden wordt berekend door meting, bemonstering en analyse verkregen gegevens. De meting, bemonstering, analyse en berekening vinden zo plaats dat de in Bijlage 1 opgenomen voorschriften worden nageleefd.

  • 2. De in het eerste lid bedoelde meting, bemonstering en analyse vinden ieder etmaal van het heffingsjaar plaats, tenzij artikel 6 wordt toegepast.

  • 3. De meting, bemonstering en analyse vinden zo plaats dat:

    • a.

      de gemeten hoeveelheid afvalwater niet meer dan 5% afwijkt van de werkelijke hoeveelheid afvalwater;

    • b.

      het verkregen monster representatief is voor de totale hoeveelheid stoffen die gedurende de bemonsteringsperiode vanuit de bedrijfsruimte of een onderdeel daarvan wordt geloosd.

  • 4. De heffingplichtige brengt de wijze van meting en bemonstering met een beschrijving van de daarvoor te gebruiken apparatuur voor het begin van het heffingsjaar ter kennis van de heffingsambtenaar. Als de apparatuur in de loop van het heffingsjaar in gebruik wordt genomen of wijzigt, dan wordt dit vóór de ingebruikname of de wijziging ter kennis van de heffingsambtenaar gebracht.

  • 5. De heffingsambtenaar:

    • a.

      kan ambtshalve bepalen dat meting en bemonstering plaatsvinden in afwijking van één of meer van de in Bijlage 1, onderdeel A, opgenomen voorschriften, als deze aannemelijk maakt dat dit noodzakelijk is ter voldoening aan het bepaalde in het derde lid, onderdelen a en b;

    • b.

      beslist op aanvraag van de heffingplichtige, dat meting en bemonstering kunnen plaatsvinden in afwijking van een of meer van de in Bijlage 1, onderdeel A, opgenomen voorschriften, als de heffingplichtige aannemelijk maakt dat daarbij wordt voldaan aan het bepaalde in het derde lid, onderdelen a en b;

    • c.

      beslist op aanvraag van de heffingplichtige, dat kan worden afgeweken van de in Bijlage 1, onderdeel B, opgenomen analysevoorschriften, als de heffingplichtige aannemelijk maakt dat de nauwkeurigheid van de uitkomsten van de analyse hierdoor niet wordt beïnvloed;

    • d.

      kan over de afwijkingen als bedoeld in de onderdelen a, b en c nadere voorschriften geven.

  • 6. De heffingsambtenaar neemt zijn beslissing, bedoeld in het vijfde lid, onderdelen a, b en c, bij voor bezwaar vatbare beschikking. Deze beschikking bevat in elk geval:

    • a.

      de voorschriften van Bijlage 1, onderdelen A en B, waarvan wordt afgeweken;

    • b.

      de afwijkingen bedoeld in het vijfde lid, onderdelen a, b en c;

    • c.

      de nadere voorschriften bedoeld in het vijfde lid, onderdeel d;

    • d.

      een vermelding van het heffingsjaar of de heffingsjaren waarvoor de beschikking wordt gegeven.

  • 7. De heffingsambtenaar kan twee of meer op grond van het vijfde lid genomen beschikkingen, die betrekking hebben op dezelfde heffingplichtige, in één brief samenvoegen.

  • 8. De heffingsambtenaar kan bij veranderingen of te verwachten veranderingen in de hoeveelheid of hoedanigheid van de geloosde, respectievelijk af te voeren stoffen, de op grond van het vijfde lid genomen beschikkingen, ambtshalve wijzigen of intrekken in verband met het bepaalde in het eerste lid en het derde lid.

Artikel 6 Beperkte meting, bemonstering en analyse

  • 1. Op aanvraag van de heffingplichtige, die aannemelijk maakt dat voor de berekening van het aantal vervuilingseenheden kan worden volstaan met gegevens die door meting, bemonstering en analyse in een beperkt aantal etmalen zijn verkregen, besluit de heffingsambtenaar dat meting en bemonstering plaatsvinden in afwijking van het bepaalde in artikel 5, tweede lid. Het besluit op aanvraag wordt genomen bij een voor bezwaar vatbare beschikking. Deze beschikking bevat in elk geval:

    • a.

      een opgave van de afvalwaterstromen en de stoffen die in het onderzoek worden betrokken;

    • b.

      de tijdvakken waarin meting en bemonstering plaatsvinden, óf ieder etmaal van die tijdvakken, óf één of meer daartoe aangewezen etmalen daarvan;

    • c.

      de manier waarop de op de voet van letter b verkregen uitkomsten worden herleid tot het aantal vervuilingseenheden over een daar bedoeld tijdvak, onderscheidenlijk over het heffingsjaar;

    • d.

      een vermelding van het heffingsjaar of de heffingsjaren waarvoor de beschikking wordt gegeven.

  • 2. De heffingsambtenaar kan bij veranderingen of te verwachten veranderingen in de hoeveelheid of hoedanigheid van de geloosde, respectievelijk af te voeren stoffen, de beschikking waarom het gaat, bedoeld in het eerste lid, ambtshalve wijzigen of intrekken, als toepassing van berekeningsvoorschrift C.2 van onderdeel C van Bijlage 1 leidt tot een ander aantal etmalen dan in die beschikking is opgenomen.

  • 3. De heffingsambtenaar neemt zijn beslissing, bedoeld in het tweede lid, bij voor bezwaar vatbare beschikking.

Artikel 7 Hoedanigheidscorrectie

  • 1. Op aanvraag van de heffingplichtige, die aannemelijk maakt dat de uitkomst van de methode tot bepaling van het chemisch zuurstofverbruik als bedoeld in artikel 3, vierde lid, in belangrijke mate wordt beïnvloed door biologisch niet of nagenoeg niet afbreekbare stoffen, besluit de heffingsambtenaar dat op die uitkomst een correctie wordt toegepast. Het besluit op aanvraag wordt genomen bij een voor bezwaar vatbare beschikking. Deze beschikking bevat in elk geval:

    • a.

      de wijze van berekening van de correctie;

    • b.

      de samenstelling van het afvalwater waarop de correctie van toepassing is;

    • c.

      de frequentie en de wijze van onderzoek met betrekking tot meting, bemonstering en analyse.

  • 2. De heffingsambtenaar kan het besluit op aanvraag en de in het vorige lid bedoelde voorschriften opnemen in de beschikking als bedoeld in artikel 5, zesde lid of artikel 6, eerste lid.

  • 3. De aanvraag, het onderzoek en de berekening van de correctie geschieden met inachtneming van de voorschriften welke zijn opgenomen in onderdeel D van Bijlage 1.

Artikel 8 Tabel afvalwatercoëfficiënten

  • 1. In afwijking van het bepaalde in artikel 5, eerste lid, wordt het aantal vervuilingseenheden voor het zuurstofverbruik in een kalenderjaar voor een bedrijfsruimte of een onderdeel daarvan vastgesteld met behulp van de in Bijlage 2 opgenomen tabel afvalwatercoëfficiënten, mits door de heffingplichtige aannemelijk is gemaakt dat het aantal vervuilingseenheden voor het zuurstofverbruik in een kalenderjaar 1.000 of minder bedraagt en dit aantal met de hoeveelheid ingenomen water kan worden bepaald.

  • 2. Het aantal vervuilingseenheden als bedoeld in het eerste lid wordt berekend volgens de formule: A x B, waarbij,

    A = het aantal m3 in het kalenderjaar voor de bedrijfsruimte of het onderdeel van de bedrijfsruimte ingenomen water;

    B = de afvalwatercoëfficiënt behorende bij klasse 8 van de in Bijlage 2 opgenomen tabel of als de heffingplichtige of de heffingsambtenaar doet blijken dat een andere klasse dan 8 van toepassing is, de afvalwatercoëfficiënt behorende bij een andere klasse van de in Bijlage 2 opgenomen tabel met de klassegrenzen waarbinnen de vervuilingswaarde van het zuurstofverbruik per m3 voor de bedrijfsruimte of van het onderdeel van de bedrijfsruimte ingenomen water is gelegen.

  • 3. Als de in het kalenderjaar ingenomen hoeveelheid water niet kan worden vastgesteld met watermeterstanden die aan het begin en aan het einde van het kalenderjaar zijn opgenomen, stelt de heffingsambtenaar die hoeveelheid vast op een door hem nader vast te stellen wijze.

  • 4. De vervuilingswaarde van het zuurstofverbruik per m3 als bedoeld in het tweede lid wordt bepaald met toepassing van het Besluit vervuilingswaarde ingenomen water 2009.

  • 5. Als het aantal vervuilingseenheden voor het zuurstofverbruik in een kalenderjaar voor een bedrijfsruimte of een onderdeel daarvan meer dan 1.000 bedraagt en de heffingplichtige aannemelijk maakt dat de berekening van het aantal vervuilingseenheden met toepassing van de in het eerste lid, aanhef, bedoelde tabel tot geen lagere uitkomst leidt dan de uitkomst van de berekening op de voet van artikel 5, eerste lid, beslist de heffingsambtenaar bij voor bezwaar vatbare beschikking op aanvraag van heffingplichtige dat het aantal vervuilingseenheden wordt berekend met toepassing van de tabel.

  • 6. De heffingplichtige meldt veranderingen in de bedrijfsomstandigheden, die aanleiding kunnen geven tot een wijziging in de vervuilingswaarde per m3 ingenomen water, direct bij de heffingsambtenaar.

Artikel 9 Vervuilingswaarde tuinbouwkassen

  • 1. In afwijking van het bepaalde in artikel 5, eerste lid, wordt de vervuilingswaarde van de stoffen die worden geloosd vanuit een bedrijfsruimte of onderdeel van een bedrijfsruimte bestemd om in het kader van de uitoefening van een beroep of een bedrijf onder een permanente opstand van glas of kunststof gewassen te telen, gesteld op drie vervuilingseenheden per hectare vloeroppervlak waarop onder glas of kunststof wordt geteeld en per deel van een hectare vloeroppervlak een evenredig deel van drie vervuilingseenheden.

  • 2. Als in de loop van het kalenderjaar het gebruik van een in het eerste lid bedoelde bedrijfsruimte of onderdeel van een bedrijfsruimte dan wel van een deel daarvan door de heffingplichtige begint of eindigt, wordt hij in dat kalenderjaar voor die bedrijfsruimte of dat onderdeel, voor een evenredig gedeelte aan de heffing onderworpen.

  • 3. Een vervuilingswaarde voor de bedrijfsruimte of het onderdeel van een bedrijfsruimte, berekend op basis van het eerste of tweede lid van minder dan vijf vervuilingseenheden, wordt op drie vervuilingseenheden, en van één of minder dan één vervuilingseenheid op één vervuilingseenheid gesteld.

Artikel 10 Totale vervuilingswaarde bedrijfsruimte

De vervuilingswaarde van een bedrijfsruimte, wordt bepaald op de som van de aantallen vervuilingseenheden als berekend volgens de artikelen 5 tot en met 9, voor zover deze van toepassing zijn.

Artikel 11 Vervuilingswaarde kleine bedrijfsruimten

  • 1. In afwijking van het bepaalde in artikel 5, eerste lid, wordt de vervuilingswaarde van de stoffen, die vanuit een bedrijfsruimte worden geloosd, gesteld op drie vervuilingseenheden wanneer door de heffingplichtige aannemelijk is gemaakt dat die vervuilingswaarde minder dan vijf vervuilingseenheden bedraagt en op één vervuilingseenheid wanneer door de heffingplichtige aannemelijk is gemaakt dat die één vervuilingseenheid of minder bedraagt.

  • 2. De heffing voor het lozen vanuit bedrijfsruimten als bedoeld in het eerste lid is verschuldigd bij het begin van het heffingsjaar of, zo dit later is, bij het begin van de heffingsplicht.

  • 3. Als de aanslag in het heffingsjaar al is opgelegd voor drie vervuilingseenheden en de heffingplichtige aannemelijk maakt dat de vervuilingswaarde één vervuilingseenheid of minder bedraagt, bestaat aanspraak op vermindering. De heffingplichtige kan daartoe binnen zes weken na afloop van het heffingsjaar of, bij beëindiging van de heffingsplicht in de loop van het heffingsjaar, binnen zes weken na het einde van de heffingsplicht een aanvraag indienen bij de heffingsambtenaar.

Artikel 12 Vervuilingswaarde woonruimten

  • 1. In afwijking van het bepaalde in artikel 5, eerste lid, wordt de vervuilingswaarde van de stoffen die vanuit een woonruimte worden geloosd, gesteld op drie vervuilingseenheden. De vervuilingswaarde van de stoffen die vanuit een door één persoon gebruikte woonruimte worden geloosd bedraagt één vervuilingseenheid.

  • 2. Het eerste lid is niet van toepassing op de voor recreatiedoeleinden bestemde woonruimten die zich bevinden op een voor verblijfsrecreatie bestemd terrein dat zo wordt geëxploiteerd. De in de vorige volzin bedoelde woonruimten worden tezamen aangemerkt als één bedrijfsruimte dan wel als onderdeel van een bedrijfsruimte.

  • 3. Als de in het eerste lid bedoelde situatie dat een woonruimte wordt gebruikt door één persoon ontstaat in de loop van het heffingsjaar, dan wordt de vervuilingswaarde op één vervuilingseenheid gesteld met ingang van de eerste dag die volgt op de dag waarop die situatie is ontstaan.

  • 4. Als de in het derde lid bedoelde situatie ontstaat na de dagtekening van de aanslag, bestaat aanspraak op vermindering. De heffingplichtige kan daartoe binnen zes weken nadat de situatie is ontstaan een aanvraag indienen bij de heffingsambtenaar.

  • 5. De heffing voor woonruimten als bedoeld in het eerste lid is verschuldigd bij het begin van het heffingsjaar of, zo dit later is, bij het begin van de heffingsplicht.

  • 6. Wanneer de heffingsplicht als bedoeld in het vijfde lid in de loop van het heffingsjaar begint, is de heffing verschuldigd voor een evenredig aantal dagen dat er in het heffingsjaar, na het begin van de heffingsplicht, nog overblijft.

  • 7. Wanneer de heffingsplicht als bedoeld in het vijfde lid in de loop van het heffingsjaar eindigt, bestaat aanspraak op ontheffing voor een evenredig aantal dagen dat er in het heffingsjaar, na het einde van de heffingsplicht, nog overblijft.

  • 8. Als de in het zevende lid bedoelde situatie ontstaat na de dagtekening van de aanslag, bestaat aanspraak op ontheffing. De heffingplichtige kan daartoe binnen zes weken nadat de situatie is ontstaan een aanvraag indienen bij de heffingsambtenaar.

  • 9. Het zesde en zevende lid zijn niet van toepassing als de heffingplichtige het gebruik van de woonruimte beëindigt en direct aansluitend binnen het waterschap het gebruik krijgt van een woonruimte van waaruit eveneens wordt geloosd.

Artikel 13 Schatting

De heffingsambtenaar kan het aantal vervuilingseenheden in een kalenderjaar geheel of gedeeltelijk schatten wanneer door de heffingplichtige:

  • a.

    de meting, bemonstering en analyse niet of niet geheel heeft plaatsgevonden volgens de in deze verordening en Bijlage 1 opgenomen voorschriften;

  • b.

    het aantal vervuilingseenheden niet is berekend door meting, bemonstering en analyse en bepaling van de vervuilingswaarde op basis van artikel 8, eerste of vijfde lid, 9, eerste lid, 11, eerste lid, en 12, eerste lid, niet mogelijk is;

  • c.

    het aantal vervuilingseenheden niet is berekend door meting, bemonstering, bepaling van de vervuilingswaarde op basis van artikel 8, vijfde lid, wel mogelijk is, maar door de heffingplichtige gedurende het heffingsjaar geen verzoek als bedoeld in dat artikel is gedaan;

  • d.

    niet of niet geheel is voldaan aan de voorschriften, verbonden aan het in artikel 4, 5, 6 of 7 bedoelde besluit.

Artikel 14 Tarief

Het tarief bedraagt € 73,34 per vervuilingseenheid.

Hoofdstuk 3 Heffing en invordering

Artikel 15 Wijze van heffing

  • 1. De heffing wordt geheven bij wege van aanslag.

  • 2. Een aanslag van minder dan € 5,00, wordt niet opgelegd. Voor de toepassing van de vorige volzin wordt het totaal van de op één aanslagbiljet samengevoegde aanslagen aangemerkt als één aanslag.

Artikel 16 Betaaltermijnen

  • 1. In afwijking van artikel 9, eerste lid van de Invorderingswet 1990 dienen belastingaanslagen en beschikkingen inzake een bestuurlijke boete, met in achtneming van het overigens in dit artikel bepaalde, te worden betaald in één termijn die vervalt twee maanden na de dagtekening van het aanslagbiljet.

  • 2. In afwijking van het eerste lid van dit artikel worden belastingaanslagen en beschikkingen inzake een bestuurlijke boete waarvoor de belastingschuldige een machtiging heeft afgegeven om deze af te schrijven door middel van automatische incasso, afgeschreven in tien maandelijkse termijnen. Als de dagtekening van het aanslagbiljet is gelegen voor of op de 15de van een kalendermaand, vervalt de eerste incassotermijn nog in diezelfde kalendermaand. In alle andere gevallen vervalt de eerste incassotermijn aan het einde van de kalendermaand volgend op de kalendermaand waarin de dagtekening van het aanslagbiljet is gelegen.

  • 3. Indien het totaal te betalen bedrag zoals vermeld op het aanslagbiljet € 10,00 of minder bedraagt, wordt dit bedrag in afwijking van het tweede lid van dit artikel in één termijn afgeschreven twee maanden na dagtekening van het aanslagbiljet.

  • 4. De Algemene termijnenwet is niet van toepassing op de in dit artikel gestelde termijnen.

Artikel 17 Aangifte

  • 1. Het uitnodigen tot het doen van aangifte gebeurt door het uitreiken of toesturen van een aangiftebiljet of een aangiftebrief.

  • 2. Het doen van aangifte gebeurt door het inleveren of toesturen van het uitgereikte aangiftebiljet met de daarbij gevraagde documenten of het op elektronische wijze toesturen van de door de programmatuur gevraagde gegevens.

Hoofdstuk 4 Slotbepalingen

Artikel 19 Intrekken oude verordening

De Verordening verontreinigingsheffing waterschap Rijn en IJssel 2025, vastgesteld bij besluit van 5 november 2024, wordt ingetrokken met ingang van 1 januari 2026, met dien verstande dat zij van toepassing blijft op de belastbare feiten die zich voor die datum hebben voorgedaan.

Artikel 20 Inwerkingtreding en citeertitel

  • 1. Deze verordening treedt in werking met ingang van de achtste dag na die van de bekendmaking.

  • 2. De datum van ingang van de heffing is 1 januari 2026.

  • 3. De in Bijlage 1 genoemde normbladen liggen ter inzage op het kantoor van Waterschap Rijn en IJssel, Liemersweg 2 te Doetinchem.

  • 4. Deze verordening wordt aangehaald als Verordening verontreinigingsheffing waterschap Rijn en IJssel 2026.

Ondertekening

Aldus vastgesteld in de vergadering van het algemeen bestuur van het waterschap Rijn en IJssel van 4 november 2025 te Doetinchem.

mr. G.A. Karssenberg MBA

secretaris-directeur

drs. H.Th.M. Pieper

dijkgraaf

Bijlage 1 behorende bij de Verordening verontreinigingsheffing waterschap Rijn en IJssel (voorschriften voor meting, bemonstering, analyse en berekening)

Inhoudsopgave

Definitiebepalingen

  • A.

    Wijze van meting, bemonstering en monsterbehandeling

    Paragraaf A.1 Algemeen

    Paragraaf A.2 Meting

    A.2.1 Doorstroomsnelheid

    A.2.2 Inbouw en instellingen debietmeter

    A.2.3 Verificatie (controle debietmeter)

    A.2.4 Verificatierapport

    A.2.5 Kalibratie (controle meetsysteem)

    A.2.6 Kalibratiecertificaat

    Paragraaf A.3 Bemonstering

    Paragraaf A.4 Monsterbehandeling

    A.4.1 Algemeen

    A.4.2 Conservering en maximale bewaartermijn

  • B.

    Analysevoorschriften

    Paragraaf B.1 Algemeen

    Paragraaf B.2 Analyse

  • C.

    Berekeningsvoorschriften

    Paragraaf C.1 Berekeningswijze van het aantal vervuilingseenheden

    Paragraaf C.2 Berekeningswijze van het aantal etmalen

    Paragraaf C.3 Correctie ingenomen oppervlaktewater

  • D.

    Hoedanigheidscorrectie (artikel 7)

    Paragraaf D.1 De aanvraag

    Paragraaf D.2 Het onderzoek

    Paragraaf D.3 De berekening

    D.3.1 Toxiciteit

    Paragraaf D.4 De frequentie

Definitiebepalingen

In deze bijlage wordt verstaan onder:

  • a.

    aantoonbaarheidsgrens: de laagste concentratie van een component in het monster waarvan de aanwezigheid nog met een bepaalde betrouwbaarheid kan worden vastgesteld, zijnde driemaal de spreiding van binnen laboratoriumreproduceerbaarheid;

  • b.

    bewaartermijn: de periode tussen het einde van het etmaal en het nemen van het etmaalverzamelmonster en de conserveringstermijn;

  • c.

    conserveringstermijn: de periode tussen het nemen van het monster en het zekerstellen van het gehalte, zijnde het begin van de voorbehandeling ten behoeve van de uitvoering van de analyse;

  • d.

    debiet: de hoeveelheid volume geloosd afvalwater gedurende het etmaal;

  • e.

    debietmeter: vloeistofmeter waarmee (bijvoorbeeld met magnetische inductie) het debiet gemeten wordt;

  • f.

    etmaal: een aaneengesloten periode van 24 uur;

  • g.

    etmaalverzamelmonster: een verzamelmonster dat wordt samengesteld in een etmaal;

  • h.

    gesloten meetsysteem: systeem dat het debiet meet in een gesloten (druk)leiding waarbij het afvalwater niet in contact staat met de buitenlucht;

  • i.

    ingesteld meetbereik: het meetbereik waarop een debietmeter is ingesteld;

  • j.

    in-situ kalibratie: een kalibratie in ingebouwde toestand in het bestaande meetsysteem;

  • k.

    justeren: het softwarematig aanpassen van (een) correctiefactor(en)/meterconstante(n)/het nulpunt;

  • l.

    kalibreren: bepalen van de afwijking van een debietmeter ten opzichte van de van toepassing zijnde standaard waarbij een nauwkeurig bekende hoeveelheid vloeistof door de debietmeter/het meetsysteem wordt geleid;

  • m.

    meetbereik: totale bereik van de debietmeter (zoals opgegeven door de fabrikant);

  • n.

    meetcyclus: de specifieke opstelling en procedure die wordt gebruikt om nauwkeurige metingen te verrichten, met inbegrip van de fysieke opstelling van de meetapparatuur, de kalibratie van de instrumenten en het verzamelen en analyseren van de gemeten data;

  • o.

    momentaan debiet: de actuele hoeveelheid water;

  • p.

    normale bedrijfsomstandigheden: de operationele omgeving waarbij sprake is van omstandigheden waaronder de debietmeter normaal functioneert;

  • q.

    open meetsysteem: meetsysteem waarbij het oppervlak van het stromende afvalwater in contact staat met de buitenlucht;

  • r.

    referentiemeter: debietmeter, waarvan de installatie kan worden herleid naar de nationale volumestandaard van een aangewezen instantie als bedoeld in artikel 12 van de Metrologiewet;

  • s.

    verificatie: het controleren van een debietmeter door het elektronisch nabootsen van het meetsignaal;

  • t.

    verzamelmonster: monster dat is samengesteld in een vooraf vastgestelde periode dat wordt verkregen door (deel)monsters die op basis van volume of tijd zijn genomen;

  • u.

    werkgebied: het meetbereik van de te verifiëren en/of te kalibreren debietmeter onder normale bedrijfsomstandigheden.

A. Wijze van meting, bemonstering en monsterbehandeling

Paragraaf A.1 Algemeen

In deze paragraaf worden enkele voorschriften gegeven die gelden bij de wijze van meting, de wijze van monstername en –behandeling. Hierbij gelden de volgende algemene eisen:

  • De meet- en bemonsteringsvoorzieningen verkeren in een goede staat, worden regelmatig schoongemaakt en zijn altijd goed en veilig toegankelijk.

  • De meet- en monsternemingstoestellen en hulpmiddelen worden volgens onderstaande bepalingen respectievelijk NEN 6600-1:2019 nl geïnstalleerd en onderhouden.

  • Een afvalwaterstroom kan zowel in een open als in een gesloten meetsysteem worden gemeten en bemonsterd. Voor het bepalen van de hoeveelheid afvalwater is meting met een gesloten meetsysteem in beginsel de toe te passen methode.

In paragraaf A.2 wordt nader ingegaan op de meting en in paragraaf A.3 op de bemonstering. In paragraaf A.4 wordt nader ingegaan op de monsterbehandeling.

Paragraaf A.2 Meting

Meting heeft tot doel de hoeveelheid afvalwater per etmaal (het debiet) vast te stellen. Het debiet wordt in de afvalwaterstroom gemeten. Als het niet mogelijk is om het debiet in de afvalwaterstroom te meten kan het debiet in plaats daarvan worden bepaald op basis van meting van de hoeveelheid water in het watertoevoersysteem van de bedrijfsruimte of een onderdeel daarvan. In het laatstbedoelde geval mag de per etmaal geloosde hoeveelheid afvalwater niet groter zijn dan de in dezelfde periode toegevoerde hoeveelheid water. Afvalwater kan zowel onder druk (met pompen) of onder vrij verval worden geloosd.

De totaalteller waarmee registratie plaatsvindt mag niet worden gereset. Registratie van momentane meetgegevens en etmaalgegevens vindt plaats met een printer of datalogger of andere vorm van geautomatiseerd registratiesysteem. Het meetsignaal van het registratiesysteem moet overeenkomen met het meetsignaal van de debietmeter.

A.2.1 Doorstroomsnelheid

Voor een betrouwbare meting in een gesloten meetsysteem is de doorstroomsnelheid van het afvalwater van belang.

Voor het bepalen van de geschiktheid van de debietmeter moet het debiet (als groter dan nul) van de te meten stroom in 95% van de tijd (etmaal) binnen het minimale en maximale debiet van de debietmeter liggen.

A.2.2 Inbouw en instellingen debietmeter

Bij nieuwe debietmeters wordt een ‘af fabriek’ kalibratiecertificaat meegeleverd waarop de meterspecifieke kalibratiefactoren zoals diameter, nulpunt, kalibratiefactor(en) en/of meterconstante(s) staat aangegeven. Kalibratie van het meetsysteem vindt zo snel mogelijk plaats na inwerkingstelling van de debietmeter.

Voor het uitvoeren van een representatieve meting verkeert de debietmeter en het meetsysteem in goede staat en wordt het meetsysteem goed onderhouden.

Het is niet toegestaan om (meet)apparatuur zo in te stellen, instellingen te veranderen of te corrigeren zodat feitelijke onjuistheden kunnen ontstaan in de verkregen (meet)gegevens.

Aan de inbouw van een debietmeter in een gesloten systeem worden de volgende eisen gesteld:

  • a.

    De debietmeter wordt volgens de voorschriften van de fabrikant geïnstalleerd.

  • b.

    Bij het inbouwen wordt rekening gehouden met de mogelijkheid tot het uitvoeren van een kalibratie in ingebouwde toestand op de locatie waar de debietmeter wordt ingezet.

  • c.

    De debietmeter is zo geïnstalleerd dat terugstroming wordt voorkomen.

  • d.

    Luchtinsluiting in de afvalwaterstroom vanuit de atmosfeer moet worden voorkomen.

  • e.

    Onder normale bedrijfsomstandigheden staat de ‘low-flow’ of ‘max-flow’ cutoff van een debietmeter ‘uit’. Als het noodzakelijk is dergelijke instellingen te wijzigen moet dit voorafgaand aan de aanpassingen gemotiveerd aan de heffingsambtenaar kenbaar worden gemaakt.

  • f.

    Het meetbereik van de debietmeter moet afgestemd zijn op het geloosde debiet onder normale bedrijfsomstandigheden.

  • g.

    Als er sprake is van een defect aan de debietmeter en/of het meetsysteem wordt deze in goede staat gebracht waarna er opnieuw een in-situ kalibratie van de debietmeter plaatsvindt.

A.2.3 Verificatie (controle debietmeter)

Ten minste éénmaal per jaar wordt de debietmeter geverifieerd, tenzij in dat jaar een kalibratie (A.2.5) plaatsvindt.

Aan de verificatie worden de volgende eisen gesteld:

  • a.

    Bij een verificatie wordt de weerstand tussen de elektroden en ten opzichte van aarde gemeten.

  • b.

    Bij de verificatie wordt ook de werking van randapparatuur, voor zover die betrokken is bij de registratie van de meetgegevens, op een juiste werking gecontroleerd.

  • c.

    Als uit de verificatie blijkt dat de meetbuis (mogelijk) vervuild is, wordt deze gereinigd. Na reiniging wordt de verificatie opnieuw uitgevoerd.

  • d.

    Als de debietmeter voor de reiniging moet worden uitgebouwd en/of als uit de verificatie blijkt dat het aannemelijk is dat de afwijking groter is dan ± 5% wordt de debietmeter direct opnieuw in ingebouwde toestand gekalibreerd.

A.2.4 Verificatierapport

Van een debietmeter moet het meest recente rapport van een verificatie worden overlegd.

Dit rapport bevat:

  • datum en tijdstip waarop de verificatie is uitgevoerd;

  • de controlebevindingen van de verificatie, inclusief de ruwe meetdata;

  • de specificaties en instellingen van de debietmeter en randapparatuur voor zover die betrokken is bij de registratie van de meetgegevens;

  • de ‘as-found’ en ‘as–left’ rapportage (met meetwaarde(n) en afwijking(en) voor en na eventuele aanpassing).

A.2.5 Kalibratie (controle meetsysteem)

Voor referentiemeters en mobiele meetsets (waaronder meetwagens) vindt de kalibratie jaarlijks plaats in ingebouwde toestand bij minimaal de volgende meetpunten: 10%, 25%, 50%, 75% en 100% van het maximale meetbereik bij een voor vloeistofmeters RvA-geaccrediteerde instantie, waarvan de installatie kan worden herleid naar de nationale volumestandaard van een aangewezen instantie als bedoeld in artikel 12 van de Metrologiewet.

Verder worden de volgende eisen gesteld aan de kalibratie van de referentiemeter:

  • a.

    De kalibratie van de referentiemeter vindt plaats op een installatie van een voor vloeistofmeters RvA-geaccrediteerde instantie. Ook wanneer de referentiemeter nieuw is, wordt deze gekalibreerd, waarbij de meter is ingebouwd in de meetset of meetwagen waarin deze in de praktijk zal worden ingezet.

  • b.

    Het minimale debiet waarop de referentiemeter gekalibreerd is, is kleiner dan het minimale debiet van de te kalibreren debietmeter waarbij deze de opgegeven precisie haalt.

  • c.

    Het maximale debiet waarop de referentiemeter gekalibreerd is, is groter dan het maximale debiet van het ingestelde meetbereik van de te kalibreren debietmeter.

  • d.

    Het kalibratiecertificaat van de referentiemeter, waaruit het onder d bepaalde moet blijken, mag niet ouder zijn dan 12 maanden. Dit kalibratiecertificaat wordt bij die van het gekalibreerde meetsysteem bewaard.

Verder worden aan de te kalibreren debietmeter de volgende eisen gesteld:

  • e.

    Minimaal éénmaal per drie jaar worden gesloten meetsystemen in ingebouwde toestand gekalibreerd op een door de heffingsambtenaar vooraf goedgekeurde methode. Hiertoe wordt uiterlijk 6 weken voor de kalibratie een voorstel tot uitvoering van kalibratie (kalibratieplan) ter goedkeuring bij de heffingsambtenaar ingediend. Dit kalibratieplan bevat in elk geval:

    • gegevens over de wijze van lozen en de aanwezige voorzieningen en randapparatuur;

    • gegevens over de minimale en maximale lozing en de lozing onder normale bedrijfsomstandigheden

    • specificaties van de te kalibreren debietmeter en de toe te passen referentiemeter;

    • kalibratiecertificaat van de referentiemeter;

    • een omschrijving/overzicht van de wijze van uitvoer van kalibratie inclusief datum en tijdstip(pen) waarop de kalibratie wordt uitgevoerd en vermelding van eventuele aanpassingen aan de debietmeter en/of het meetsysteem;

    • de manier waarop rapportage plaatsvindt.

  • f.

    In het jaar van kalibratie hoeft niet ook een verificatie te worden uitgevoerd.

  • g.

    De kalibratie vindt plaats in het werkgebied waarin de te kalibreren debietmeter onder normale bedrijfsomstandigheden functioneert.

  • h.

    De kalibratie vindt plaats door:

    • een vooraf nauwkeurig bepaalde hoeveelheid (afval)water door de te kalibreren debietmeter te leiden (waarbij deze hoeveelheid is vastgesteld bij een voor vloeistofmeters RvA-geaccrediteerde instantie); of

    • een tweede, bij voorkeur op hetzelfde meetprincipe gebaseerd meetsysteem in serie te plaatsen die fungeert als referentiemeter; of

    • op een andere, door de heffingsambtenaar goedgekeurde methode.

  • i.

    Tijdens de kalibratie(s) wordt zoveel (afval)water door het te kalibreren meetsysteem geleid, dat minimaal 2.000 waarnemingen worden bereikt, waarbij de tijdsduur van de kalibratie minimaal 25 minuten bedraagt. Wanneer nodig kan hiertoe – in overleg met de heffingsambtenaar – voor de kalibratieperiode de pulsinstelling tijdelijk aangepast worden.

  • j.

    Om te kunnen vaststellen of de debietmeter binnen het werkgebied goed functioneert, wordt bij kalibratie op één of meerdere vaste meetbereiken de herhaalbaarheid van de meter aangetoond. Als sprake is van lozing van afvalwater met een constant debiet (bijvoorbeeld pomp aan/uit) vindt dit plaats door het uitvoeren van 3 meetcycli op elk gekozen meetbereik. Elke meetcyclus is gedefinieerd als een kalibratie en voldoet aan de onder h gestelde voorwaarden. De afwijking per meetcyclus mag niet groter zijn dan ± 5%.

  • k.

    Bij het gebruik van een referentiemeter kunnen de normale bedrijfsomstandigheden worden beïnvloed. Hierbij wordt een maximaal verschil van 10% ten opzichte van het maximaal momentane debiet onder “normale bedrijfsomstandigheden” toegestaan.

  • l.

    Tijdens de kalibratie worden de gemeten hoeveelheden (afval)water van de te kalibreren debietmeter (én van de referentiemeter, wanneer daarvan sprake is) met printers of dataloggers continu geregistreerd. In geval van het toepassen van dataloggers worden ook de ruwe, onbewerkte data bij het kalibratiecertificaat gevoegd.

  • m.

    Bij de kalibratie wordt ook de randapparatuur, voor zover die betrokken is bij de registratie van de meetgegevens, op een juiste werking gecontroleerd.

  • n.

    Als blijkt dat de gemeten hoeveelheid (afval)water meer dan 5% afwijkt van de werkelijke hoeveelheid (afval)water, zoals gesteld in artikel 5, derde lid onder a van deze verordening, vindt nader onderzoek plaats naar de oorzaak van de afwijking. Eventuele justering van de debietmeter vindt plaats na uitbouw van de meter op een installatie van een voor vloeistofmeters RvA-geaccrediteerde instantie, waarna (opnieuw) een in-situ kalibratie plaatsvindt (“as left”). Een rapportage van het justeren wordt bij het kalibratiecertificaat gevoegd.

A.2.6 Kalibratiecertificaat

Van een debietmeter moet het meest recente kalibratiecertificaat kunnen worden overgelegd. Bij een kalibratie in ingebouwde toestand (dat wil zeggen: ter plekke op het bedrijf, of als complete mobiele meetset op een testbank van een voor vloeistofmeters RvA-geaccrediteerde instantie), worden de volgende aspecten vastgesteld én gerapporteerd op het kalibratiecertificaat:

  • datum en tijdstip waarop de kalibratie is uitgevoerd;

  • de controlebevindingen van de kalibratie, inclusief ruwe meetdata;

  • de specificaties en instellingen van de debietmeter en randapparatuur voor zover die betrokken is bij de registratie van de meetgegevens;

  • de instellingen van de referentiemeter;

  • de ‘as–found’ meetafwijking (de gevonden meetwaarde(n) en afwijking(en) vóor aanpassing);

  • eventuele soft- en/of hardwarematige aanpassingen die hebben plaatsgevonden aan de debietmeter, het meetsysteem en/of de registratie;

  • als justering heeft plaatsgevonden: de nieuwe correctiefactor/meterconstante;

  • de ‘as–left’ meetafwijking (de meetwaarde(n) en afwijking(en) na eventuele aanpassing).

Paragraaf A.3 Bemonstering

De bemonstering vindt plaats met behulp van automatische monsternameapparatuur. De bemonstering vindt plaats volgens NEN 6600-1:2019 nl, met dien verstande dat bemonstering door steekbemonstering niet is toegestaan, tenzij anders is bepaald door de heffingsambtenaar.

Paragraaf A.4 Monsterbehandeling

A.4.1 Algemeen

De monsterbehandeling vindt plaats volgens NEN 6600-1:2019 nl. Conform paragraaf 9 van deze norm worden de monsters direct na bemonstering geconserveerd, verpakt en getransporteerd volgens NEN-EN-ISO 5667-3:2024 en. De monsters worden gekoeld en in het donker bewaard tussen 1° en 5° C.

Na vullen van de monsterflessen wordt van het verzameld etmaalmonster een representatief deel gedurende 24 uur in een goed gesloten vat/fles in het donker bewaard tussen 1° en 5° C voor contra-analyse door de heffingsambtenaar. Indien het monster een ‘vrijdag-zaterdagmonster’ en/of ‘zaterdag-zondagmonster’ betreft wordt het monster minimaal beschikbaar gehouden tot maandagochtend 12:00 uur (of zoveel langer als de bovengenoemde 24-uurstermijn vereist). De monsterflessen bestemd voor analyse door de heffingplichtige en voor contra-analyse door de heffingsambtenaar worden om en om gevuld. Op deze wijze wordt bewerkstelligd dat het monster voor de analyse op een heffingsparameter door de heffingplichtige en voor de contra-analyse waarom het gaat door de heffingsambtenaar zoveel mogelijk identiek zijn.

A.4.2 Conservering en maximale bewaartermijn

De verkregen monsters worden tot en met het einde van de bewaartermijn gekoeld zoals aangegeven in tabel A onder omgevingstemperatuur en geconserveerd op de wijze zoals is aangegeven in tabel A. Als een monster uit het etmaalverzamelmonster wordt ingevroren of chemisch geconserveerd, geschiedt dit binnen twaalf uur na monstername. De eventuele voorschriften over chemische conservering gelden in aanvulling op de voorschriften over de conserveringstemperatuur gedurende de bewaartermijn.

In tabel A zijn tevens de maximale conserveringstermijnen opgenomen die gelden voor de onderscheidenlijk uit te voeren analyses. De voorbehandeling ten behoeve van een analyse vangt na monstername uit het verzamelvat aan, binnen de maximale conserveringstermijn die bij de desbetreffende analyse in tabel A is vermeld. De voorbehandeling van het monster bestemd voor de analyse, waaronder onder meer wordt begrepen het ontdooien van bevroren monsters, wordt uitgevoerd op een wijze en binnen een termijn dat daardoor de representativiteit van het monster niet wordt verstoord. Een monster dat op één van de in tabel A aangegeven wijzen chemisch is geconserveerd wordt niet gebruikt voor één van de in tabel A opgenomen wijzen van analyse, waarvoor op basis van tabel A geen of andere voorschriften op het vlak van de chemische conservering gelden.

Tabel A

Voor analyse op

Omgevingstemperatuur

Methode conservering

Maximale conserveringstermijn

tijdens

transport

tot einde

bewaartermijn

totaal organisch koolstof (TOC)

tussen 2 en 8 oC

tussen 1 en 5 oC

Koelen en aanzuren tot pH < 2

8 dagen

<-18 °C

Invriezen binnen 12 uur

1 maand

totaal gebonden stikstof (TNb)

tussen 2 en 8 oC

tussen 1 en 5 oC

Koelen en aanzuren tot pH < 2

8 dagen

<-18 °C

Invriezen binnen 12 uur

1 maand

som nitriet- en nitraatstikstof (TON)

tussen 2 en 8 oC

tussen 1 en 5 oC

Filtreren

4 dagen

som totaal gebonden stikstof verminderd met nitriet- en nitraatstikstof (TNb-TON)

tussen 2 en 8 oC

tussen 1 en 5 oC

Koelen en aanzuren met H2S04 tot pH < 2

8 dagen

<-18 °C

Invriezen binnen 12 uur

1 maand

chemisch zuurstofverbruik (CZV)

tussen 2 en 8 oC

tussen 1 en 5 oC

Koelen en aanzuren met H2S04 tot pH < 2

6 maanden

<-18 °C

Invriezen binnen 12 uur

6 maanden

biochemisch zuurstofverbruik (BZV)

tussen 2 en 8 oC

tussen 1 en 5 oC

Koelen onder uitsluiting van licht

1 dag

<-18 oC

Invriezen binnen 12 uur

1 maand (als BZV ≤ 50 mg/L)

6 maanden (als BZV >50 mg/L)

Het biochemisch zuurstofverbruik is weliswaar geen heffingsparameter voor de verontreinigingsheffing, maar wordt aangewend bij toepassing van berekeningsvoorschrift D.3 van onderdeel D van deze bijlage. Op grond van dit berekeningsvoorschrift wordt de methode van het biochemisch zuurstofverbruik toegepast voor de bepaling van het percentage chemisch zuurstofverbruik van de biologisch niet of nagenoeg niet afbreekbare stoffen.

B. Analysevoorschriften

Paragraaf B.1 Algemeen

De analyses worden uitgevoerd in het representatieve monster, dat is verkregen op de in onderdeel A van deze bijlage vermelde wijze. Het onderzoek wordt in het water uitgevoerd zonder dat daaruit bezinkbare of opdrijvende bestanddelen zijn verwijderd.

Er is in dit onderdeel verwezen naar normbladen, uitgegeven door het Nederlands Normalisatie Instituut (NEN). Bij wijziging in/van een normblad gedurende het kalenderjaar wordt voor de toepassing van deze verordening deze wijziging eerst van kracht op 1 januari van het jaar volgende op de wijziging.

De in tabel B vermelde aantoonbaarheidsgrenzen zijn de concentraties van de stoffen waarom het gaat die bij de analyse ten minste aangetoond moeten kunnen worden.

Paragraaf B.2 Analyse

De analyse van het monster vindt plaats op de wijze zoals die is aangegeven in tabel B.

Tabel B

Parameter/stof/methode/test

Ontsluiting volgens normblad

Meting volgens normblad

Aantoonbaarheidsgrens

totaal organisch koolstof (TOC)

NEN-EN-ISO 20236:2024 en

1 mg/L

totaal gebonden stikstof (TNb)

NEN-EN-ISO 20236:2024 en

1 mg/L

som nitriet- en nitraatstikstof (TON)

NEN-EN-ISO 13395:1997 nl; of NEN-EN-ISO 15923-1:2024 en

0,1 mg/L

som totaal gebonden stikstof verminderd met nitriet- en nitraatstikstof (TNb-TON)

NEN 6645:2005 nl 1)

NEN-EN-ISO 15923-1:2024

0,5 mg/L

NEN 6646+C1:2015 nl

NEN-EN-ISO 11732:2005 en

opgelost organisch koolstof (DOC)

NEN-EN-ISO 20236:2024 en

1 mg/L

chemisch zuurstofverbruik (CZV)

NEN 6633:2006 nl of NEN-ISO 15705:2003 en 2)

5 mg/L 3)

biochemisch zuurstofverbruik (BZV)

NEN-EN-ISO 5815-1:2019 en

volgens norm; 1 mg/L

Zahn-Wellens test

NEN-EN-ISO 9888:1999 en

NEN-EN-ISO 9888:1999 en

volgens norm

Respiratieremmingstest (toxiciteitstest)

NEN-EN-ISO 8192:2007 en

NEN-EN-ISO 8192:2007 en

volgens norm

  • 1)

    Voor het bepalen van de som totaal gebonden stikstof verminderd met nitriet- en nitraatstikstof (TNb-TON) mag de analyse alleen volgens normblad NEN 6645:2005 nl plaatsvinden als TNb groter is dan 10 mg N/L en voor meer dan 30% bestaat uit TON.

  • 2)

    De analyse volgens normblad NEN-ISO 15705:2003 en is toepasbaar voor onverdunde monsters met een gehalte aan zuurstofverbruik tot aan 1.000 mg/L en chlorideconcentratie die lager zijn dan 1.000 mg/L. De heffingsambtenaar kan verder de methode niet toepasbaar verklaren als naar zijn oordeel andere omstandigheden daartoe aanleiding geven.

  • 3)

    De analyse volgens normblad NEN-ISO 15705:2003 en heeft een aantoonbaarheidsgrens van 6 mg/L voor fotometrische detectie bij 600nm en 15 mg/L voor titrimetrische detectie (gebaseerd op één enkelvoudige meting van één laboratorium) wanneer cuvetten worden gebruikt met een bereik van maximaal 1.000 mg/L.

C. Berekeningsvoorschriften

Paragraaf C.1 Berekeningswijze van het aantal vervuilingseenheden

Het aantal vervuilingseenheden voor het zuurstofverbruik wordt berekend door het totale aantal kilogrammen zuurstofverbruik van de in het kalenderjaar geloosde zuurstofbindende stoffen te delen door 54,8 kilogram.

Het aantal kilogrammen zuurstofverbruik van de gedurende een etmaal geloosde zuurstofbindende stoffen wordt berekend volgens de formule:

Q X (3 X TOC + 4,57 X (TNb - TON))

1000

Met dien verstande dat als op grond van artikel 4 de verhouding tussen het chemisch zuurstofverbruik en het gehalte totaal organisch koolstof in de geloosde stoffen op een afwijkende factor dan 3 is vastgesteld, in bovenstaande formule de factor 3 wordt vervangen door deze vastgestelde factor.

In deze formule wordt verstaan onder:

Q: het aantal m³ geloosd afvalwater per etmaal;

TOC: het totaal organisch koolstof bepaald volgens de in onderdeel B van deze bijlage vermelde analysevoorschriften, in mg/L;

TNb: het totaal gebonden stikstof volgens de in onderdeel B van de in deze bijlage vermelde analysevoorschriften, in mg/L;

TON: de som van nitriet-stikstof en nitraat-stikstof volgens de in onderdeel B van de in deze bijlage vermelde analysevoorschriften, in mg/L.

Paragraaf C.2 Berekeningswijze van het aantal etmalen

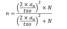
Bij de bepaling van het aantal etmalen in artikel 6, wordt gebruik gemaakt van de volgende formule:

afbeelding binnen de regeling

In deze formule wordt verstaan onder:

n: het berekende aantal meetdagen;

N: het aantal dagen per jaar waarop wordt geloosd;

tso: toelaatbare statistische onnauwkeurigheid = 35/e 0,000175*VeO, waarbij:

VeO: vervuilingswaarde van de geloosde zuurstofbindende stoffen.

σn: spreidingspercentage in de meetwaarden, uitgedrukt ten opzichte van de gemiddelde hoeveelheid zuurstofverbruik van de onderzoeksresultaten gedurende het heffingsjaar;

Paragraaf C.3 Correctie ingenomen oppervlaktewater

Als door een bedrijf water wordt onttrokken uit een oppervlaktewaterlichaam in beheer bij het waterschap en dit water vervolgens weer wordt geloosd in een oppervlaktewaterlichaam in beheer bij het waterschap, worden voor de berekening van de vervuilingswaarde de hoeveelheden verontreinigende stoffen, aanwezig in het onttrokken water en vervolgens weer geloosde water, in mindering gebracht op de hoeveelheden van die stoffen in het geloosde water, met dien verstande dat deze vermindering niet mag leiden tot een negatieve waarde.

D. Hoedanigheidscorrectie (artikel 7)

Paragraaf D.1 De aanvraag

De hoedanigheidscorrectie (hierna: T-correctie) vindt plaats op aanvraag van de heffingplichtige. Deze aanvraag bevat in elk geval de volgende onderdelen:

  • a.

    een omschrijving van de afvalwaterstromen waarvoor hoedanigheidscorrectie wordt aangevraagd;

  • b.

    de wijze van meten, bemonsteren en analyseren;

  • c.

    de frequentie van meten, bemonsteren en analyseren;

  • d.

    de naam van de partij of personen die het onderzoek uitvoeren met een verklaring dat deze partij of personen geaccrediteerd zijn voor het uitvoeren van de gevraagde handelingen of aantoonbare ervaring heeft met de proeven die worden aangevraagd.

  • e.

    het type uit te voeren toxiciteitstesten, biodegradatieonderzoeken en te volgen methodieken, zoals eventuele voorbehandelingsmethoden;

  • f.

    het aantal uit te voeren biodegradatieonderzoeken waarbij de f-factor wordt bepaald;

  • g.

    de herkomst van het entmateriaal ten behoeve van de biodegradatieonderzoeken van welke zuiveringsinstallatie entslib of effluent wordt gebruikt, dat te gebruiken is in een onderzoek naar het biologisch zuurstofverbruik en bijbehorende toxiciteitstest;

Paragraaf D.2 Het onderzoek

Er zijn twee typen biodegradatieonderzoeken met bijbehorende toxiciteitstesten. De keuze tussen deze twee wordt bepaald op basis van de grenswaarde voor de totale hoeveelheid organische koolstof (TOC) in het te onderzoeken afvalwater. Deze grenswaarde is 33 mg/L.

  • Bij een TOC kleiner dan deze grenswaarde wordt het biodegradatieonderzoek BZV19 toegepast.

  • Bij een TOC gelijk aan of groter dan 33 mg/L wordt de Zahn-Wellens test toegepast.

In beide gevallen vindt onderzoek plaats op het gefiltreerde deel van het monster. Filtratie vindt plaats over een 0,45 µm filter. Als de frequentie van het onderzoek naar de T-correctie afwijkt van de frequentie als bedoeld in artikel 5, tweede lid, of de frequentie die met toepassing van artikel 6 is bepaald, moet ook op de etmalen die zijn voorgeschreven in de beschikking als bedoeld in voornoemde artikelen de TOC van het afvalwater geanalyseerd worden in zowel het ongefiltreerde als het gefiltreerde monster (0,45 µm). Hiermee wordt de factor bepaald voor welk deel van het monster de T-correctie kan worden toegepast.

BZV19 onderzoek

Bij een BZV19 onderzoek gelden de volgende meetdagen: 0, 5, 7, 9, 12, 15, 19.

Bij het onderzoek wordt commercieel verkrijgbaar geschikt entmateriaal toegepast of entwater van een willekeurige rioolwaterzuiveringsinstallatie gebruikt. De voorwaarde is dat hetzelfde entmateriaal gebruikt wordt als bij de toxiciteitstest (zie onderdeel D.3.3).

Er wordt geen gebruik gemaakt van entwater afkomstig van een eventueel aanwezige eigen biologische zuivering van de heffingplichtige. De reden hiervoor is dat de restverontreiniging in het effluent niet of zeer moeilijk biologisch afbreekbaar kan zijn. De aanwezige bacteriën van de eigen biologische zuivering zijn volledig ingesteld op het aanbod van bedrijfsspecifieke stoffen dit in tegenstelling tot een rioolwaterzuiveringsinstallatie.

De biochemische afbraak van organisch materiaal wordt als volgt beschreven.

Bij de afleiding van BZV19 dient altijd uitgegaan te worden van een eerste orde reactie. In de praktijk kan echter een afwijking ontstaan waardoor een pseudo eerste orde reactielijn ontstaat.

De snelheid waarmee zuurstof door bacteriën wordt gebruikt (de snelheid waarmee het gemeten BZV toeneemt in de tijd) is evenredig aan de hoeveelheid nog in het water aanwezige organisch materiaal. De afbraaksnelheid neemt namelijk af in de tijd.

Dit betekent dat de afbraak verloopt volgens de reactievergelijking:

afbeelding binnen de regeling

Stel dat de BZV5 het BZV is op het tijdstip t=0, dus bij het begin van de BZV19 bepaling. Het BZV op het tijdstip t=n dagen op BZV19. De toename van de BZV gedurende de tijd n is BZV19 - BZV5. De evenredigheidsconstante k is te vergelijken met een snelheidsconstante bij chemische reacties. De dimensie van k = tijd-1.

Hieruit volgt:

afbeelding binnen de regeling

Door nu grafisch de Ln(BZVn/BZV5) uit te zetten tegen 1/t kan de Ln(BZV19/BZV5) worden afgelezen op het snijpunt van de y–as, en daarmee BZV19 worden berekend. Door middel van lineaire regressie is het snijpunt op de y-as te berekenen. De regressie wordt uitgevoerd op de analyseresultaten vanaf BZV5 tot en met BZV19.

Triplo en duplo metingen van de verschillende BZV verdunningen dienen gemiddeld te worden, tenzij blijkt dat een meting aantoonbaar onjuist is.

Als de BZV19 is bepaald, is het mogelijk om de T-correctie te bepalen. Het onafbreekbaarheidspercentage T wordt bepaald met:

3 X TOC - BZV19

3 X TOC

Als de TOC-waarde voor ten minste 25% afkomstig is van biologisch niet of nagenoeg niet afbreekbare stoffen in het afvalwater, wordt op die waarde een correctie toegepast door deze te vermenigvuldigen met de breuk:

100 - T

75

waarbij:

T = het percentage TOC afkomstig van biologisch niet of nagenoeg niet afbreekbare stoffen, hierna het onafbreekbaarheidspercentage genoemd.

Zahn-Wellens test

Er wordt actief slib gebruikt van een willekeurige rioolwaterzuiveringsinstallatie. De voorwaarde is dat hetzelfde actief slib gebruikt wordt als bij de toxiciteitstest (zie onderdeel D.3.1). Er mag geen gebruik gemaakt worden van actief slib afkomstig van een eventueel aanwezige eigen biologische zuivering van de heffingplichtige. De reden hiervoor is dat de restverontreinigingen in het effluent niet of zeer moeilijk biologisch afbreekbaar kunnen zijn. De aanwezige bacteriën in het actief slib van de eigen biologische zuivering zijn volledig ingesteld op het aanbod van bedrijfsspecifieke stoffen dit in tegenstelling tot een rioolwaterzuiveringsinstallatie.

Het onafbreekbaarheidspercentage T wordt met een Zahn-Wellens test berekend met:

3 X TOCt = eind

3 X TOCt = 0

Het gaat hierbij om de opgeloste organische koolstof (DOC).

Toepassing f-factor

Als niet gedurende elk etmaal, of elk etmaal volgens de beschikking op grond van artikel 6, analyse plaatsvindt kan niet van elke analyse nauwkeurig bepaald worden hoe de uitkomst van de methode tot bepaling van het chemisch zuurstofverbruik gecorrigeerd moet worden. In dat geval kan alleen een correctie worden toegepast op analyses tot een (boven)grenswaarde voor de TOC. Deze bovengrens zal na afloop van het heffingsjaar, op basis van alle TOC analyses die voor de T-correctie bepaling in het heffingsjaar zijn uitgevoerd, worden vastgesteld. De hoogst gemeten waarde van de TOC ter bepaling van de f-factor in deze monsters is de bovengrenswaarde voor TOC. De TOC-waarde (gefiltreerd) wordt vervolgens vermenigvuldigd met de f-factor.

Paragraaf D.3 De berekening

De berekende f-factor (f) uit het BZV19 onderzoek of de Zahn-Wellens test wordt als volgt in de heffingsformule toegepast ter bepaling van het aantal kg zuurstofverbruik:

Q X (3 X TOC - DOC) + (DOC X f)) + 4,57 X (TNb - TON))

1000

D.3.1 Toxiciteit

Als blijkt dat het water in een periode toxisch is, kan geen betrouwbaar onderzoek in deze periode plaatsvinden en kan voor deze periode ook geen correctie worden bepaald. De factor voor correctie van de TOC wordt dan voor deze onderzoeksperiode op 1 gesteld.

BZV19-onderzoek

In aanvulling op NEN-EN-ISO 5815-1:2019 en bepaalt de bij deze methode behorende toxiciteitstest de acute toxiciteit voor aerobe bacteriën door na vijf dagen de respiratie te meten. De toxiciteit wordt vastgesteld in hetzelfde etmaalverzamelmonster als voor het BZV19-onderzoek, door aan het te onderzoeken monster een glucose-/glutaminezuuroplossing toe te voegen, die overeenkomt met een BZV5 van 200 mg O2/L. Als deze concentratie na vijf dagen onveranderd blijft, kan worden geconcludeerd dat het water niet toxisch is voor de aerobe bacteriën.

De resultaten worden uitgedrukt als percentage van het rendement van de standaard, oftewel het percentage van de glucose-/glutaminezuuroplossing dat na vijf dagen wordt teruggemeten. Voor de beoordeling van toxiciteit geldt: als meer dan 75% van de glucose-/glutaminezuuroplossing wordt teruggemeten, is er geen sprake van toxiciteit.

Bij het BZV19 onderzoek wordt commercieel verkrijgbaar geschikt entmateriaal toegepast of entwater van een willekeurige rioolwaterzuiveringsinstallatie gebruikt.

Zahn-Wellens test

De toxiciteit wordt vastgesteld via de respiratieremmingstest. De toxiciteit wordt vastgesteld in hetzelfde etmaalverzamelmonster als voor het Zahn-Wellens onderzoek. Bij de Zahn-Wellens onderzoek wordt actief slib gebruikt van een willekeurige rioolwaterzuiveringsinstallatie.

Paragraaf D.4 De frequentie

De heffingplichtige maakt aannemelijk dat de uitkomst van de methode tot bepaling van het chemisch zuurstofverbruik als bedoeld in artikel 3, vierde lid, in belangrijke mate wordt beïnvloed door biologisch niet of nagenoeg niet afbreekbare stoffen, door in beginsel onderzoek uit te voeren met inachtneming van de frequentie als bedoeld in artikel 5, tweede lid, of de frequentie die met toepassing van artikel 6 is bepaald.

In afwijking van het voorgaande kan de heffingsambtenaar bepalen dat de frequentie wordt bepaald aan de hand van het, op basis van onderzoek in het voorgaande jaar voor aanvraag van de T-correctie, geschatte verschil in vervuilingswaarde tussen toepassing van de T-correctie en zonder toepassing van de T-correctie, inhoudende:

  • bij een verschil kleiner dan 100 vervuilingseenheden: 4 onderzoeken;

  • bij een verschil tussen de 100 en 200 vervuilingseenheden: 5 onderzoeken;

  • bij een verschil tussen de 200 en 300 vervuilingseenheden: 6 onderzoeken;

  • bij een verschil tussen de 300 en 400 vervuilingseenheden: 7 onderzoeken;

  • bij een verschil tussen de 400 en 500 vervuilingseenheden: 8 onderzoeken;

  • bij een verschil tussen de 500 en 600 vervuilingseenheden: 9 onderzoeken;

  • bij een verschil tussen de 600 en 700 vervuilingseenheden: 10 onderzoeken;

  • bij een verschil tussen de 700 en 800 vervuilingseenheden: 11 onderzoeken;

  • bij een verschil groter dan 800 vervuilingseenheden: 12 onderzoeken.

Als in het voorgaande jaar geen onderzoek naar de T-correctie is uitgevoerd, dan bepaalt de heffingsambtenaar de frequentie op 12 onderzoeken. Het aantal onderzoeken als hiervoor bedoeld wordt evenredig over het heffingsjaar verdeeld. De onderzoeken moeten gezamenlijk representatief zijn voor het heffingsjaar.

Bijlage 2 behorende bij de Verordening verontreinigingsheffing waterschap Rijn en IJssel (tabel afvalwatercoëfficiënten)

De onderstaande tabel is ontleend aan artikel 122k, derde lid, van de Waterschapswet en bevat klassen met bijbehorende klassegrenzen en afvalwatercoëfficiënten:

Klasse

Klassegrenzen uitgedrukt in aantal vervuilingseenheden voor het zuurstofverbruik per m3 ingenomen water

Afvalwatercoëfficiënt uitgedrukt in aantal vervuilingseenheden per m3 ingenomen water in het heffingsjaar

Ondergrens

Bovengrens

1

> 0

0,0013

0,0010

2

> 0,0013

0,0020

0,0016

3

> 0,0020

0,0031

0,0025

4

> 0,0031

0,0048

0,0039

5

> 0,0048

0,0075

0,0060

6

> 0,0075

0,012

0,0094

7

> 0,012

0,018

0,015

8

> 0,018

0,029

0,023

9

> 0,029

0,045

0,036

10

> 0,045

0,070

0,056

11

> 0,070

0,11

0,088

12

> 0,11

0,17

0,14

13

> 0,17

0,27

0,21

14

> 0,27

0,42

0,33

15

> 0,42

 

0,5

Toelichting op de Verordening verontreinigingsheffing waterschap Rijn en IJssel

Algemeen

In Nederland zijn waterschappen verantwoordelijk voor de waterstaatkundige verzorging van een bepaald gebied. Een van de taken die bij deze verantwoordelijkheid hoort, is de zorg voor de waterkwaliteit. Ter zake van lozen in een oppervlaktewaterlichaam in beheer bij een waterschap kan het algemeen bestuur van dat waterschap onder de naam verontreinigingsheffing een heffing instellen. De opbrengst van deze heffing komt ten goede aan de bekostiging van het beheer van het watersysteem van de beheerder.

Het algemeen bestuur van een waterschap besluit tot het invoeren, wijzigen of afschaffen van een waterschapsbelasting door het vaststellen van een belastingverordening.

De verordening verontreinigingsheffing maakt duidelijk wie wanneer de heffing moet betalen, wat het onderwerp van de heffing is, hoe de hoogte van de heffing wordt bepaald en wat het tarief is. Daarnaast bevat de verordening regels over de wijze van heffing en invordering. De regels in deze verordening vullen de wettelijke regels aan die zijn opgenomen in de Waterschapswet, de Waterwet, het Waterschapsbesluit en het Besluit vervuilingswaarde ingenomen water 2009.

Artikelsgewijze toelichting

Artikel 1 Definities

Om duidelijkheid te scheppen over een aantal in de verordening voorkomende begrippen en om de leesbaarheid te bevorderen, is van deze begrippen een definitie gegeven in artikel 1. Daarbij is zoveel mogelijk aangesloten bij de definities in de Waterwet.

bedrijfsruimte

Bij de definitie voor bedrijfsruimte is gekozen voor een negatieve formulering om een zo groot mogelijke reikwijdte aan de definitie te geven. Alles wat geen woonruimte is, moet als een bedrijfsruimte worden aangemerkt. Ook een festivalterrein kan als bedrijfsruimte kwalificeren. Voor kwalificatie van een terrein als bedrijfsruimte is niet van belang of dat het terrein een openbaar karakter heeft, en ook niet of belanghebbende zich ten eigen behoeve van dat terrein bedient. Als blijkt dat het festivalterrein kan worden gebruikt zonder dat de gebruiker meer dan bijkomstig afhankelijk is van ergens anders in het gebouw aanwezige voorzieningen, is hier sprake van bedrijfsruimte in de zin van de verordening (Hoge Raad 11 juli 2008, ECLI:NL:HR:2008:BD6823, BNB 2008/241).

GBLT

Het waterschap heeft voor de belastingheffing en –invordering een gemeenschappelijke regeling opgericht. Het waterschap werkt met andere waterschappen en gemeenten samen in de Gemeenschappelijke regeling GBLT. 1

heffingsambtenaar

De heffingsambtenaar is het bestuursorgaan aan wie de wetgever via de Algemene wet inzake rijksbelastingen de bevoegdheid tot het opleggen van aanslagen en het doen van uitspraak op bezwaar heeft geattribueerd. In artikel 123 van de Waterschapswet wordt onder meer de Algemene wet inzake rijksbelastingen van toepassing verklaard voor het heffen van belastingen door waterschappen. Dit artikel bepaalt verder dat de bevoegdheden van de heffingsambtenaar (in dit artikel ‘inspecteur’ genoemd) toekomen aan de daartoe aangewezen ambtenaar van het waterschap. Die aanwijzing vindt plaats bij een door het dagelijks bestuur te nemen aanwijzingsbesluit. Ook kan op grond van het derde lid van artikel 124 van de Waterschapswet een ambtenaar van samenwerkende waterschappen worden benoemd door de dagelijks besturen van die samenwerkende waterschappen. Verder kan, op grond van het vijfde lid van artikel 124 van de Waterschapswet, een ambtenaar van een gemeenschappelijke regeling worden aangesteld als heffingsambtenaar. Het waterschap werkt met andere waterschappen en gemeenten samen in de Gemeenschappelijke regeling GBLT. Er is een ambtenaar van GBLT aangewezen als heffingsambtenaar.

Behalve het opleggen van aanslagen en het doen van uitspraak op bezwaar komt op grond van deze verordening aan de heffingsambtenaar ook de bevoegdheid tot het afgeven van meetbeschikkingen toe (artikel 5 en verder). In de meetbeschikking worden specifieke voor een bepaalde heffingplichtige geldende voorschriften vastgelegd. Dit gaat om een nadere precisering van de algemene regels uit deze verordening voor een specifieke situatie. In de praktijk kan dit zowel een beperking als een aanvulling op de algemene regels betekenen.

heffingsjaar

In deze verordening worden de begrippen ‘heffingsjaar’ en ‘kalenderjaar’ door elkaar gebruikt. Met deze definitie is beoogd om duidelijk te maken dat deze begrippen synoniemen van elkaar zijn.

ingenomen water

Behalve via drinkwaterbedrijven wordt ook op andere wijze water verkregen. Zo wordt op steeds grotere schaal door bedrijven voor sanitair gebruik hemelwater opgevangen. Omdat dit water na gebruik wordt geloosd, moet het ook in de berekening van de vervuilingswaarde worden betrokken. Ditzelfde geldt voor warm tapwater.

lozen

De definitie is ontleend aan de begripsbepaling in artikel 7.1, eerste lid, van de Waterwet. Welke oppervlaktewaterlichamen in beheer zijn bij het waterschap, valt op te maken uit de gebiedsomschrijving zoals die is opgenomen in het reglement voor het waterschap.

openbaar vuilwaterriool

De definitie is gelijk aan de begripsbepaling in de bijlage bij artikel 1.1 van de Omgevingswet.

oppervlaktewaterlichaam

De definitie is gelijk aan de begripsbepaling in de bijlage bij artikel 1.1 van de Omgevingswet.

stedelijk afvalwater

De definitie is gelijk aan de begripsbepaling in de bijlage bij artikel 1.1 van de Omgevingswet. Waar in deze verordening kortheidshalve wordt gesproken over ‘afvalwater’ wordt ‘stedelijk afvalwater’ bedoeld.

watersysteem

De definitie is gelijk aan de begripsbepaling in de bijlage bij artikel 1.1 van de Omgevingswet.

woonruimte

Dit onderdeel regelt wat onder een woonruimte moet worden verstaan. Niet elke bewoonde ruimte kan als woonruimte worden aangemerkt. Een woonruimte is bestemd om als een afzonderlijk geheel te voorzien in woongelegenheid. Of dit het geval is moet blijken uit de inrichting van de ruimte. In deze definitie wordt tot uitdrukking gebracht dat het moet gaan om een ruimte die gezien zijn indeling bestemd is om als een afzonderlijk geheel te voorzien in woongelegenheid als de bewoner niet meer dan bijkomstig afhankelijk is van overig in het pand aanwezige voorzieningen. Hierbij moet worden gedacht aan voorzieningen als toilet, keuken of douchegelegenheid (Hoge Raad 23 juli 1984, ECLI:NL:HR:1984:AW8590, BNB 1984/282).

Kamers in studentenhuizen en pensions kunnen daarom meestal niet worden beschouwd als afzonderlijke woonruimten in de zin van deze verordening. In deze situaties kan het studentenhuis of pension ook niet als één woonruimte worden beschouwd (maar als één bedrijfsruimte) omdat deze veelal niet ten dienste staat van een gezin of daarmee gelijk te stellen andere leefeenheid (Hoge Raad van 14 juni 1995, ECLI:NL:HR:1995:AA1584, BNB 1995/253). Van zo’n andere leefeenheid is sprake wanneer personen, die naar het spraakgebruik geen gezin vormen, gezamenlijk een huishouding voeren die de voor een gezin kenmerkende eigenschappen heeft (Hof Den Haag 25 januari 2022, ECLI:NL:GHDHA:2022:72).

zuiveringtechnisch werk

De definitie is gelijk aan de begripsbepaling in de bijlage bij artikel 1.1 van de Omgevingswet. Een zuiveringtechnisch werk is een voorziening voor het zuiveren of het transporteren van afvalwater. De definitie omvat naast de rioolwaterzuiveringsinstallaties ook rioolgemalen, persleidingen, vrijvervalleidingen, open en dichte afvoergoten en pompstations voor het afvalwater. De gemeentelijke riolering wordt hier niet onder begrepen (zie openbaar vuilwaterriool).

Artikel 2 Belastbaar feit en heffingsplicht

Lid 2

Heffingplichtig zijn degenen die lozen. Dit lozen kan op verschillende wijzen plaatsvinden. Voor de omschrijving van de heffingsplicht wordt daarbij een koppeling gemaakt met het object van waaruit wordt geloosd. Op basis van de feitelijke omstandigheden moet worden beoordeeld wie gebruiker van dat object is.

Onderdeel a

Vindt het lozen plaats vanuit een woonruimte of een bedrijfsruimte, dan is de gebruiker van die ruimte aan de heffing onderworpen.

Het komt voor dat een woonruimte of een bedrijfsruimte in gebruik wordt gegeven, waarbij een van de voorwaarden luidt dat de belastingen, waaronder de zuiveringsheffing, worden gedragen door degene die de ruimte in gebruik geeft (bijvoorbeeld de verhuurder). Dergelijke overeenkomsten doen niet af aan de heffingsplicht: de gebruiker blijft heffingplichtig. Deze kan op grond van de huurovereenkomst zelf het bedrag van de aanslag terugvorderen bij degene die de ruimte in gebruikt geeft.

De verhuurder is wél heffingplichtig als het gebruik van een woonruimte of een bedrijfsruimte erop is gericht om die voor korte perioden beschikbaar te stellen aan wisselende, opeenvolgende gebruikers (zie lid 3, onderdeel c).

Gebruik van een woonruimte kan ook plaatsvinden zonder dat dat bewoning inhoudt. Bovendien is niet vereist is dat de betrokkene de ruimte ook daadwerkelijk gebruikt, de feitelijke beschikkingsmacht over de ruimte is afdoende (Hoge Raad 16 mei 2008, ECLI:NL:HR:2008:BB8342, BNB 2008/208).

Onderdeel b

Deze bepaling is oorspronkelijk ingevoerd nadat was gebleken dat (incidenteel) lozen vanuit een tankauto niet als lozen vanuit een bedrijfsruimte kon worden aangemerkt. Bovendien bleek in de praktijk het achterhalen van de identiteit van de achterliggende vervuiler niet altijd mogelijk te zijn, evenals het vaststellen van individuele vervuilingswaarden als de stoffen van meer dan één ruimte afkomstig zijn. Deze bepaling voorziet daarom bijvoorbeeld in de situatie waarin stoffen vanuit een tankauto op een oppervlaktewaterlichaam worden gebracht. In dit voorbeeld kan de vervoerder van de tankauto als degene die feitelijk loost in de heffing worden betrokken. Door de gekozen formulering zijn overigens niet alleen de lozing vanuit tankauto’s aan de heffing onderworpen, maar ook alle andere denkbare wijzen van lozen anders dan vanuit een woonruimte of bedrijfsruimte.

Lid 3

Dit lid regelt de heffingsplicht in een aantal voorkomende situaties.

In geval van een huishouden is het noodzakelijk dat de heffingsambtenaar beleidsregels opstelt op grond waarvan een van de leden als heffingplichtige kan worden aangewezen. Deze beleidsregels moeten worden gepubliceerd zodat ze kenbaar zijn voor de heffingplichtigen. Bij het ontbreken van dergelijke beleidsregels kan de keuze van het waterschap voor een van de gebruikers als willekeurig en onredelijk worden aangemerkt, wat tot vernietiging van de aanslag kan leiden. Dergelijke beleidsregels dienen daarom aan de ene kant de rechtszekerheid, maar aan de andere kant vooral ook doelmatige belastingheffing en -inning. Deze doelmatigheid mag alleen niet onnodig nadelige gevolgen hebben voor de aangewezen heffingplichtige, zo blijkt uit jurisprudentie. De heffingsambtenaar moet onderzoeken of er feiten en omstandigheden zijn die afwijking van de beleidsregels rechtvaardigen als de aangewezen heffingplichtige daar om verzoekt. In de beslissing op dat verzoek moet de heffingsambtenaar motiveren hoe het belang van de doelmatige belastingheffing is afgewogen tegen de door de heffingplichtige aangevoerde feiten, omstandigheden en negatieve gevolgen (Hof 's-Hertogenbosch 8 juni 2022, ECLI:NL:GHSHE:2022:1824, Belastingblad 2022, 354).

Lid 4

In dit lid is een aantal wettelijk voorgeschreven vrijstellingen opgenomen (zie artikel 7.8, eerste lid, van de Waterwet).

Onderdeel a

In de oorspronkelijke tekst van de Waterwet werden lozingen vanuit een openbaar vuilwaterriool vrijgesteld van de verontreinigingsheffing. Hierbij werd, blijkens de aan deze vrijstelling ten grondslag liggende motie (Kamerstukken II 2007/08, 30 818, nr. 33) gedoeld op overstorten vanuit het gemeentelijk rioolstelsel.

Onderdeel b

Een lozing vanuit een zuiveringtechnisch werk door het waterschap zelf op een eigen oppervlaktewaterlichaam is vrijgesteld van de heffing.

Onderdeel c

Het op een rioolwaterzuiveringsinstallatie van het waterschap gezuiverde afvalwater is onder omstandigheden goed bruikbaar voor bedrijfsmatige toepassingen, bijvoorbeeld het koelen van processen. Het is daarom denkbaar dat (een deel van) het effluent niet wordt geloosd, maar door een bedrijf wordt ingenomen. Als dat bedrijf het hergebruikte water weer loost en daar zelf geen stoffen aan heeft toegevoegd, dan is die lozing door het bedrijf vrijgesteld van de verontreinigingsheffing. Het is daarbij, evenals bij onderdeel b, voorwaarde dat het oppervlaktewaterlichaam bij hetzelfde waterschap in beheer is. Achtergrond van deze vrijstelling is dat de regionale zoetwatervoorziening daardoor niet wordt belast.

Artikel 3 Grondslag en heffingsmaatstaf

De grondslag van de verontreinigingsheffing is de hoeveelheid en hoedanigheid van de stoffen die in een kalenderjaar worden geloosd. De heffingsmaatstaf is de vervuilingswaarde van de stoffen uitgedrukt in vervuilingseenheden. Het gaat dan om de hoeveelheid zuurstof die nodig is om die stoffen af te breken. Die hoeveelheid wordt bepaald op de som van het chemisch zuurstofverbruik door omzetting van de hoeveelheid totaal organisch koolstof in de stoffen en het zuurstofverbruik door omzetting van de hoeveelheid totaal stikstof verminderd met de som van nitriet-stikstof en nitraat-stikstof in de stoffen. Daarbij is één vervuilingseenheid de zuurstofbehoefte die ontstaat door de gemiddelde lozing van huishoudelijk afvalwater van één persoon per jaar.

Artikel 4 Afwijkende verhouding chemisch zuurstofverbruik en totaal organisch koolstof

De basis voor het bepalen van de vervuilingswaarde van zuurstofbindende stoffen blijft ook na 1 januari 2026 het zuurstofverbruik. Het zuurstofverbruik wordt alleen met een andere heffingsformule berekend. In deze nieuwe heffingsformule wordt de parameter chemisch zuurstofverbruik (CZV) vervangen door totaal organisch koolstof (TOC). Omdat CZV als maatstaf voor de vervuiling het beste aansluit op de processen in een rioolwaterzuiveringsinstallatie en de belasting van zuurstofverbruik op het oppervlaktewater, wordt TOC in de nieuwe heffingsformule omgerekend naar CZV. Daarvoor wordt een omrekenfactor gebruikt. Tussen CZV en TOC bestaat een theoretische verhouding die stofafhankelijk is. Voor mengsels van verschillende stoffen zoals afvalwater is deze verhouding afhankelijk van de samenstelling van het mengsel. Voor huishoudelijk afvalwater bedraagt de verhouding CZV/TOC 3. Uit onderzoeken blijkt dat deze verhouding overeenkomt met de gemiddelde verhouding CZV/TOC voor bedrijfsafvalwater. Voor het omrekenen van TOC naar CZV wordt daarom factor 3 gebruikt.

Voor bepaalde typen afvalwater van bedrijven is de verhouding tussen CZV en TOC niet 3. Er zijn zowel bedrijven waarbij de omrekenfactor lager is als bedrijven waarbij deze hoger is. Wanneer in de heffingsformule factor 3 zou worden toegepast dan zou dit leiden tot een te hoge of te lage heffing. In die gevallen kan op basis van dit artikel worden afgeweken. Hiervoor moet worden aangetoond dat de werkelijke verhouding tussen CZV en TOC van het afvalwater van een bedrijfsruimte groter of kleiner is. De afwijking naar boven zal aangetoond moeten worden door de heffingsambtenaar en de afwijking naar beneden door de heffingplichtige. Deze constructie wordt momenteel ook gehanteerd bij de hoedanigheidscorrectie (zie artikel 7). Maar daar gaat het alleen om een mogelijkheid tot afwijken naar beneden. De afwijkmogelijkheid in artikel 4 betekent dat de heffingsmaatstaf niet alleen naar beneden maar ook naar boven kan worden bijgesteld.

Als van de heffingsformule wordt afgeweken omdat de verhouding tussen CZV en TOC lager blijkt te zijn dan 2,5 of hoger dan 3,5 zal geen volledige correctie plaatsvinden. De vastgestelde werkelijke verhouding zal worden gedeeld door 2,5 onderscheidenlijk 3,5 en vermenigvuldigd met 3. Een bedrijfsruimte waarbij de verhouding bijvoorbeeld 2,3 is wordt dan als volgt gecorrigeerd (2,3/2,5)*3=2,76. Als voorbeeld voor de correctie naar boven: een bedrijfsruimte waarbij de verhouding 3,8 is corrigeren naar (3,8/3,5)*3=3,25.

Dit voorkomt dat een bedrijfsruimte met een verhouding van 2,6 helemaal niet, en een bedrijfsruimte met een verhouding van 2,3, volledig wordt gecorrigeerd. Waarmee er ook minder aanleiding is voor geschillen. Daarnaast geeft het minder onzekerheden over de opbrengst van de heffing (het financiële belang van de neerwaartse en opwaartse correcties neemt immers sterk af).

Artikel 5 Meting, bemonstering en analyse

In dit artikel is de hoofdregel opgenomen voor het vaststellen van de vervuilingswaarde van de stoffen die worden geloosd.

Lid 1

Het spreekt voor zich dat de vervuilingswaarde zo nauwkeurig mogelijk wordt vastgesteld. Maar niet tegen elke prijs. De kosten om de vervuilingswaarde te kunnen vaststellen moeten in redelijke verhouding staan tot de verschuldigde heffing. Hiervan is in elk geval sprake als de kosten 40% van de verschuldigde heffing bedragen (Hof Den Haag 16 maart 1988, ECLI:NL:GHSGR:1988:BI9592, Belastingblad 1988, blz. 626).

Lid 5

De beslissing op aanvraag als bedoeld in het vijfde lid wordt bij een voor bezwaar vatbare beschikking genomen. Hiertegen staat de reguliere fiscale rechtsgang van bezwaar en beroep open. Een belangrijk aandachtspunt daarbij is wel dat wanneer de heffingplichtige zich niet kan verenigen met de beschikking en gebruik maakt van de hem ter beschikking staande rechtsmiddelen, de voorschriften in die beschikking wel moeten worden nageleefd. Dit om te voorkomen dat wanneer de heffingplichtige in het ongelijk is gesteld en de beschikking onherroepelijk vaststaat, hij over onvoldoende gegevens beschikt om de vereiste aangifte te kunnen doen. De heffingsambtenaar zal in dat geval de aanslag immers geheel of gedeeltelijk op basis van schatting vaststellen (zie artikel 13) en de heffingplichtige kan vervolgens bij het betwisten van die schatting onvoldoende of geen tegenbewijs leveren.

Artikel 6 Beperkte meting, bemonstering en analyse

In veel gevallen kan worden volstaan met een lagere frequentie dan ieder etmaal meten, bemonsteren en analyseren, zonder al te veel afbreuk te doen aan de nauwkeurigheid van het eindresultaat. Het spreekt voor zich dat een lagere frequentie zich vertaalt in lagere kosten voor de heffingplichtige. De heffingplichtige die aannemelijk weet te maken dat met een lagere frequentie kan worden volstaan, kan daar met een aanvraag bij de heffingsambtenaar toestemming voor vragen. Ook op deze aanvraag wordt beslist bij voor bezwaar vatbare beschikking, waartegen de fiscale rechtsgang open staat. Hierbij geldt ook dat de voorschriften moeten worden nageleefd als de heffingplichtige zich niet kan verenigen met de beschikking en zolang deze nog niet onherroepelijk vaststaat.

In dit kader zijn ook van belang de richtlijnen in het ‘Rapport bepaling meetfrequentie ter vaststelling van de vervuilingswaarde van afvalwater’ van de Commissie Integraal Waterbeheer van augustus 1998.

Artikel 7 Hoedanigheidscorrectie

Bij het bepalen van het chemisch zuurstofverbruik door omzetting van de totale hoeveelheid organische koolstof in de stoffen (TOC) kan in de uitkomst ook zuurstofverbruik tot uitdrukking komen van stoffen die in het natuurlijk milieu niet of nagenoeg niet afbreekbaar zijn. Op grond van jurisprudentie komt “nagenoeg niet” overeen met een percentage van niet meer dan 10%. Wanneer het gevonden zuurstofverbruik van dergelijke stoffen TOC in belangrijke mate beïnvloedt, dan wordt het gevonden zuurstofverbruik gecorrigeerd. In de jurisprudentie staat “in belangrijke mate” voor ten minste 25%. De correctie die dan plaatsvindt, wordt als T-correctie geduid.

Dit artikel voorziet erin dat de voorschriften die het waterschap over de T–correctie stelt, bekend zijn voor de heffingplichtige (zie ook Bijlage 1, onderdeel D). De berekening van de T-correctie vindt plaats zoals voorgeschreven in paragraaf D.3. De frequentie waarin het onderzoek (paragraaf D.2) naar de T-correctie moet plaatsvinden is in beginsel gelijk aan de frequentie die geldt voor de meting, bemonstering en analyse overeenkomstig artikel 5 of 6. Dit betekent dat het onderzoek ieder etmaal van het heffingsjaar respectievelijk in een beperkt aantal etmalen moet plaatsvinden. Een afwijkende frequentie is mogelijk en kan worden bepaald op de wijze zoals voorgeschreven in paragraaf D.4.

Daarnaast is in het artikel bepaald dat de heffingplichtige voor toepassing van de T–correctie een aanvraag moet indienen. Deze aanvraag kan in hetzelfde geschrift worden verenigd als de aanvraag bedoeld in artikel 5, vijfde lid, onderdelen a en b en artikel 6, eerste lid. De heffingsambtenaar beslist bij een voor bezwaar vatbare beschikking. Dit opent voor de heffingplichtige in voorkomende gevallen de volledige fiscale rechtsgang. Hiermee is deze procedure uit het oogpunt van de rechtsbescherming van de heffingplichtige met voldoende waarborgen omkleed. Ook is voorgeschreven welke elementen de bedoelde beschikking minimaal dient te bevatten.

Artikel 8 Tabel afvalwatercoëfficiënten

Dit artikel voorziet in een uitzondering op de hoofdregel als bedoeld in artikel 5. Voor de toepassing van dit artikel geldt als voorwaarde dat er een relatie moet zijn tussen de vervuilingswaarde van het afvalwater en de hoeveelheid ingenomen water. De heffingplichtige moet daarom aannemelijk maken dat de vervuilingswaarde omgerekend naar een vervuilingswaarde per m3 ingenomen water in zekere mate constant is. Daarnaast kan dit artikel in beginsel alleen toegepast worden als de vervuilingswaarde niet hoger is dan 1.000 vervuilingseenheden. Meting, bemonstering en analyse van afvalwater kan onder deze voorwaarden achterwege blijven. Bij zogenoemde ‘tabelbedrijven’ wordt het aantal vervuilingseenheden voor het zuurstofverbruik berekend met behulp van de tabel afvalwatercoëfficiënten. Deze tabel is opgenomen in Bijlage 2 en kent vijftien klassen met elk een afvalwatercoëfficiënt.

Lid 3

Vaak is de feitelijk in het heffingsjaar ingenomen hoeveelheid water niet direct vast te stellen, omdat de verbruiksperiode waarover het drinkwaterbedrijf afrekent, niet gelijk is aan het kalenderjaar. Ook kan er sprake zijn van een andere tariefstructuur dan gemeten waterverbruik. In dergelijke gevallen worden de beschikbare gegevens herleid tot verbruiken over het kalenderjaar. De manier waarop dit gebeurt, liggen vast in beleidsregels van het waterschap.

Lid 4

Het Besluit vervuilingswaarde ingenomen water 2009 is per 1 januari 2026 gewijzigd. Bestaande bedrijven die vóór 1 januari 2026 de afvalwatercoëfficiënt behorende bij klasse 8 hadden, blijven deze behouden. Voor bestaande bedrijven met een andere afvalwatercoëfficiënt wordt een nieuwe individuele afvalwatercoëfficiënt vastgesteld door de heffingsambtenaar. De heffingsambtenaar heeft daar ten hoogste tien jaar de tijd voor. De voorwaarden voor het bepalen van de individuele afvalwatercoëfficiënt staan in het Besluit vervuilingswaarde ingenomen water 2009. Totdat de individuele afvalwatercoëfficiënt is vastgesteld behouden deze bedrijven hun afvalwatercoëfficiënt.

Voor nieuwe heffingplichtigen geldt in beginsel de afvalwatercoëfficiënt behorende bij klasse 8. Uit onderzoek op initiatief van zowel de heffingplichtige als de heffingsambtenaar kan blijken dat de bedrijfsruimte of een onderdeel daarvan in een andere klasse moet worden ingedeeld. De voorwaarden daarvoor staan eveneens in het Besluit vervuilingswaarde ingenomen water 2009.

Naast de binnen het heffingsjaar verrichte onderzoeken kan ook een onderzoek dat buiten het heffingsjaar verricht is representatief zijn voor de vervuilingswaarde die het afvalwater had in de overeenkomstige periode in het heffingsjaar (Hoge Raad 12 september 2014, ECLI:NL:HR:2014:2658, BNB 2014/228).

Lid 5

De tabel kan ook worden toegepast bij vervuilingswaarden van 1.000 vervuilingseenheden en meer. Voorwaarde is dan wel dat dit niet leidt tot een vervuilingswaarde die lager is dan de vervuilingswaarde die wordt bepaald op basis van meting, bemonstering en analyse.

Lid 6

Voor een juiste toepassing van de tabel is van belang dat wijzigingen in de bedrijfsomstandigheden, die mogelijk van invloed zijn op de vervuilingswaarde per m3 ingenomen water, direct worden gemeld aan heffingsambtenaar. De in een beschikking als bedoeld in artikel 5, zesde lid, van het Besluit vervuilingswaarde ingenomen water 2009 gegeven voorschriften zijn hierbij van toepassing. De heffingsambtenaar kan in de veranderingen aanleiding zien om artikel 5 van het Besluit vervuilingswaarde ingenomen water 2009 ambtshalve toe te passen.

Artikel 9 Vervuilingswaarde tuinbouwkassen

Uit onderzoek naar een afvalwatercoëfficiënt voor glastuinbouwbedrijven is gebleken dat de vervuilingswaarde van tuinbouwkassen geen relatie heeft met de hoeveelheid ingenomen water. Bepaling van de vervuilingswaarde op basis van meting, bemonstering en analyse bleek gezien de relatief hoge perceptiekosten ook geen reële mogelijkheid. In verband daarmee is voor tuinbouwkassen een zogenoemd forfait opgenomen op basis van oppervlakte. Het forfait is ook van toepassing als gedurende een bepaalde periode in het kalenderjaar geen medewerkers in de kas aanwezig zijn en geen gebruik wordt gemaakt van sanitaire voorzieningen (Rb. Rotterdam 16 oktober 2019, ECLI:NL:RBROT:2019:8100).

Artikel 10 Totale vervuilingswaarde bedrijfsruimte

Dit artikel voorziet in de totalisering van het bij de artikelen 5 tot en met 9 berekende aantal vervuilingseenheden voor een bedrijfsruimte. Een dergelijke totalisering is onder meer van belang als binnen één bedrijfsruimte:

  • voor de verschillende onderdelen van die bedrijfsruimte afzonderlijke meting, bemonstering en analyse plaatsvindt;

  • voor de verschillende onderdelen van die bedrijfsruimte afzonderlijke afvalwatercoëfficiënten van toepassing zijn;

  • voor een onderdeel van die bedrijfsruimte wordt gemeten, bemonsterd en geanalyseerd en voor een ander onderdeel van die bedrijfsruimte een afvalwatercoëfficiënt van toepassing is

Bij het optellen van de verschillende uitkomsten moet worden uitgegaan van niet-afgeronde waarden. De totale vervuilingswaarde kan wel worden afgerond op hele getallen of op een aantal decimalen. De afronding moet wel altijd in het voordeel van de heffingplichtige zijn. Afhankelijk van het aantal decimalen wordt 7,94 uiteindelijk als 7,9 of 7 vermeld op de aanslag en 20,49 als 20,4 of 20.

Als de totale vervuilingswaarde kleiner is dan 5 vervuilingseenheden, wordt de vervuilingswaarde bepaald op de wijze zoals voorgeschreven in artikel 11.

Artikel 11 Vervuilingswaarde kleine bedrijfsruimten

Dit artikel regelt op welke wijze het aantal vervuilingseenheden wordt bepaald van bedrijfsruimten waarbij de geloosde stoffen een beperkte vervuilingswaarde (minder dan 5 vervuilingseenheden) hebben. In het eerste lid is een forfait opgenomen om te voorkomen dat een groot aantal heffingplichtigen kostbaar onderzoek moeten doen naar de vervuilingswaarde van het afvalwater.

Hoewel de verontreinigingsheffing een tijdvakbelasting is, wordt voor bedrijfsruimten met een vervuilingswaarde van minder dan vijf vervuilingseenheden in veel gevallen al aan het begin van het heffingsjaar een verontreinigingsheffing voor 3 vervuilingseenheden opgelegd. Maar na afloop van het heffingsjaar kan blijken dat de vervuilingswaarde 1 vervuilingseenheid of minder bedraagt. De verordening voorziet daarom in het derde lid op basis van artikel 132 van de Waterschapswet in een deugdelijke regeling voor vermindering. De beslissing op de aanvraag als bedoeld in het derde lid is voor bezwaar vatbaar. Dit opent voor de heffingplichtige in voorkomende gevallen de volledige fiscale rechtsgang. Hiermee is deze procedure uit het oogpunt van de rechtsbescherming van de heffingplichtige met voldoende waarborgen omkleed.

Volgens het tweede lid is de heffing verschuldigd bij het begin van het heffingsjaar of, wanneer de heffingsplicht later begint, op het moment dat de heffingsplicht begint. Dit laatste speelt bij een opvolgende heffingplichtige en betekent dat in een jaar de heffingsplicht zowel ontstaat voor de oorspronkelijke heffingplichtige als voor elke opvolgende heffingplichtige. De heffing is steeds minimaal 1 vervuilingseenheid. Dit kan ertoe leiden dat in één jaar bij opvolgende heffingplichtigen wordt geheven. Er wordt niet verrekend naar tijdseenheid.

Artikel 12 Vervuilingswaarde woonruimten

Dit artikel regelt op welke wijze het aantal vervuilingseenheden van woonruimten wordt bepaald. In het eerste lid is het zogenoemde woonruimteforfait opgenomen (artikel 122h, eerste lid, van de Waterschapswet).

Gebruik van een woonruimte kan ook plaatsvinden zonder dat dat bewoning inhoudt. De opvatting dat het lage forfaitaire tarief van 1 vervuilingseenheid slechts van toepassing is in geval van bewoning van een woonruimte door 1 persoon, is derhalve onjuist (Hoge Raad 16 mei 2008, ECLI:NL:HR:2008:BB8342, BNB 2008/208).

Een uitzondering op deze hoofdregel voor recreatiewoningen is opgenomen in het tweede lid. Wie eigenaar is van de recreatiewoning is voor de toepassing van deze uitzondering niet van belang (Hof ‘s-Hertogenbosch 29 juni 2018, ECLI:NL:GHSHE:2018:2787).

Hoewel de verontreinigingsheffing in beginsel een tijdvakheffing is, wordt in het derde lid bepaald dat de heffing van woonruimten een tijdstipkarakter heeft. De situatie op 1 januari of bij het begin van de heffingsplicht is bepalend voor de hoogte van de heffing. Als na deze datum het type huishouden wijzigt van een meerpersoonshuishouden naar een eenpersoonshuishouden dan wordt de verontreinigingsheffing naar tijdsevenredigheid verminderd zoals bepaald in het derde lid. Andersom niet.

Omdat de verontreinigingsheffing van een woonruimte meestal al aan het begin van het heffingsjaar wordt opgelegd, voorziet de verordening op basis van artikel 132 van de Waterschapswet in een regeling waardoor aanspraak op vermindering (vierde lid) en ontheffing (achtste lid) kan worden gemaakt. De beslissing op de aanvraag als bedoeld in het vierde en het achtste lid is voor bezwaar vatbaar. Dit opent voor de heffingplichtige in voorkomende gevallen de volledige fiscale rechtsgang. Hiermee is deze procedure uit het oogpunt van de rechtsbescherming van de heffingplichtige met voldoende waarborgen omkleed.

Wanneer de heffingplichtige verhuist naar een andere woonruimte van waaruit eveneens wordt geloosd, zijn zowel het zesde als het zevende lid van toepassing. Er kan immers worden gesteld dat ook in dat geval sprake is van het eindigen van de heffingsplicht en het opnieuw ontstaan van de heffingsplicht. Dit zou resulteren in een vermindering van een al opgelegde, en mogelijk zelfs al betaalde, aanslag voor de oude woonruimte en een nieuwe aanslag voor de nieuwe woonruimte. Om pragmatische redenen is in het negende lid bepaald dat in een dergelijk geval het zesde en het zevende lid niet van toepassing zijn. De aanslag verhuist als het ware mee. Uiteraard gaat dit niet op wanneer vanuit de nieuwe woonruimte stoffen op een openbaar vuilwaterriool worden gebracht: dan is zuiveringsheffing verschuldigd.

Artikel 13 Schatting

Dit artikel regelt de bevoegdheid van de heffingsambtenaar om het aantal vervuilingseenheden in een kalenderjaar geheel of gedeeltelijk te schatten. De onderdelen a, b en c zijn ontleend aan artikel 122j van de Waterschapswet. In laatstgenoemde artikel ontbreekt een bepaling voor de omstandigheid dat de heffingplichtige de afgegeven meetbeschikking niet heeft nageleefd. Omdat ook in dit geval de aanslag op basis van schatting zal moeten worden bepaald, is dit aanvullend in onderdeel d geregeld.

Dit artikel is ook een vangnetbepaling voor het lozen waarvoor in de verordening geen bijzondere regels zijn opgenomen en waarbij de hoofdregel van artikel 5 niet kan worden toegepast.

Overigens sluit dit artikel niet uit dat er ook andere omstandigheden kunnen zijn op grond waarvan schatting kan plaatsvinden.

Artikel 14 Tarief

Dit artikel regelt het tarief per vervuilingseenheid dat is ontleend aan de begroting die is vastgesteld door het algemeen bestuur van het waterschap.

Artikel 15 Wijze van heffing

Dit artikel regelt op welke wijze de te betalen verontreinigingsheffing wordt bekendgemaakt aan de belastingplichtige. Waterschapsbelastingen kunnen worden geheven bij wege van aanslag, bij wege van voldoening op aangifte of op andere wijze, doch niet bij wege van afdracht op aangifte (artikel 125 van de Waterschapswet). Het gaat hier om drie verschillende heffingstechnieken.

Artikel 16 Betaaltermijnen

Dit artikel regelt wanneer de aanslag als bedoeld in artikel 15 uiterlijk moet worden betaald.

Artikel 17 Aangifte

Dit artikel regelt dat wordt afgeweken van de regels als bedoeld in artikel 127, eerste en tweede lid, van de Waterschapswet. Van deze regels wordt afgeweken om belastingplichtigen de mogelijkheid te bieden om via elektronische weg aangifte te doen.

Artikel 19 Intrekken oude verordening

Dit artikel regelt dat de oude verordening wordt ingetrokken met ingang van de datum van ingang van de heffing zoals bepaald in artikel 20, tweede lid. De oude verordening blijft gelden voor de belastbare feiten die zich voor die datum hebben voorgedaan. Voor die feiten kunnen dus nog aanslagen worden opgelegd op basis van de oude verordening.

Artikel 20 Inwerkingtreding en citeertitel

Dit artikel regelt de inwerkingtreding van deze verordening, de ingangsdatum van de heffing, op welke wijze de in Bijlage 1 genoemde normbladen bekendgemaakt worden en hoe de verordening kan worden aangehaald.

De regels in deze verordening zijn pas bindend als de verordening op de juiste wijze is bekendgemaakt. De bekendmaking van de verordening vindt plaats in het Waterschapsblad dat elektronisch op een algemeen toegankelijke wijze wordt uitgegeven via Overheid.nl (artikel 2, achtste lid, van de Bekendmakingswet). De normen als bedoeld in Bijlage 1 worden kosteloos beschikbaar gesteld op de in het derde lid genoemde locatie (artikel 14a, tweede en derde lid, van de Bekendmakingswet).


Noot
1

https://organisaties.overheid.nl/28266774/GBLT