Permanente link
Naar de actuele versie van de regeling
https://lokaleregelgeving.overheid.nl/CVDR747133
Naar de door u bekeken versie
https://lokaleregelgeving.overheid.nl/CVDR747133/1
Algemeen mandaat- volmacht- en machtigingsbesluit Veiligheidsregio Gelderland-Zuid 2025 (MVM 2025)
Geldend van 20-11-2025 t/m heden met terugwerkende kracht vanaf 01-06-2025
Intitulé
Algemeen mandaat- volmacht- en machtigingsbesluit Veiligheidsregio Gelderland-Zuid 2025 (MVM 2025)Het dagelijks bestuur en de voorzitter van de Veiligheidsregio Gelderland-Zuid (VRGZ);
- -
Overwegende dat het geldende Algemeen mandaat- volmacht- en machtigingsbesluit Veiligheidsregio Gelderland-Zuid laatstelijk is gewijzigd bij besluit van 26 november 2020;
- -
Overwegende dat het huidige Algemeen mandaat- volmacht- en machtigingsbesluit Veiligheidsregio Gelderland-Zuid 2020 op onderdelen geactualiseerd en aangepast moet worden, mede in het licht van de wijzigingen van de GR VRGZ, uiteraard met inachtneming van het Algemeen delegatiebesluit 2025;
- -
Overwegende dat het uit praktisch oogpunt en ter bevordering van een vlotte afhandeling van zaken wenselijk is om de daarvoor in aanmerking komende zaken te mandateren aan de algemeen directeur van de VRGZ en de directeur publieke gezondheid.
BESLUIT:
Artikel 1: Verlening mandaten
-
1. Het dagelijks bestuur verleent mandaat, volmacht respectievelijk machtiging (hierna te noemen: mandaat) aan de algemeen directeur om besluiten te nemen betreffende de in de bijgevoegde hoofdstukken genoemde bevoegdheden, het verrichten van daarmee verbonden rechtshandelingen en het verrichten van daarmee samenhangende feitelijke handelingen, die betrekking hebben op alle onderdelen van de VRGZ.
-
2. Besluiten genoemd in lid 1 die uitsluitend betrekking hebben op GHOR-aangelegenheden zijn voorbehouden aan de directeur publieke gezondheid.
-
3. Het dagelijks bestuur verleent mandaat, volmacht respectievelijk machtiging (hierna te noemen: mandaat) aan de directeur publieke gezondheid om besluiten te nemen betreffende de in de bijgevoegde hoofdstukken genoemde bevoegdheden, het verrichten van daarmee verbonden rechtshandelingen en het verrichten van daarmee samenhangende feitelijke handelingen, voor zover deze besluiten uitsluitend betrekking hebben op GHOR-aangelegenheden.
-
4. Het verleende mandaat omvat tevens de bevoegdheid tot ondertekening van de krachtens mandaat genomen beslissingen.
-
5. De algemeen directeur is bevoegd om de VRGZ in en buiten rechte te vertegenwoordigen en om indien noodzakelijk een (proces-)machtiging of volmacht te verstrekken.
-
6. Besluiten in de zin van de Algemene wet bestuursrecht (Awb) die krachtens dit mandaatbesluit worden genomen, worden op de volgende wijze ondertekend:
Het dagelijks bestuur van de Veiligheidsregio Gelderland-Zuidii ,
namens deze,
(….)
Naam
Functie
-
7. Indien het dagelijks bestuur besluit tot het verlenen van een nieuw mandaat, dan wel tot het wijzigen of intrekken van een bestaand mandaat, dan worden de bijlagen gewijzigd.
-
8. Aangezien de directeur publieke gezondheid niet rechtstreeks ondergeschikt is aan het dagelijks bestuur vanwege het dienstverband bij de GGD Gelderland-Zuid, is instemming van de directeur publieke gezondheid vereist met deze mandaatverlening (op grond van artikel 10:4 Awb). De directeur publieke gezondheid bericht het dagelijks bestuur schriftelijk van de instemming.
-
9. Het verleende mandaat geldt niet indien:
- a.)
Het dagelijks bestuur of de voorzitter dit in een concreet geval vooraf kenbaar maakt;
- b.)
De gemandateerde persoonlijk voordeel kan hebben bij het te nemen besluit.
- a.)
-
Indien het bepaalde sub a, aan de orde is, neemt het dagelijks bestuur een besluit over het concrete geval. Indien het bepaalde sub b, aan de orde is, is de hoger leidinggevende bevoegd om namens het dagelijks bestuur een besluit te nemen, tenzij het de algemeen directeur betreft. In dat geval neemt het dagelijks bestuur het besluit. De gemandateerde dient zelf bij de hoger leidinggevende te melden indien deze situatie zich mogelijk voordoet.
-
10. Bij het uitoefenen van het mandaat handelt de gemandateerde niet in strijd met verordeningen en algemene beleidskaders (o.a. het Regionaal Beleidsplan en het Regionaal Crisisplan), zoals vastgesteld door het algemeen bestuur.
-
11. Bij het uitoefenen van het mandaat houdt de gemandateerde zich aan de financiële kaders, zoals door het algemeen bestuur en het dagelijks bestuur vastgesteld in (onder meer) de begroting, de financiële verordening en de budgethoudersregeling.
-
12. Indien de directeur publieke gezondheid en de algemeen directeur van mening verschillen over de vraag of een (voorgenomen) besluit uitsluitend betrekking heeft op een GHOR-aangelegenheid, dan vindt daarover tussen hen nader overleg plaats. Mocht ook daarna geen overeenstemming worden bereikt, dan wordt geëscaleerd en neemt het dagelijks bestuur het besluit terzake.
Artikel 2: Vervanging
-
1. De algemeen directeur wordt bij afwezigheid vervangen door een door hem aangewezen operationeel directeur.
-
2. Een operationeel directeur wordt bij afwezigheid vervangen door een door hem aangewezen operationeel directeur.
-
3. De directeur publieke gezondheid wordt, bij afwezigheid, vervangen door de algemeen directeur waar het betreft de beheersmatige aansturing van de GHORiii .
-
4. De gemandateerden kunnen een of meerdere plaatsvervangers aanwijzen die, bij afwezigheid van de vaste (aangewezen) plaatsvervanger, bevoegd zijn om hem te vervangen.
-
5. Bij plaatsvervanging kunnen alle gemandateerde bevoegdheden zoals opgenomen in de bijgevoegde hoofdstukken worden uitgeoefend, met dien verstande dat aanvullende voorwaarden kunnen worden gesteld door de functionaris die wordt vervangen.
-
6. Als plaatsvervanging aan de orde is, blijft de naam van de gemandateerde functionaris staan op het document en ondertekent de plaatsvervanger met daarbij de vermelding van “b.a.” en de naam van de plaatsvervanger.
Artikel 3: Ondermandaat
-
1. Voor de uitoefening van de bevoegdheden geldt dat ondermandaat aan een andere functionaris is toegestaan, tenzij bij de betreffende bevoegdheid is vermeld dat dit niet is toegestaan. Ondermandaat wordt schriftelijk vastgelegd.
-
2. Daar waar wordt gesproken over ondermandaat, wordt daaronder ook verstaan ondervolmacht en ondermachtiging.
-
3. De ondermandaatverlener kan daarbij aanvullende voorwaarden stellen.
-
4. Op ondermandaat zijn de overige artikelen van dit besluit van overeenkomstige toepassing.
-
5. Indien het dagelijks bestuur besluit tot intrekking van een verleend mandaat, geldt dit eveneens voor alle op basis daarvan verleende ondermandaten.
Artikel 4: Slotbepalingen
-
1. Dit besluit treedt in werking na bekendmaking en werkt terug tot 1 juni 2025.
-
2. Het Algemeen mandaat- volmacht- en machtigingsbesluit Veiligheidsregio Gelderland-Zuid 2020 d.d. 26 november 2020 (terugwerkend tot 1 januari 2020) wordt per gelijke datum ingetrokken.
-
3. Dit besluit kan worden aangehaald als "Algemeen mandaat- volmacht- en machtigingsbesluit Veiligheidsregio Gelderland-Zuid 2025" (kortweg MVM 2025).
Aldus besloten door het dagelijks bestuur én door de voorzitter van de Veiligheidsregio Gelderland-Zuid, ieder voor zover het de eigen bevoegdheden betreft. In dat kader wordt verwezen naar het bepaalde in:
- -
artikel 33b WGR (bevoegdheid dagelijks bestuur);
- -
artikel 33d WGR en artikel 11 lid 3 Wvr (bevoegdheid voorzitter);
- -
artikel 12 GR VRGZ (taken en bevoegdheden dagelijks bestuur);
- -
artikel 15 GR VRGZ (taken voorzitter);
met inachtneming van het Algemeen delegatiebesluit 2025iv van het algemeen bestuur,
Ondertekening
en vastgesteld in zijn vergadering van 19 juni 2025.
HET DAGELIJKS BESTUUR VAN VEILIGHEIDSREGIO GELDERLAND-ZUID,
Drs. H.M.F. Bruls
voorzitter
M. van Dalen MSc
secretaris
DE VOORZITTER
Drs. H.M.F. Bruls
Hoofdstuk 1Wet gemeenschappelijke regelingen
Hoofdstuk 2 Gemeenschappelijke regeling Veiligheidsregio Gelderland-Zuid (GR VRGZ)
Hoofdstuk 3 Wet veiligheidsregio’s
Hoofdstuk 4Besluit veiligheidsregio’s
Hoofdstuk 5 Regeling optische en geluidsignalen 2009
Hoofdstuk 6Diverse bevoegdheden 1
Hoofdstuk 7
Omgevingswet & Omgevingsbesluit;
Vuurwerkbesluit;
Wet milieubeheer;
Wet vervoer gevaarlijke stoffen
Toelichting bij de aanpassingen: Algemeen mandaat- volmacht- en machtigingsbesluit VRGZ 2025, versie 1 juni 2025
Algemeen
- •
Het voormalige artikel 1 dat ging over de samenstelling en de taken van de directie is uit dit MVM verwijderd.
- •
De overige artikelen zijn doorgenummerd.
- •
In verband met de wijziging van de samenstelling van de directie is een en ander overeenkomstig aangepast.
- •
Als gevolg van wijziging van wet- en regelgeving zijn de (oude) hoofdstukken inzake het Besluit risico's zware ongevallen 1999, het Besluit externe veiligheid inrichtingen en het Besluit externe veiligheid buisleidingen komen te vervallen. Het hoofdstuk inzake het Besluit informatie inzake rampen en crises is ook niet meer opgenomen (beperkte meerwaarde) maar wordt bij een aantal onderdelen nog wel vermeld (onderdeel 3.18 en 7B.1). Ook hoofdstuk 12 met betrekking tot de Wet publieke gezondheid is niet meer opgenomen (beperkte meerwaarde). De omvang van het MVM 2025 is daardoor een stuk kleiner.
|
Aanhef |
Tekstuele wijzigingen; |
|
Artikel 1 lid 1-5 |
Tekstuele wijzigingen; incl. wijzigingen overeenkomstig de nieuwe top- en hoofdstructuur van de VRGZ. |
|
Artikel 1 lid 5 |
De bevoegdheid van de algemeen directeur om de Veiligheidsregio te vertegenwoordigen in en buiten rechte is nadrukkelijk opgenomen omdat er met enige regelmaat vragen (intern) zijn of de directie notariële stukken mag ondertekenen (volmacht om de VRGZ te vertegenwoordigen als stukken bij de notaris moeten worden ondertekend). Voor alle duidelijkheid is dit nog eens vermeld in lid 5. Het komt ook nog een keer terug in hoofdstuk 6 “Diverse bevoegdheden” (onderdeel 6.1 en 6.2) van het MVM 2025. |
|
Artikel 1 lid 8 |
Schriftelijk bericht van instemming door de DPG nadrukkelijk opgenomen. |
|
Artikel 1 lid 9 |
Tekstuele wijzigingen; omdat het mandaat op verschillend leidinggevend niveau kan zijn belegd wordt bij een mogelijk persoonlijk voordeel geëist dat de betreffende functionaris dat meldt bij de hoger leidinggevend functionaris. |
|
Artikel 1 lid 12 |
De escalatieladder is ingekort: aangezien de directie in de nieuwe situatie enkel bestaat uit de algemeen directeur is een nader overleg waarbij andere directieleden aanschuiven (naast de algemeen directeur en de DPG) niet meer aan de orde. |
|
Artikel 2 lid 1 en 2 |
Tekst is aangepast overeenkomstig de nieuwe top- en hoofdstructuur. |
|
Artikel 2 lid 4 |
Tekstuele wijziging |
|
Artikel 2 lid 5 |
Tekstuele wijzigingen |
|
Artikel 2 lid 6 |
Opgenomen zodat duidelijk is op welke wijze zichtbaar is op documenten dat sprake is van plaatsvervanging. Op deze manier vindt de vermelding bij afwezigheid op uniforme wijze plaats. Dit gebeurde in de praktijk al maar is nu geformaliseerd. |
|
Artikel 3 |
Tekstuele wijzigingen |
|
Artikel 4 |
Tekstuele wijzigingen |
|
Afsluitende tekst |
Nadrukkelijke vemelding van de artikelen zodat duidelijk is dat het gaat om (mandaat van) zowel bevoegdheden van het dagelijks bestuur als bevoegdheden van de voorzitter. Dit levert geen verandering op ten opzichte van de huidige situatie waar ook beide bestuursorganen (dagelijks bestuur en voorzitter) hebben ondertekend, elk voor wat betreft hun eigen bevoegdheden. De overige aanpassingen betreffen tekstuele wijzigingen. |
H1: Wet gemeenschappelijke regelingen
|
Onderdeel 1.1 |
Het instellen van ad-hoc commissies van advies is opgenomen omdat het in de praktijk soms nodig is om een ad-hoc commissie te formeren als een bewaarschrift is ingediend waarvoor de VRGZ geen vaste adviescommissie heeft ingesteld. Behandeling door een ambtelijke commissie blijft mogelijk maar deze bevoegdheid biedt de mogelijkheid om een tijdelijke/ ad-hoc adviescommissie te formeren met juridische grondslag. De verwachting is dat de bevoegdheid in de praktijk sporadisch zal hoeven te worden ingezet. |
|
Onderdeel 1.2 |
Geen nieuw onderdeel maar wel nadrukkelijk opgenomen om onduidelijkheden op dit punt te voorkomen. De bevoegdheid voor het dagelijks bestuur om rechtspositionele regelingen te treffen is ook opgenomen in de GR VRGZ. De bevoegdheid verordeningen vast te stellen is in beginsel een bevoegdheid van het algemeen bestuur maar dit is de uitzondering erop (het gaat niet om een verordening door strafbepaling of bestuursdwang te handhaven, die bevoegdheid is en blijft voorbehouden aan het algemeen bestuur op grond van de Wet gemeenschappelijke regelingen). Het betekent geen inhoudelijke wijziging ten opzichte van de oude opzet van het mandaatbesluit. |
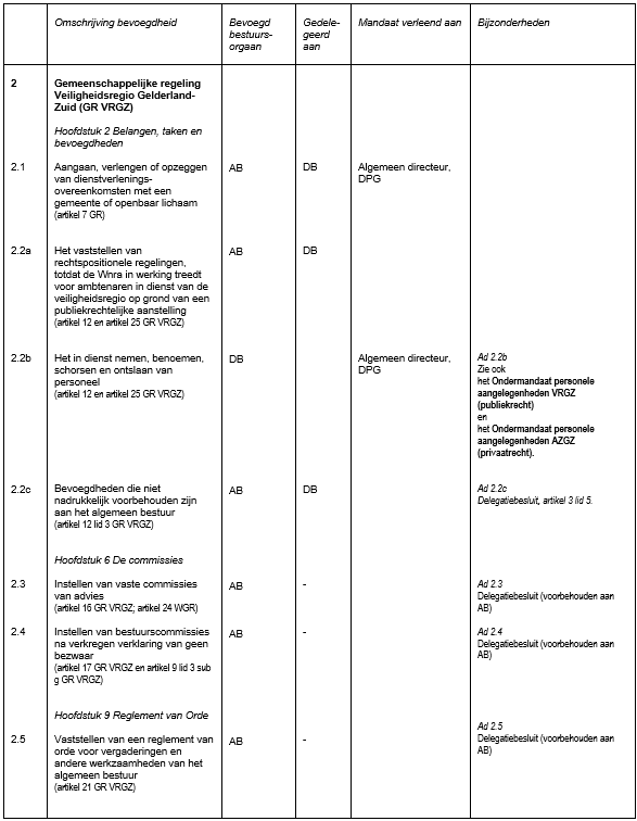
H2 Gemeenschappelijke regeling Veiligheidsregio Gelderland-Zuid
|
Onderdeel 2.2b |
Tekstuele wijzigingen. |
|
Onderdeel 2.2c |
Onderdeel toegevoegd in verband met het delegatiebesluit en vermelding ervan in de GR VRGZ. |
|
Onderdelen 2.3-2.5 |
Toelichting legt duidelijk de link naar het delegatiebesluit (voorbehouden bevoegdheden algemeen bestuur). |
|
Onderdeel 2.8 |
Onderdeel gewijzigd in verband met de nieuwe top- en hoofdstructuur. |
|
Onderdeel 2.9 |
Onderdeel gewijzigd in verband met de nieuwe top- en hoofdstructuur. |
|
Onderdelen 2.11-2.18 |
Tekst bij Bijzonderheden legt duidelijk de link naar het delegatiebesluit (voorbehouden bevoegdheden algemeen bestuur). |
|
Onderdelen 2.19-2.26 |
De onderdelen over de kadernota, de jaarrekening en de begroting zijn opgenomen als gevolg van de wijziging van de GR VRGZ die op haar beurt is gewijzigd als gevolg van de Wijzigingswet Wet gemeenschappelijke regelingen. De gewijzigde GR VRGZ is in 2024 via een uitgebreide procedure onder de aandacht gebracht bij het bestuur en de raden van de deelnemende gemeenten. Zoals ook in de toelichting van de GR VRGZ staat vermeld, blijven de bepalingen in de Wet gemeenschappelijke regelingen leidend (volledigheidshalve vermeld in de toelichting). Daar waar mogelijk is voor de verdere uitvoeringspraktijk het mandaat belegd bij de algemeen directeur. De procedure richting het algemeen bestuur verandert daardoor niet. |
|
Onderdelen 2.27-2.29 |
De onderdelen over het archief zijn volledigheidshalve opgenomen in het overzicht maar er is geen sprake van een inhoudelijke wijziging. Het artikel over het archief in de GR VRGZ is ongewijzigd gebleven bij de wijziging van de GR VRGZ in 2024. |
|
Onderdeel 2.29 |
Het mandaat voor het aanwijzen van de archivaris en de archiefbewaarplaats is belegd bij de algemeen directeur in verband met organisatiebreed onderwerp. |
|
Onderdeel 2.30 |
Het onderdeel over het vaststellen van de uittreedsom is opgenomen in het overzicht als gevolg van de wijziging van de GR VRGZ door de wijzigingswet Wet gemeenschappelijke regelingen. In dat kader is in de GR VRGZ een procedure opgenomen over uittreding. |
|
Onderdelen 2.30-2.35 |
Tekst bij Bijzonderheden legt duidelijk de link naar het delegatiebesluit (voorbehouden bevoegdheden algemeen bestuur). |
|
Onderdeel 2.35 |
Het onderdeel over het besluit tot evaluatie is opgenomen in het overzicht als gevolg van de wijziging van de GR VRGZ door de wijzigingswet Wet gemeenschappelijke regelingen. In dat kader is in de GR VRGZ een artikel opgenomen over evaluatie van de GR VRGZ. |
H3 Wet veiligheidsregio’s
|
Algemeen |
Het verleende mandaat is aangepast aan de gewijzigde top- en hoofdstructuur. |
|
Onderdelen 3.1-3.6 |
Tekstuele wijzigingen: aanpassingen van de juridische grondslag en de tekst onder Bijzonderheden die nu een duidelijke link legt naar het delegatiebesluit. |
|
Onderdelen 3.5, 3.6, 3.10, 3.19, 3.20, 3.23 en 3.24 |
Het gaat met name om bevoegdheden waar Risicobeheersing mee te maken heeft. Deze onderdelen zijn in opdracht van de Brandweer door Hekkelman Advocaten bekeken. De omschrijving van de bevoegdheden is indien nodig tekstueel aangepast. |
|
Onderdeel 3.7 |
De bevoegdheid tot het sluiten van een convenant met de korpschef en de HOvJ is nu gedelegeerd aan het dagelijks bestuur met mandaat aan de algemeen directeur in verband met de praktische uitvoerbaarheid. Voorheen was deze bevoegdheid belegd bij het algemeen bestuur. |
|
Onderdeel 3.12 |
De omschrijving van de bevoegdheid tot het geven van een schriftelijke aanwijzing is in overeenstemming gebracht met de wettekst. |
|
Onderdelen 3.13-3.15 |
Deze onderdelen zien op de meldkamer. De omschrijving van de bevoegdheden is in overeenstemming gebracht met de wettekst. |
|
Onderdeel 3.15 |
De bevoegdheid tot het sluiten van een convenant over de uitvoering van de meldkamerfunctie is gedelegeerd aan het dagelijks bestuur met mandaat aan de algemeen directeur. Het sluiten van (privaatrechtelijke) overeenkomsten is in beginsel belegd bij het dagelijks bestuur. Om onduidelijkheid te voorkomen is deze specifieke bevoegdheid via delegatie resp. mandaat belegd bij het dagelijks bestuur resp. de algemeen directeur. Het betreft een bevoegdheid in het gewijzigde artikel 35 van de Wet veiligheidsregio's. |
|
Onderdeel 3.16 |
De bevoegdheid tot het aanwijzen van een coördinerend functionaris (gemeentesecretaris) blijft bij het AB. |
|
Onderdeel 3.18 |
Bij het bevoegde bestuursorgaan is zowel het algemeen bestuur als de voorzitter vermeld, gezien het Besluit informatie inzake rampen en crises (Birc) aan beide bestuursorganen een rol toebedeeld. |
|
Onderdelen 3.19 en 3.20 |
De bevoegdheden zijn nu aan de algemeen directeur gemandateerd. |
|
Onderdelen 3.21 en 3.22 |
De tekst onder Bijzonderheden legt duidelijk de link naar het delegatiebesluit (voorbehouden bevoegdheden algemeen bestuur). |
H4 Besluit veiligheidsregio’s
|
Algemeen |
Het verleende mandaat is aangepast aan de gewijzigde top- en hoofdstructuur. |
|
Onderdelen 4.1-4.8 |
De tekst onder Bijzonderheden legt duidelijk de link naar het delegatiebesluit (voorbehouden bevoegdheden algemeen bestuur). |
|
Onderdeel 4.9-4.15 |
De omschrijving van de bevoegdheden is in overeenstemming gebracht met de tekst van artikel 7.2 en artikel 7.3 van het Besluit veiligheidsregio's als gevolg van de Invoeringswet Omgevingswet per 1 januari 2024. Ook de tekst onder Bijzonderheden is daarop aangepast. |
|
Onderdelen 4.9, 4.11, 4.12, 4.15 en 4.18 |
Het gaat met name om bevoegdheden waar Risicobeheersing mee te maken heeft. Deze onderdelen zijn in opdracht van de Brandweer door Hekkelman Advocaten bekeken. De omschrijving van de bevoegdheden is indien nodig tekstueel aangepast en verduidelijkt. |
H5 Regeling optische- en geluidssignalen 2009
|
Onderdeel 5.1 |
Het betreft enkele tekstuele aanpassingen in de toelichting. Het mandaat is aangepast overeenkomstig de gewijzigde top- en hoofdstructuur. |
H6 Diverse bevoegdheden
|
Algemeen |
Het mandaat is aangepast aan de gewijzigde top- en hoofdstructuur van de VRGZ. |
|
Onderdeel 6.1 |
De grondslag van de bevoegdheid met betrekking tot privaatrechtelijke rechtshandelingen is geactualiseerd. Ook de toelichting is aangepast waarbij een verwijzing is gemaakt naar artikel 2 lid 5 van het MVM 2025. In dat artikel is nadrukkelijk opgenomen dat de vertegenwoordigingsbevoegdheid ook toekomt aan de algemeen directeur van de VRGZ. Omdat de vertegenwoordigingsbevoegdheid in beginsel bij de voorzitter berust is bij het bevoegde bestuursorgaan ook de voorzitter vermeld. |
|
Onderdeel 6.2 |
De omschrijving is in overeenstemming gebracht met de wettekst en de tekst in de GR VRGZ. Het betreft geen inhoudelijke wijziging ten opzichte van de oude situatie wat dat betreft. Wel is het doen van aangifte vermeld. |
|
Onderdeel 6.3 |
De omschrijving is in overeenstemming gebracht met de wettekst en de tekst in de GR VRGZ. Het betreft geen inhoudelijke wijziging ten opzichte van de oude situatie. |
|
Voetnoten |
Het betreft tekstuele aanpassingen. |
|
Onderdeel 6.4 |
Dit betreft een inhoudelijke wijziging. De bevoegdheid is opgenomen gelet op het belang van het aanwijzen van een medisch manager die de medische eindverantwoordelijkheid draagt voor de ambulancezorg die wordt verleend door Ambulancezorg Gelderland-Zuid als onderdeel van de VRGZ mede gelet op het Professioneel Statuut MMA van Ambulancezorg Nederland (m.n. bepaling 2.6 en 4.3). De bevoegdheid is belegd bij de algemeen directeur. |
|
Onderdeel 6.5 |
De bevoegde bestuursorganen zijn aangevuld omdat dit afhankelijk is van de inhoud van de klacht. Ook de tekst onder Bijzonderheden is aangepast. |
|
Onderdeel 6.6 |
De omschrijving van de bevoegdheden is geactualiseerd (de Wet open overheid is vervangen door de Wet open overheid). De bevoegdheid in het kader van Woo-verzoeken omvat tevens het aanwijzen van Woo-contactpersonen. |
|
Onderdeel 6.7 |
De tekst onder Bijzonderheden is aangepast waarbij ook een link is gelegd naar Hoofdstuk 2 van het MVM 2025 waarin bevoegdheden zijn opgenomen over het archief. |
|
Onderdeel 6.8 |
De grondslag van de bevoegdheid inzake afhandeling van claims is geactualiseerd. |
|
Onderdeel 6.9 |
De grondslag van de bevoegdheid inzake privaatrechtelijke verbintenissen van personele aard is geactualiseerd. |
|
Onderdeel 6.11 |
Het mandaat voor het sluiten van samenwerkingsovereenkomsten met andere veiligheidsregio's is belegd bij de algemeen directeur (organisatie-overstijgend onderwerp). De tekst onder Bijzonderheden is ook aangepast om duidelijk te maken wat de aard van de samenwerkingsovereenkomsten is en dat het bestuur hiervan op voorhand moet worden geïnformeerd afhankelijk van aspecten die een rol spelen. |
|
Onderdeel 6.12 |
De grondslag van de bevoegdheid inzake rechtspositionele besluiten is geactualiseerd. |
|
Onderdeel 6.13 |
Dit betreft een inhoudelijke wijziging. Deze bevoegdheid is opgenomen omdat de Wet modernisering elektronisch bestuurlijk verkeer naar verwachting op 1 januari 2025 in werking treedt en het van belang is dat de digitale omgeving van de VRGZ daarop wordt ingericht. De bevoegdheid voor het aanwijzen van digitale kanalen is gemandateerd aan de directeur Crisisbeheersing en Bedrijfsvoering vanwege de praktische uitvoerbaarheid. |
|
Onderdeel 6.14 |
De omschrijving van de bevoegdheid om te beslissen op bezwaar is aangepast. De aanpassing levert geen inhoudelijke wijziging op, de bevoegdheid blijft berusten bij het dagelijks bestuur. |
|
Onderdeel 6.15 |
Dit betreft een inhoudelijke wijziging. Deze bevoegdheden waren voorheen niet opgenomen. Voor de volledigheid zijn deze bevoegdheden alsnog opgenomen en gemandateerd aan de algemeen directeur en de DPG (voor de GHOR). |
H7 Omgevingswet en Omgevingsbesluit, Vuurwerkbesluit, Wet Milieubeheer, Wet vervoer gevaarlijkestoffen.
Het mandaat is verstrekt met inachtneming van de nieuwe top- en hoofdstructuur van de VRGZ. Dit is een nieuw hoofdstuk dat de meest relevante onderdelen voor Risicobeheersing bevat. Het oude hoofdstuk 7 betrof het Besluit omgevingsrecht. Met de inwerkingtreding van de Omgevingswet en aanverwante regelgeving en het vervallen van een aantal AMvB's zijn de bevoegdheden in dit hoofdstuk gebundeld en geactualiseerd. Op inhoud is hoofdstuk 7 dus niet een volledig nieuw hoofdstuk, een aantal bevoegdheden was reeds opgenomen in het vorige MVM.
De bevoegdheden die nu worden gebaseerd op de Omgevingswet, het Omgevingsbesluit en het Vuurwerkbesluit waren grotendeels al in beeld; de bevoegdheden gebaseerd op de Wet Milieubeheer en de Wet vervoer gevaarlijke stoffen zijn toegevoegd.
Dit hoofdstuk is in opdracht van de Brandweer door Hekkelman Advocaten bekeken. Bevoegdheden die reeds in beeld waren zijn aangepast en verduidelijkt waar nodig. Bovendien zijn een aantal bevoegdheden toegevoegd om dit hoofdstuk te completeren.
Noot
iBekendmaking van algemene mandaatbesluiten geschiedt conform artikel 6 en artikel 2 lid 5 van de Bekendmakingswet jo. artikel 3:42 Awb.
Noot
iiEen krachtens mandaat genomen besluit vermeldt namens welk bestuursorgaan (de oorspronkelijke mandaatgever) het besluit is genomen (zie artikel 10:10 Awb).
Noot
iiiVervanging van de operationele (piket-)taken van de directeur publieke gezondheid vindt plaats volgens een door de directeur publieke gezondheid vast te stellen schema.
Noot
ivHet Algemeen delegatiebesluit 2025 wordt in de navolgende hoofdstukken gemakshalve aangeduid als ‘Delegatiebesluit’.
Noot
1Artikel 33a lid 1 WGR (overdragen bevoegdheden naar dagelijks bestuur), artikel 3 lid 5 van het Delegatiebesluit (bevoegdheden dagelijks bestuur tenzij voorbehouden aan algemeen bestuur), artikel 33b WGR (bevoegdheden toegekend aan dagelijks bestuur), artikel 12 GR VRGZ (taken en bevoegdheden dagelijks bestuur) kunnen als grondslag dienen.
Ziet u een fout in deze regeling?
Bent u van mening dat de inhoud niet juist is? Neem dan contact op met de organisatie die de regelgeving heeft gepubliceerd. Deze organisatie is namelijk zelf verantwoordelijk voor de inhoud van de regelgeving. De naam van de organisatie ziet u bovenaan de regelgeving. De contactgegevens van de organisatie kunt u hier opzoeken: organisaties.overheid.nl.
Werkt de website of een link niet goed? Stuur dan een e-mail naar regelgeving@overheid.nl