Permanente link
Naar de actuele versie van de regeling
http://lokaleregelgeving.overheid.nl/CVDR733808
Naar de door u bekeken versie
http://lokaleregelgeving.overheid.nl/CVDR733808/1
Regeling vervallen per 01-01-2026
Verordening op de heffing en de invordering van leges gemeente Gennep (2025)
Geldend van 01-01-2025 t/m 31-12-2025
Algemeen
| Overheidsorganisatie | Gennep |
|---|---|
| Organisatietype | Gemeente |
| Officiële naam regeling | Verordening op de heffing en de invordering van leges gemeente Gennep (2025) |
| Citeertitel | Legesverordening gemeente Gennep 2025 |
| Vastgesteld door | gemeenteraad |
| Onderwerp | financiën en economie |
| Eigen onderwerp | |
| Indeling regeling | Verordening |
| Regeling onder de Omgevingswet | Nee |
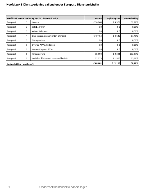
| Externe bijlagen | KOSTENDEKKENDHEID LEGES KOSTENDEKKENDHEID LEGES KOSTENDEKKENDHEID LEGES KOSTENDEKKENDHEID LEGES |
Wettelijke grondslag(en) of bevoegdheid waarop de regeling is gebaseerd
- artikel 156, eerste lid, van de Gemeentewet
- artikel 156, tweede lid, van de Gemeentewet
- artikel 229, eerste lid, van de Gemeentewet
- artikel 2, tweede lid, van de Paspoortwet
- artikel 7 van de Paspoortwet
- artikel 13.1a van de Omgevingswet
Opmerkingen met betrekking tot de regeling
De Legesverordening gemeente Gennep 2024 van 18 december 2023, of zoals laatstelijk gewijzigd, wordt ingetrokken .
Overzicht van in de tekst verwerkte wijzigingen Dit overzicht bevat alleen gepubliceerde versies.
|
Datum inwerkingtreding |
Terugwerkende kracht tot en met |
Datum uitwerkingtreding |
Betreft |
Datum ondertekening Bron bekendmaking |
Kenmerk voorstel |
|---|---|---|---|---|---|
| 01-01-2025 | 01-01-2026 | Nieuwe regeling |
16-12-2024 |
802352 |
Ziet u een fout in deze regeling?
Bent u van mening dat de inhoud niet juist is? Neem dan contact op met de organisatie die de regelgeving heeft gepubliceerd. Deze organisatie is namelijk zelf verantwoordelijk voor de inhoud van de regelgeving. De naam van de organisatie ziet u bovenaan de regelgeving. De contactgegevens van de organisatie kunt u hier opzoeken: organisaties.overheid.nl.
Werkt de website of een link niet goed? Stuur dan een e-mail naar regelgeving@overheid.nl