Permanente link
Naar de actuele versie van de regeling
https://lokaleregelgeving.overheid.nl/CVDR745036
Naar de door u bekeken versie
https://lokaleregelgeving.overheid.nl/CVDR745036/1
Inkoop- en aanbestedingsbeleid Gemeente Baarn 2025
Geldend van 09-10-2025 t/m heden
Intitulé
Inkoop- en aanbestedingsbeleid Gemeente Baarn 2025Voorwoord
Dit document is bedoeld voor opdrachtgevers, opdrachtnemers en medewerkers van de gemeente Baarn.
Als gemeente streven wij naar het beste voor Baarn. Om onze ambities te realiseren koopt de gemeente jaarlijks voor circa 20 miljoen euro in. Dat betekent dat leveranciers een belangrijke bijdrage leveren aan die ambities. In een tijd van digitale innovaties en veranderende marktomstandigheden is het belangrijk dat wij onze inkoopstrategie steeds afstemmen op de markt en de behoeften van de samenleving.
Door samen te werken, te verbinden en duidelijke afspraken te maken, zorgen wij ervoor dat onze leveranciers weten wat er van hen wordt verwacht. We volgen onze contracten precies, zodat we onze uitgaven kunnen verantwoorden en we geleverd krijgen wat is afgesproken.
Deze aanpak zorgt voor een transparante en efficiënte inkoop, waarbij we samen bouwen aan een duurzame toekomst.
De gemeente Baarn heeft het VNG-model Inkoopbeleid als uitgangspunt gebruikt. Zaken die al in de wet en in lokale regelgeving zijn geregeld, zijn omwille van de leesbaarheid niet in het inkoopbeleid opgenomen.
Het inkoop- en aanbestedingsbeleid sluit zoveel mogelijk aan op het algemeen beleid van de gemeente Baarn (hierna ’de gemeente’).
Juridische uitgangspunten
Doelmatig en rechtmatig
De gemeente voldoet aan de bestaande wet- en regelgeving en volgt haar eigen inkoop- en aanbestedingsbeleid. Bij al haar inkopen neemt de gemeente Baarn de algemene beginselen van het aanbestedingsrecht en het bestuursrecht in acht. De inspanningen en uitgaven moeten daadwerkelijk bijdragen aan de realisatie van het beoogde doel.
Mandaat en volmacht
De bevoegdheden voor het aangaan van overeenkomsten zijn vastgelegd in het gemeentelijk mandaatbesluit en de budgethoudersregeling.
Inkoopsamenwerking/ alleenrecht
Soms is gewenst dat de gemeente samenwerkt met andere publieke partners, zoals andere gemeentes of de provincie.
Het werken in een samenwerkingsverband kan betekenen dat het inkoopbeleid van de gemeente niet wordt gehanteerd. De gemeente neemt alleen deel aan samenwerkingsverbanden waarin de geldende wet- en regelgeving wordt nageleefd.
De gemeente heeft alleenrechten gevestigd (ook wel ‘uitsluitend recht’). Dit houdt in dat een aantal ondernemingen een uitsluitend recht hebben om voor de gemeente een dienst te mogen verrichten of een activiteit mogen uitvoeren.
Overeenkomsten en inkoopvoorwaarden
De gemeente Baarn hanteert standaard haar eigen algemene inkoopvoorwaarden voor leveringen en diensten. Deze zijn gebaseerd op het VNG-Model Algemene Inkoopvoorwaarden en zijn te raadplegen en downloaden via www.baarn.nl.
Voor o.a. werken, IT-dienstverlening en architect- en ingenieursdiensten kunnen specifieke branchegerichte voorwaarden worden gehanteerd.
Bij voorwaarden die gezamenlijk tot stand zijn gekomen (paritair vastgestelde voorwaarden) worden deze voorwaarden op de opdracht van toepassing verklaard. Daarbij kan de gemeente in bepaalde gevallen gemotiveerd afwijken. De gemeente neemt dit dan op in de aanbestedingsdocumenten. Algemene voorwaarden van ondernemers worden in beginsel afgewezen.
Afwijken van het gebruik van genoemde voorwaarden kan alleen na akkoord van team Inkoop en de gemandateerde medewerker.
Persoonsgegevens
Als we een derde partij persoonsgegevens laten verwerken, sluiten we met deze partij een verwerkersovereenkomst. Zo zorgen we ervoor dat deze derde partijen hun verplichtingen en verantwoordelijkheden kennen en zorgvuldig met de persoonsgegevens om gaan.
Klachtenregeling
De gemeente hanteert de Uniforme klachtenregeling aanbesteden. Klachten over een aanbestedingsprocedure kunnen worden ingediend via het klachtenformulier op de gemeentelijke website: www.baarn.nl/klacht-indienen.
Afwijkingsbevoegdheid
Afwijken van dit inkoop- en aanbestedingsbeleid is alleen mogelijk en toegestaan op basis van een gemotiveerd besluit van het college van burgemeester en wethouders.
Ethische en ideële uitgangspunten
Integer handelen
De bestuurders dienen zich te houden aan de vastgestelde Gedragscode voor het college van B&W. De ambtenaren dienen zich te houden aan de vastgestelde Gedragscode voor ambtenaren van de gemeente Baarn. Zij handelen zakelijk en objectief, zodat belangenverstrengeling wordt tegengegaan.
Betrouwbare en zakelijke opdrachtgever
De gemeente wil een betrouwbare en zakelijke opdrachtgever zijn. Als overheid heeft zij een voorbeeldfunctie in de samenleving. Bij de inkoop van producten, diensten en werken neemt de gemeente Baarn het gemeentebelang als uitgangspunt, maar houdt zij ook rekening met de belangen van de opdrachtnemer.
Integere ondernemers
De gemeente doet geen zaken met ondernemers die zich bezighouden met criminele of illegale praktijken. Een toetsing van de integriteit van ondernemers bij inkoop behoort tot de mogelijkheden. Dit kan onder andere door het hanteren van uitsluitingsgronden, het opvragen van een gedragsverklaring aanbesteden of het (laten) uitvoeren van een Bibob-onderzoek.
Lokaal voorkeursbeleid
Bij onderhandse gunning en meervoudig onderhandse aanbestedingen mag een gemeente een voorkeursbeleid toepassen wanneer dit niet leidt tot discriminatie. In geval van enkelvoudig onderhandse gunning zal, als een lokale of regionale ondernemer het gevraagde kan leveren, de voorkeur uitgaan naar een lokale of regionale ondernemer. Bij meervoudig onderhandse aanbestedingen wordt ten minste één lokale of regionale leverancier gevraagd om een offerte uit te brengen, mits de lokale of regionale ondernemer het gevraagde kan leveren.
Maatschappelijk verantwoord inkopen (MVI)
De gemeente wil haar ecologische voetafdruk verkleinen en werkt toe naar klimaatneutraliteit. Dat wil zeggen dat de gemeente ervoor zorgt dat er steeds minder vervuiling ontstaat via het direct en indirect handelen van de gemeente.
De gemeente heeft ambities vastgesteld om op het gebied van broeikasgassen, energie en circulariteit haar impact op onze leefomgeving te verminderen. Dit betekent voor aanbestedingen dat we duurzaamheidseisen zwaar laten meewegen en actief afspraken met ketenpartners over hoe zij hun dienstverlening verduurzamen.
De gemeente neemt zo verantwoordelijkheid voor haar bijdrage aan klimaatverandering en geeft het goede voorbeeld. Ook is zij daarmee maar geeft zo ook het goede voorbeeld en is een aanjager van economische innovatie en duurzame verdienmodellen.
Sociale Werkvoorziening
We onderzoeken de mogelijkheden om gebruik te maken van de inzet van werkenden vanuit de sociale werkvoorziening. Er zijn drie mogelijkheden om opdrachten voor te behouden aan sociale werkvoorzieningsschappen:
1. (Quasi-)Inbesteden;
2. Voorbehouden opdrachten aan sociale werkplaatsen en sociale ondernemers via een aanbestedingsprocedure;
3. Het opstellen van sociale voorwaarden bij aanbestedingen.
De laatste optie wordt ook wel ‘Social Return on investment’ (SROI) genoemd. Deze optie zal hieronder worden toegelicht.
Social Return on investment
De gemeente vervult een belangrijke taak bij het integreren en re-integreren van mensen op de arbeidsmarkt. In haar rol van opdrachtgever zet de gemeente haar inkoopkracht dus in om arbeidsmogelijkheden te stimuleren voor mensen met afstand tot de arbeidsmarkt.
Social Return on investment (SROI) kan worden geformuleerd als een verplicht percentage van de opdrachtsom dat moet worden aangewend voor SROI-activiteiten. De opdrachtnemer is verantwoordelijk voor het nakomen van de overeengekomen SROI-verplichtingen, ook als de activiteiten bij bijvoorbeeld een toeleverancier worden uitgevoerd. De gerealiseerde SROI-waarde wordt berekend door gebruik te maken van bouwblokken.
De gemeente werkt op het gebied van SROI samen met gemeenten in de Arbeidsmarktregio Amersfoort. Actuele informatie is te vinden op de website van het Werkgeversservicepunt Regio Amersfoort.
Economische uitgangspunten
Raming en financiële budget
Inkopen vindt plaats op basis van een deugdelijke en objectieve voorafgaande schriftelijke raming van de financiële waarde van de opdracht. De raming is ook van belang om de financiële haalbaarheid van de opdracht te bepalen.
Inkoopprocedures
Allereerst maakt de gemeente de afweging of er sprake is van inkoop. De gemeente kan ook kiezen voor het verstrekken van subsidie of het (quasi-)inbesteden van opdrachten, zoals wordt gedaan aan het sociaal ontwikkelbedrijf Amfors.
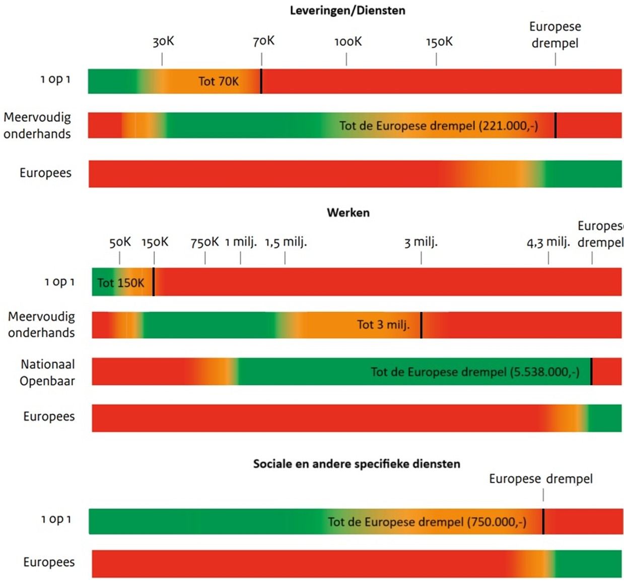
De gemeente Baarn besteedt een opdracht Europees aan als de waarde hoger is dan het betreffende drempelbedrag1. Onder die drempelbedragen wordt per opdracht bepaald welke procedure het meest geschikt is. Hierbij neemt de gemeente het balkenschema hiernaast uit de Gids Proportionaliteit2 als leidraad. Het balkenschema geeft met kleuren aan welke aanbestedingsprocedure in welk geval proportioneel is. Om doelmatig in te kopen, neemt de gemeente de maximale ruimte (de groene én oranje balken) die de Gids Proportionaliteit biedt.
Een besluit over een procedure in het rode gebied, met uitzondering van het rode gebied boven de Europese drempel, wordt genomen door de daarvoor gemandateerde medewerker. Hierbij is een advies van team Inkoop verplicht. Is het advies van Inkoop negatief dan wordt de gemeentesecretaris gevraagd te besluiten.
Organisatorische uitgangspunten
Inkooporganisatie
De gemeente heeft inkoop georganiseerd volgens het gecoördineerd inkoopmodel. De aangewezen medewerker is zelf verantwoordelijk voor inkoop binnen de kaders van dit beleid en de operationele kaders die zijn opgenomen in de budgethoudersregeling. Een inkoopadviseur ondersteunt hierbij.
De inkoopadviseurs zijn verantwoordelijk voor strategische inkoop, waaronder: het inkoopbeleid, het stellen van kaders, advisering en (door)ontwikkeling van de inkooporganisatie. De inkoopadviseurs stellen samen met het projectteam de inkoopstrategie op en vertalen deze in de aanbestedingsprocedure.
Dit inkoopbeleid is praktisch uitgewerkt in een procesbeschrijving en werkinstructies.
Uniform werken
De gemeente gebruikt centraal beheerde aanbestedingsdocumenten en modelovereenkomsten. Met deze uniformering maken we inkopen makkelijker, communiceren we op eenduidige wijze met leveranciers en zorgen we voor een goede juridische borging .
Contractmanagement
Goed contractmanagement zorgt voor inzicht en grip en draagt daarmee bij aan optimale benutting van onze contracten en de realisering van onze inkoopdoelstellingen.
Elk contract heeft een contracteigenaar. De contracteigenaar is eindverantwoordelijk en bepaalt in welke mate contractmanagement nodig is en wie de contractmanager is. De contractmanager is belast met het contractbeheer en prestatiemanagement.
Contractbeheer vindt plaats in de centrale contractmanagementapplicatie. In deze applicatie registreren en beheren we ieder geval elk inkoopcontract met een waarde van 1.000 euro of meer .
Prestatiemanagement wordt toegepast op specifieke contracten op basis van een risicoanalyse.
Inwerkingtreding
Dit inkoop- en aanbestedingsbeleid treedt in werking één dag na bekendmaking. Het inkoopbeleid van 2013, laatst gewijzigd april 2022, wordt ingetrokken.
Ondertekening
Baarn, 16 september 2025
Burgemeester en wethouders van Baarn,
drs. C.E. Creveld
gemeentesecretaris
M.A. Röell
Burgemeester
Ziet u een fout in deze regeling?
Bent u van mening dat de inhoud niet juist is? Neem dan contact op met de organisatie die de regelgeving heeft gepubliceerd. Deze organisatie is namelijk zelf verantwoordelijk voor de inhoud van de regelgeving. De naam van de organisatie ziet u bovenaan de regelgeving. De contactgegevens van de organisatie kunt u hier opzoeken: organisaties.overheid.nl.
Werkt de website of een link niet goed? Stuur dan een e-mail naar regelgeving@overheid.nl