Regeling vervallen per 01-01-2026

Verordening zuiveringsheffing Hoogheemraadschap Hollands Noorderkwartier 2025

Geldend van 24-12-2024 t/m 31-12-2025

Intitulé

Verordening zuiveringsheffing Hoogheemraadschap Hollands Noorderkwartier 2025

Het college van hoofdingelanden van Hoogheemraadschap Hollands Noorderkwartier;

gelezen het voorstel van dijkgraaf en hoogheemraden van 19 november 2024, nr. 24.1029730;

gelet op de artikelen 110 en 113 alsmede de hoofdstukken XVII, XVIIa en XVIIb van de Waterschapswet, hoofdstuk 7, § 1, van de Waterwet, hoofdstuk 6, § 2, van het Waterschapsbesluit en artikel 6, eerste lid, van het Reglement van bestuur voor het Hoogheemraadschap Hollands Noorderkwartier 2008;

gehoord de commissie Bestuur, Middelen en Waterketen;

b e s l u i t :

vast te stellen de:

Verordening zuiveringsheffing Hoogheemraadschap Hollands Noorderkwartier 2025, luidend als volgt.

Artikel 1 Begripsbepalingen

Deze verordening verstaat onder:

  • a.

    zuiveringtechnisch werk: een werk voor het zuiveren van afvalwater of het transport van afvalwater, niet zijnde een riolering;

  • b.

    riolering: een voorziening voor de inzameling en het transport van afvalwater, in beheer bij een gemeente of een rechtspersoon die door een gemeente met het beheer is belast;

  • c.

    afvoeren: het brengen van stoffen op een riolering of op een zuiveringtechnisch werk in beheer bij het hoogheemraadschap;

  • d.

    stoffen: de stoffen genoemd in artikel 8 van deze verordening;

  • e.

    afvalwater: afvalwater als bedoeld in artikel 3.4 van de Waterwet;

    Met ingang van de datum van inwerkingtreding van artikel 2.17 van de Omgevingswet (Stb. 2016, 156) komt artikel 1, onderdeel e als volgt te luiden:

  • e.

    afvalwater als bedoeld in artikel 2.17 van de Omgevingswet;

  • f.

    drinkwater: water als bedoeld in artikel 1, eerste lid, van de Drinkwaterwet;

  • g.

    drinkwaterbedrijf: drinkwaterbedrijf als bedoeld in artikel 1, eerste lid, van de Drinkwaterwet;

  • h.

    woonruimte: een ruimte die blijkens zijn inrichting bestemd is om als een afzonderlijk geheel te voorzien in woongelegenheid en waarvan de delen blijkens de inrichting van die ruimte niet bestemd zijn om afzonderlijk in gebruik te worden gegeven;

  • i.

    bedrijfsruimte: een naar zijn aard en inrichting als afzonderlijk geheel te beschouwen ruimte of terrein, niet zijnde een woonruimte, een zuiveringtechnisch werk of een riolering;

  • j.

    ingenomen water: geleverd drink– en industriewater, warm tapwater, onttrokken grond– en oppervlaktewater en opgevangen hemelwater;

  • k.

    warm tapwater: warm tapwater als bedoeld in artikel 1, eerste lid, van de Drinkwaterwet;

  • l.

    heffingsambtenaar: de ambtenaar bedoeld in artikel 123, derde lid, onderdeel b, van de Waterschapswet;

  • m.

    dagelijks bestuur: het college van dijkgraaf en hoogheemraden van het hoogheemraadschap.

Artikel 2 Bijlagen

Bij deze verordening behoren de volgende bijlagen:

  • bijlage I: voorschriften voor meting, bemonstering, analyse en berekening;

  • bijlage II: tabel afvalwatercoëfficiënten zoals opgenomen in artikel 122k, derde lid van de Waterschapswet.

Artikel 3 Belastbaar feit en heffingsplicht

  • 1. Ter bestrijding van kosten die zijn verbonden aan de behartiging van de taak inzake het zuiveren van afvalwater, wordt onder de naam zuiveringsheffing een directe belasting geheven ter zake van direct of indirect afvoeren.

  • 2. Aan de heffing worden onderworpen:

    • a.

      ter zake het afvoeren vanuit een woonruimte of een bedrijfsruimte: degene die het gebruik heeft van die ruimte;

    • b.

      ter zake het afvoeren anders dan bedoeld onder a: degene die afvoert.

  • 3. Voor de toepassing van het tweede lid onder a, is heffingsplichtig:

    • a.

      in geval van gebruik van een woonruimte door de leden van een huishouden: degene die door de heffingsambtenaar is aangewezen;

    • b.

      in geval van gebruik door degene aan wie een deel van een bedrijfsruimte in gebruik is gegeven: degene die dat deel in gebruik heeft gegeven met dien verstande dat degene die het deel in gebruik heeft gegeven, bevoegd is de heffing als zodanig te verhalen op degene aan wie dat deel in gebruik is gegeven;

    • c.

      in geval van het voor volgtijdig gebruik ter beschikking stellen van een woonruimte of bedrijfsruimte: degene die de ruimte ter beschikking heeft gesteld, met dien verstande dat degene die de ruimte ter beschikking heeft gesteld, bevoegd is de heffing als zodanig te verhalen op degene aan wie de ruimte ter beschikking is gesteld.

  • 4. Indien stoffen met behulp van een riolering worden afgevoerd, is degene bij wie die riolering in beheer is, slechts voor die stoffen die de beheerder zelf op de riolering heeft gebracht aan een heffing onderworpen.

  • 5. Het afvoeren door het hoogheemraadschap is vrijgesteld van de heffing.

Artikel 4 Ontstaan van de belastingschuld en heffing naar tijdsevenredigheid

  • 1. De heffing ter zake van woonruimten en bedrijfsruimten als bedoeld in artikel 17 is verschuldigd bij het begin van het heffingsjaar of, zo dit later is, bij de aanvang van de heffingsplicht.

  • 2. Indien ter zake van woonruimten de heffingsplicht als bedoeld in het eerste lid in de loop van het heffingsjaar aanvangt, is de heffing verschuldigd voor zoveel twaalfde gedeelten van de voor dat jaar verschuldigde belasting als er in dat jaar, na de aanvang van de heffingsplicht, nog volle kalendermaanden overblijven. Indien de heffingsplicht aanvangt op de eerste dag van een kalendermaand wordt die kalendermaand aangemerkt als een volle kalendermaand.

  • 3. Indien ter zake van woonruimten de heffingsplicht als bedoeld in het eerste lid in de loop van het heffingsjaar eindigt, bestaat aanspraak op ontheffing voor zoveel twaalfde gedeelten van de voor dat jaar verschuldigde heffing als er in dat jaar, na het einde van de heffingsplicht, nog volle kalendermaanden overblijven. Indien de heffingsplicht eindigt op de eerste dag van een kalendermaand wordt die kalendermaand aangemerkt als een volle kalendermaand.

  • 4. Indien de heffingsplicht voor woonruimten is beëindigd na de dagtekening van de aanslag, kan de heffingsplichtige een aanvraag tot ontheffing indienen bij de heffingsambtenaar.

  • 5. Het tweede en derde lid zijn niet van toepassing indien de heffingsplichtige het gebruik van de woonruimte beëindigt en direct aansluitend binnen het gebied van het hoogheemraadschap het gebruik krijgt van een woonruimte van waaruit eveneens wordt afgevoerd.

Artikel 5 Heffingsjaar

Het heffingsjaar is gelijk aan het kalenderjaar.

Artikel 6 Uitnodigen tot het doen van aangifte

Met betrekking tot de zuiveringsheffing geheven van gebruikers van bedrijfsruimten, wordt de uitnodiging voor het doen van aangifte gedaan door:

  • a.

    het uitreiken of toezenden van een aangiftebiljet;

  • b.

    het uitreiken of toezenden van een aangiftebrief waarin wordt verzocht om aangifte te doen op de wijze als bedoeld in artikel 7.

Artikel 7 Het doen van aangifte

Het doen van aangifte geschiedt door:

  • a.

    Het inleveren of toezenden van het aangiftebiljet met de daarbij gevraagde bescheiden;

  • b.

    Het op elektronische wijze toezenden van de door de betreffende programmatuur gevraagde gegevens.

Artikel 8 Grondslag en heffingsmaatstaf

  • 1. Voor de heffing als bedoeld in artikel 3 geldt als grondslag de hoeveelheid en de hoedanigheid van de stoffen die in een kalenderjaar worden afgevoerd.

  • 2. Voor de heffing geldt als heffingsmaatstaf de vervuilingswaarde van de stoffen die in een kalenderjaar worden afgevoerd. De vervuilingswaarde wordt uitgedrukt in vervuilingseenheden.

  • 3. Het aantal vervuilingseenheden met betrekking tot zuurstofbindende stoffen wordt bepaald op basis van de som van het chemisch zuurstofverbruik en het zuurstofverbruik door omzetting van stikstofverbindingen, zoals voorgeschreven in Bijlage I van deze verordening. Eén vervuilingseenheid vertegenwoordigt met betrekking tot zuurstofbindende stoffen een verbruik in het heffingsjaar van 54,8 kilogram zuurstof.

  • 4. Het aantal vervuilingseenheden met betrekking tot de stoffen chroom, koper, lood, nikkel, zink, arseen, kwik, cadmium, chloride, sulfaat en fosfor wordt bepaald op basis van de afgevoerde gewichtshoeveelheden, zoals voorgeschreven in Bijlage I van deze verordening. Eén vervuilingseenheid vertegenwoordigt een in het heffingsjaar afgevoerde gewichtshoeveelheid van:

    • a.

      1,00 kilogram van de stoffen chroom, koper, lood, nikkel en zink;

    • b.

      0,100 kilogram van de stoffen arseen, cadmium en kwik;

    • c.

      650 kilogram van de stoffen chloride en sulfaat;

    • d.

      20 kilogram van de stof fosfor.

  • 6. De stof zilver wordt niet aan de heffing onderworpen.

Artikel 9 Meting, bemonstering en analyse

  • 1. Het aantal vervuilingseenheden aan zuurstofbindende stoffen en andere stoffen wordt berekend met behulp van door meting, bemonstering en analyse verkregen gegevens. De meting, bemonstering, analyse en berekening geschieden met inachtneming van de in Bijlage I opgenomen voorschriften.

  • 2. De in het eerste lid bedoelde meting, bemonstering en analyse geschieden ieder etmaal van het heffingsjaar, behoudens het bepaalde in artikel 10.

  • 3. De meting, bemonstering en analyse geschieden zodanig dat:

    • a.

      de gemeten hoeveelheid afvalwater niet meer dan 5% afwijkt van de werkelijke hoeveelheid afvalwater;

    • b.

      het verkregen monster representatief is voor de totale hoeveelheid stoffen die gedurende de bemonsteringsperiode vanuit het bedrijf of het bedrijfsonderdeel is geloosd.

  • 4. De heffingsplichtige brengt de wijze van meting en bemonstering met een beschrijving van de daarvoor te gebruiken apparatuur, voor aanvang van het heffingsjaar, ter kennis van de heffingsambtenaar. Indien het gebruik van de apparatuur in de loop van het heffingsjaar aanvangt of wijzigt, dan wordt dit vóór de ingebruikname of de wijziging ter kennis van de heffingsambtenaar gebracht.

  • 5. De heffingsambtenaar:

    • a.

      kan ambtshalve bepalen dat meting en bemonstering geschieden in afwijking van één of meer van de in Bijlage I, onderdeel A, opgenomen voorschriften, indien deze aannemelijk maakt dat dit noodzakelijk is ter voldoening aan het bepaalde in het derde lid, onderdelen a en b;

    • b.

      beslist op aanvraag van de heffingsplichtige, dat meting en bemonstering kunnen geschieden in afwijking van een of meer van de in Bijlage I, onderdelen A en B, opgenomen voorschriften, indien de heffingsplichtige aannemelijk maakt dat daarbij wordt voldaan aan het bepaalde in het derde lid, onderdelen a en b;

    • c.

      beslist op aanvraag van de heffingsplichtige, dat kan worden afgeweken van de in Bijlage I, onderdeel B, opgenomen analysevoorschriften, indien de heffingsplichtige aannemelijk maakt dat de nauwkeurigheid van de uitkomsten van de analyse hierdoor niet worden beïnvloed;

    • d.

      kan omtrent de afwijkingen als bedoeld in de onderdelen a, b en c nadere voorschriften geven.

  • 6. De heffingsambtenaar neemt zijn beslissing, bedoeld in het vijfde lid, onderdelen b en c, bij voor bezwaar vatbare beschikking. Deze beschikking bevat in elk geval:

    • a.

      de voorschriften van Bijlage 1, onderdelen A en B, waarvan wordt afgeweken;

    • b.

      de afwijkingen bedoeld in het vijfde lid, onderdelen b en c;

    • c.

      de nadere voorschriften bedoeld in het vijfde lid, onderdeel d;

    • d.

      een vermelding van het heffingsjaar of de heffingsjaren waarvoor de beschikking wordt gegeven.

  • 7. De heffingsambtenaar is bevoegd twee of meer ingevolge het vijfde lid genomen beschikkingen, die betrekking hebben op hetzelfde bedrijf of hetzelfde bedrijfsonderdeel, in één geschrift te verenigen.

  • 8. De heffingsambtenaar kan bij veranderingen of te verwachten veranderingen in de hoeveelheid of hoedanigheid van de afgevoerde, respectievelijk af te voeren stoffen, de ingevolge het vijfde lid genomen beschikkingen, ambtshalve wijzigen of intrekken in verband met het bepaalde in het eerste lid en het derde lid.

Artikel 10 Beperkte meting, bemonstering en analyse

  • 1. Op aanvraag van de heffingsplichtige, die aannemelijk maakt dat voor de berekening van het aantal vervuilingseenheden kan worden volstaan met gegevens welke met behulp van meting, bemonstering en analyse in een beperkt aantal etmalen zijn verkregen, besluit de heffingsambtenaar dat meting en bemonstering geschieden in afwijking van het bepaalde in artikel 9, tweede lid. Het besluit op aanvraag wordt genomen bij een voor bezwaar vatbare beschikking. Deze beschikking bevat in elk geval:

    • a.

      een opgave van de afvalstromen en de stoffen welke in het onderzoek worden betrokken;

    • b.

      de tijdvakken waarin meting en bemonstering geschieden, hetzij ieder etmaal van die tijdvakken, hetzij één of meer daartoe aangewezen etmalen daarvan;

    • c.

      de wijze waarop de op de voet van letter b verkregen uitkomsten worden herleid tot het aantal vervuilingseenheden over een aldaar bedoeld tijdvak, onderscheidenlijk over het heffingsjaar;

    • d.

      een vermelding van het heffingsjaar of de heffingsjaren waarvoor de beschikking wordt gegeven.

  • 2. De heffingsambtenaar kan bij veranderingen of te verwachten veranderingen in de hoeveelheid of hoedanigheid van de afgevoerde, respectievelijk af te voeren stoffen, de desbetreffende beschikking, bedoeld in het eerste lid, ambtshalve wijzigen of intrekken indien toepassing van berekeningsvoorschrift C.2 van bijlage I leidt tot een ander aantal etmalen dan in die beschikking is opgenomen.

  • 3. De heffingsambtenaar neemt zijn beslissing, bedoeld in het tweede lid, bij voor bezwaar vatbare beslissing.

Artikel 11 Hoedanigheidscorrectie

  • 1. Indien de uitkomst van de methode tot bepaling van het chemisch zuurstofverbruik als bedoeld in artikel 8 in belangrijke mate is beïnvloed door biologisch niet of nagenoeg niet afbreekbare stoffen, wordt op aanvraag van de heffingsplichtige op die uitkomst een correctie toegepast.

  • 2. De berekening van de correctie geschiedt met inachtneming van de voorschriften welke zijn opgenomen in Bijlage I, onderdeel C.3 en in door het college van dijkgraaf & hoogheemraden vast te stellen nadere regels.

  • 3. De heffingsambtenaar neemt zijn beslissing als bedoeld in het eerste lid, bij voor bezwaar vatbare beschikking. Deze beschikking bevat in elk geval:

    • a.

      de wijze van berekening van de correctie;

    • b.

      de hoeveelheid en samenstelling van het afvalwater waarop de correctie van toepassing is;

    • c.

      de frequentie en de wijze van onderzoek met betrekking tot meting, bemonstering en analyse;

    • d.

      een vermelding van het heffingsjaar of de heffingsjaren waarvoor de beschikking wordt gegeven.

Artikel 12 Tabel afvalwatercoëfficiënten

  • 1. In afwijking van het bepaalde in artikel 9, eerste lid, kan het aantal vervuilingseenheden met betrekking tot het zuurstofverbruik in een kalenderjaar voor een bedrijfsruimte of een onderdeel daarvan worden vastgesteld met behulp van de in Bijlage II van deze verordening opgenomen tabel afvalwatercoëfficiënten, indien door de heffingsplichtige aannemelijk is gemaakt dat het aantal vervuilingseenheden met betrekking tot het zuurstofverbruik in een kalenderjaar 1.000 of minder bedraagt en dit aantal aan de hand van de hoeveelheid ingenomen water kan worden bepaald.

  • 2. Het aantal vervuilingseenheden als bedoeld in het eerste lid wordt berekend volgens de formule A x B, waarbij:

    • a.

      A = het aantal m³ in het kalenderjaar ten behoeve van de bedrijfsruimte of het onderdeel van de bedrijfsruimte ingenomen water;

    • b.

      B = de afvalwatercoëfficiënt behorende bij de klasse van de in Bijlage II opgenomen tabel met de klassengrenzen waarbinnen de vervuilingswaarde met betrekking tot het zuurstofverbruik per m³ water ten behoeve van de bedrijfsruimte of van het onderdeel van de bedrijfsruimte ingenomen water is gelegen.

  • 3. Indien de in het kalenderjaar ingenomen hoeveelheid water niet kan worden vastgesteld aan de hand van watermeterstanden die aan het begin en aan het einde van het kalenderjaar zijn opgenomen, stelt de heffingsambtenaar die hoeveelheid vast op een door hem nader vast te stellen wijze.

  • 4. De vervuilingswaarde met betrekking tot het zuurstofverbruik per m³ als bedoeld in het tweede lid wordt bepaald met toepassing van de algemene maatregel van bestuur als bedoeld in artikel 122k van de Waterschapswet.

  • 5. Indien het aantal vervuilingseenheden met betrekking tot het zuurstofverbruik in een kalenderjaar voor een bedrijfsruimte of een onderdeel daarvan meer dan 1.000 bedraagt en de heffingsplichtige aannemelijk maakt dat de berekening van het aantal vervuilingseenheden met toepassing van de in het eerste lid, aanhef, bedoelde tabel tot geen lagere uitkomst leidt dan die welke wordt verkregen bij berekening op de voet van artikel 9, eerste lid, beslist de heffingsambtenaar bij voor bezwaar vatbare beschikking op aanvraag van heffingsplichtige dat het aantal vervuilingseenheden wordt berekend met toepassing van de tabel.

Artikel 13 Vervuilingswaarde van tuinbouwkassen

  • 1. In afwijking van het bepaalde in artikel 9, eerste lid, wordt de vervuilingswaarde van de stoffen die worden geloosd vanuit een bedrijfsruimte of een onderdeel van een bedrijfsruimte, bestemd om in het kader van de uitoefening van een beroep of een bedrijf onder een permanente opstand van glas of kunststof gewassen te telen, bepaald op basis van het tweede lid.

  • 2. De vervuilingswaarde bedraagt drie vervuilingseenheden per hectare vloeroppervlak waarop onder glas of kunststof wordt geteeld en per deel van een hectare vloeroppervlak een evenredig deel van drie vervuilingseenheden.

  • 3. Indien in de loop van het kalenderjaar het gebruik van een in het eerste lid bedoelde bedrijfsruimte of onderdeel van een bedrijfsruimte, dan wel van een deel daarvan, door de gebruiker aanvangt of eindigt, wordt hij in dat kalenderjaar voor die bedrijfsruimte, dat onderdeel of dat deel voor een evenredig gedeelte van het op basis van het tweede lid bepaald aantal vervuilingseenheden aan een heffing onderworpen.

  • 4. Een vervuilingswaarde voor de bedrijfsruimte of het onderdeel van een bedrijfsruimte, berekend op basis van het tweede of derde lid, van minder dan vijf vervuilingseenheden wordt op drie vervuilingseenheden, en van één of minder dan één vervuilingseenheid op één vervuilingseenheid gesteld.

Artikel 14 Franchise

  • 1. Voor de berekening van het aantal vervuilingseenheden in het heffingsjaar voor de groep van stoffen chroom, koper, lood, nikkel en zink wordt een aftrek toegepast, met dien verstande dat het aantal vervuilingseenheden niet lager dan op nihil kan worden gesteld.

  • 2. De aftrek wordt bepaald door het totaal aantal vervuilingseenheden aan zuurstofbindende stoffen, als berekend op grond van de artikelen 9 tot en met 12, te vermenigvuldigen met 0,0162.

  • 3. Voor de berekening van het aantal vervuilingseenheden in het heffingsjaar voor de groep van stoffen arseen, cadmium en kwik wordt een aftrek toegepast, met dien verstande dat het aantal vervuilingseenheden niet lager dan op nihil kan worden gesteld. De aftrek wordt bepaald door het totaal aantal vervuilingseenheden aan zuurstofbindende stoffen, als berekend op grond van de artikelen 9 tot en met 12, te vermenigvuldigen met 0,0027.

  • 4. Voor de berekening van het aantal vervuilingseenheden in het heffingsjaar van de stoffen chloride, fosfor en sulfaat wordt een aftrek toegepast, met dien verstande dat het aantal vervuilingseenheden niet lager dan op nihil kan worden gesteld. De aftrek wordt bepaald door het totaal aantal vervuilingseenheden aan zuurstofbindende stoffen, als berekend op grond van de artikelen 9 tot en met 12, te vermenigvuldigen met 0,0168 voor chloride en sulfaat en 0,025 voor fosfor.

Artikel 15 Drempel en meetverplichting

  • 1. Indien de vervuilingswaarde met betrekking tot de zuurstofbindende stoffen van een bedrijfsruimte minder bedraagt dan 1.000 vervuilingseenheden wordt, in afwijking van het bepaalde in artikel 9:

    • a.

      het aantal vervuilingseenheden van de groep van stoffen chroom, koper, lood, nikkel en zink op nihil gesteld, tenzij de heffingsambtenaar aannemelijk maakt dat het aantal vervuilingseenheden met betrekking tot deze stoffen de in artikel 14, eerste lid, bedoelde aftrek te boven gaat;

    • b.

      het aantal vervuilingseenheden van de groep van stoffen arseen, cadmium en kwik op nihil gesteld, tenzij de heffingsambtenaar aannemelijk maakt dat het aantal vervuilingseenheden met betrekking tot deze stoffen de in artikel 14, tweede lid, bedoelde aftrek te boven gaat;

    • c.

      het aantal vervuilingseenheden van de stoffen chloride, fosfor en sulfaat op nihil gesteld, tenzij de heffingsambtenaar aannemelijk maakt dat het aantal vervuilingseenheden met betrekking tot deze stof de artikel 14, derde lid, bedoelde aftrek te boven gaat.

  • 2. Indien de vervuilingswaarde met betrekking tot de zuurstofbindende stoffen van een bedrijfsruimte 1.000 vervuilingseenheden of meer bedraagt, wordt, in afwijking van het bepaalde in artikel 9:

    • a.

      het aantal vervuilingseenheden van de groep van stoffen chroom, koper, lood, nikkel en zink op nihil gesteld, indien de heffingsplichtige aannemelijk maakt dat het aantal vervuilingseenheden met betrekking tot deze stoffen de in artikel 14, eerste lid, bedoelde aftrek niet te boven gaat;

    • b.

      het aantal vervuilingseenheden van de groep van stoffen arseen, cadmium en kwik op nihil gesteld, indien de heffingsplichtige aannemelijk maakt dat het aantal vervuilingseenheden met betrekking tot deze stoffen de in artikel 14, tweede lid, bedoelde aftrek niet te boven gaat;

    • c.

      het aantal vervuilingseenheden van de stof chloride, fosfor en sulfaat op nihil gesteld, indien de heffingsplichtige aannemelijk maakt dat het aantal vervuilingseenheden met betrekking tot deze stof de in artikel 14, derde lid, bedoelde aftrek niet te boven gaat.

Artikel 16 Totale vervuilingswaarde van een bedrijfsruimte

De vervuilingswaarde van een bedrijfsruimte wordt bepaald op de som van de aantallen vervuilingseenheden als berekend overeenkomstig de artikelen 9 tot en met 15, voor zover deze van toepassing zijn.

Artikel 17 Vervuilingswaarde van kleine bedrijfsruimten

  • 1. In afwijking van artikel 9, eerste lid, wordt de vervuilingswaarde van de stoffen die vanuit een bedrijfsruimte of vanuit een zuiveringtechnisch werk voor het zuiveren van afvalwater worden afgevoerd gesteld op drie vervuilingseenheden indien door de heffingsplichtige aannemelijk is gemaakt dat die vervuilingswaarde minder dan vijf vervuilingseenheden bedraagt en op één vervuilingseenheid indien door de heffingsplichtige aannemelijk is gemaakt dat die vervuilingswaarde één vervuilingseenheid of minder bedraagt.

  • 2. Indien de aanslag in het heffingsjaar al is opgelegd voor drie vervuilingseenheden en de heffingsplichtige aannemelijk maakt dat de vervuilingswaarde één vervuilingseenheid of minder bedraagt, bestaat aanspraak op vermindering. De heffingsplichtige kan daartoe na afloop van het heffingsjaar of, bij beëindiging van de heffingsplicht, in de loop van het heffingsjaar een aanvraag indienen bij de heffingsambtenaar.

Artikel 18 Vervuilingswaarde van woonruimten

  • 1. In afwijking van artikel 9, eerste lid, wordt de vervuilingswaarde van de stoffen die vanuit een woonruimte worden afgevoerd, gesteld op drie vervuilingseenheden. De vervuilingswaarde van de stoffen die vanuit een door één persoon gebruikte woonruimte worden afgevoerd, bedraagt één vervuilingseenheid.

  • 2. Het eerste lid is niet van toepassing op de voor recreatiedoeleinden bestemde woonruimten die zich bevinden op een voor verblijfrecreatie bestemd terrein dat als zodanig wordt geëxploiteerd. De in de vorige volzin bedoelde woonruimten worden tezamen aangemerkt als een bedrijfsruimte dan wel als een onderdeel van een bedrijfsruimte.

  • 3. Indien de in het eerste lid bedoelde situatie dat een woonruimte wordt gebruikt door één persoon ontstaat in de loop van het heffingsjaar, wordt de vervuilingswaarde op één vervuilingseenheid vastgesteld met ingang van de eerste dag van de kalendermaand volgend op de kalendermaand waarin die situatie is ontstaan. Indien de hiervoor bedoelde situatie ontstaat op de eerste dag van een kalendermaand, wordt de vervuilingswaarde met ingang van die dag op één vervuilingseenheid vastgesteld.

  • 4. Indien de in het derde lid bedoelde situatie ontstaat ná de dagtekening van de aanslag, bestaat aanspraak op vermindering. De heffingsplichtige kan daartoe een aanvraag indienen bij de heffingsambtenaar.

Artikel 19 Schatting

De heffingsambtenaar kan het aantal vervuilingseenheden in een kalenderjaar geheel of gedeeltelijk door middel van schatting vaststellen, indien door de heffingsplichtige:

  • a.

    meting, bemonstering en analyse niet of niet geheel zijn geschied in overeenstemming met de in deze verordening, waaronder Bijlage I opgenomen voorschriften;

  • b.

    het aantal vervuilingseenheden niet is berekend met behulp van meting, bemonstering en analyse en bepaling van de vervuilingswaarde op basis van artikel 12, eerste of vijfde lid, 13, eerste lid, 17, eerste lid, of 18, eerste lid, niet mogelijk is;

  • c.

    het aantal vervuilingseenheden niet is berekend met behulp van meting, bemonstering en analyse, bepaling van de vervuilingswaarde op basis van artikel 12, vijfde lid, wel mogelijk is, maar door de heffingsplichtige gedurende het heffingsjaar geen aanvraag als bedoeld in dat artikel is gedaan;

  • d.

    niet of niet geheel is voldaan aan de voorwaarden, verbonden aan het in artikel 9, 10 of 11 bedoelde besluit.

Artikel 20 Tarief

Het tarief bedraagt € 78,56 per vervuilingseenheid.

Artikel 21 Wijze van heffing en termijnen van betaling

  • 1. De heffing wordt geheven bij wege van aanslag.

  • 2. De aanslagen zijn invorderbaar twee maanden na de dagtekening van het aanslagbiljet.

  • 3. Het bedrag inzake een bestuurlijke boete is eveneens invorderbaar twee maanden na de dagtekening van de beschikking.

  • 4. In afwijking van het bepaalde in het tweede en derde lid is, op verzoek van de belastingschuldige en indien een machtiging voor automatische incasso is afgegeven, de aanslag en de bestuurlijke boete invorderbaar in tien gelijke maandelijkse termijnen, waarvan de eerste vervalt op de laatste dag van de eerste maand volgende op die van de dagtekening.

  • 5. Het minimumbedrag bij automatische incasso is € 10,00 per termijn. Als het bedrag van de aanslag minder is dan € 100,00, wordt het bedrag in minder dan tien termijnen afgeschreven.

  • 6. Een verzoek als bedoeld in het vierde lid wordt gedaan binnen drie weken na dagtekening van het aanslagbiljet.

  • 7. Aanslagen die een bedrag van € 7,00 niet te boven gaan worden niet opgelegd.

  • 8. Voor de toepassing van het zevende lid wordt het totaal van de op één aanslagbiljet verenigde aanslagen aangemerkt als één aanslag.

Artikel 22 Nadere regels

Het dagelijks bestuur kan nadere regels geven met betrekking tot de heffing en de invordering.

Artikel 23 Intrekking, inwerkingtreding, tijdstip van ingang van de heffing en citeertitel

  • 1. De Verordening zuiveringsheffing Hoogheemraadschap Hollands Noorderkwartier 2024, vastgesteld op 13 december 2023, wordt ingetrokken met ingang van de in het derde lid genoemde datum van ingang van de heffing, met dien verstande dat zij van toepassing blijft op de belastbare feiten die zich voor die datum hebben voorgedaan.

  • 2. Deze verordening treedt in werking op de eerste dag na die van de bekendmaking.

  • 3. De datum van ingang van de heffing is 1 januari 2025.

  • 4. De in bijlage I genoemde normbladen worden bekendgemaakt door terinzagelegging op het kantoor van Hoogheemraadschap Hollands Noorderkwartier.

  • 5. Deze verordening wordt aangehaald als Verordening zuiveringsheffing Hoogheemraadschap Hollands Noorderkwartier 2025 of Verordening zuiveringsheffing HHNK 2025.

Ondertekening

Aldus vastgesteld in de openbare vergadering van het college van hoofdingelanden van 18 december 2024.

de secretaris,

M.J. Kuipers

de dijkgraaf,

ir. R.P.G. Bosma

Bijlage I Voorschriften voor meting, bemonstering, analyse en berekening

Indeling Bijlage I

Definitiebepalingen

A

Wijze van meting, bemonstering en monsterbehandeling

Paragraaf A.1

Algemeen

Paragraaf A.2

Meting

A.2.1

Doorstroomsnelheid

A.2.1.1

Doorstroomsnelheid open meetsystemen

A.2.1.2

Doorstroomsnelheid gesloten meetsystemen

A.2.2

Controle meetapparatuur en meettraject

A.2.2.1

Controle meetapparatuur (simulatie)

A.2.2.2

Controle meettraject (natte kalibratie)

A.2.2.3

Inbouw debietmeter

A.2.2.4

Kalibratiecertificaat

Paragraaf A.3

Bemonstering

A.3.1

Algemeen, instelling en uitvoering apparatuur

Paragraaf A.4

Monsterbehandeling

A.4.1

Algemeen

A.4.2

Conservering en maximale bewaartermijn

Tabel A

B

Analysevoorschriften

Paragraaf B.1

Algemeen

Paragraaf B.2

Analyse

Tabel B

C

Berekeningsvoorschriften

C.1

Berekeningswijze van het aantal vervuilingseenheden

C.2

Bepaling aantal etmalen

C.3

Hoedanigheidscorrectie

Definitiebepalingen

In deze bijlage wordt verstaan onder:

  • a.

    verzamelmonster: monster dat is samengesteld in een vooraf vastgestelde periode dat wordt verkregen door (deel)monsters die op basis van volume of tijd zijn genomen;

  • b.

    etmaal: een aaneengesloten periode van 24 uur;

  • c.

    etmaalverzamelmonster: een verzamelmonster dat wordt samengesteld in een etmaal;

  • d.

    debiet: de hoeveelheid afgevoerd afvalwater gedurende het etmaal;

  • e.

    debietmeter: meter waarmee (bijvoorbeeld door middel van magnetische inductie) het debiet gemeten wordt;

  • f.

    momentaan debiet: de hoeveelheid afgevoerd afvalwater gedurende een moment van meting;

  • g.

    kalibreren: bepalen van de waarde van de afwijkingen ten opzichte van een van toepassing zijnde standaard;

  • h.

    simuleren: het controleren van een debietmeter door het nabootsen van een meetsignaal;

  • i.

    justeren: het softwarematig aanpassen van een correctiefactor/meterconstante;

  • j.

    nat kalibreren: kalibreren van een debietmeter waarbij daadwerkelijk een nauwkeurig bekende hoeveelheid vloeistof door de debietmeter wordt geleid;

  • k.

    gesloten meetsysteem: meetsysteem dat het debiet meet in een gesloten leiding of in een gesloten drukleiding, waarbij het afvalwater niet in contact staat met de buitenlucht;

  • l.

    open meetsysteem: meetsysteem waarbij het oppervlak van het stromende afvalwater in contact staat met de buitenlucht;

  • m.

    moedermeter: debietmeter, waarvan de installatie kan worden herleid naar de nationale volumestandaard van de aangewezen instantie zoals bedoeld in artikel 12 van de Metrologiewet;

  • n.

    bewaartermijn: de periode tussen het einde van het etmaal en het begin van de voorbehandeling ten behoeve van de uitvoering van de analyse;

  • o.

    rapportagegrens: laagste concentratie van de component die kwantitatief kan worden gerapporteerd. De rapportagegrens is minimaal de aantoonbaarheidsgrens, zijnde 3x de spreiding van binnenlaboratoriumreproduceerbaarheid.

A Wijze van meting, bemonstering en monsterbehandeling

Paragraaf A.1 Algemeen

In deze paragraaf worden enkele voorschriften gegeven die gelden bij de wijze van meting, de wijze van monstername en –behandeling.

Hierbij gelden de volgende algemene eisen:

  • De meet- en bemonsteringsvoorzieningen verkeren in een goede staat, worden regelmatig schoongemaakt en zijn altijd goed en veilig toegankelijk.

  • De meet- en bemonsteringsvoorzieningen worden overeenkomstig onderstaande bepalingen respectievelijk NEN 6600-1 (Water-Monsterneming Deel 1: Afvalwater 2019) geïnstalleerd en onderhouden.

  • Een afvalwaterstroom kan zowel in een open als in een gesloten meetsysteem worden gemeten en bemonsterd.

In paragraaf A.2 wordt nader ingegaan op de meting en in paragraaf A.3 op de bemonstering.

In paragraaf A.4 wordt nader ingegaan op de monsterbehandeling.

Paragraaf A.2 Meting

Meting heeft tot doel de hoeveelheid afvalwater per etmaal (het debiet) vast te stellen. Het debiet wordt in de afvalwaterstroom gemeten. Indien het niet mogelijk is om het debiet in de afvalwaterstroom te meten kan het debiet in plaats daarvan worden bepaald op basis van meting van de hoeveelheid water in het watertoevoersysteem van het bedrijf of van de bedrijfsonderdelen. In het laatstbedoelde geval mag de per etmaal afgevoerde hoeveelheid afvalwater niet groter zijn dan de in dezelfde periode toegevoerde hoeveelheid water.

Het meetsysteem is voorzien van een niet-resetbare pulsteller. Registratie van momentane meetgegevens alsmede etmaalgegevens vindt plaats door middel van een printer of datalogger of andere vorm van geautomatiseerd registratiesysteem. Het meetsignaal van het registratiesysteem moet overeenkomen met het meetsignaal van de debietmeter.

A.2.1 Doorstroomsnelheid

Voor een betrouwbare meting is de doorstroomsnelheid van het afvalwater van belang. Hierbij wordt een onderscheid gemaakt tussen een open en een gesloten meetsysteem.

A.2.1.1 Doorstroomsnelheid open meetsystemen

Bij open meetsystemen wordt een meetput of een meetgoot toegepast.

Bij toepassing van een meetput gelden de volgende eisen:

  • 1.

    de momentane debieten in het etmaal, gemeten bij overstorthoogten van minder dan 0,05 meter, bedragen gesommeerd minder dan 5% van het gemeten debiet;

  • 2.

    de momentane debieten in het etmaal, gemeten bij overstorthoogten van minder dan 0,125 meter, bedragen gesommeerd minder dan 10% van het gemeten debiet.

Bij toepassing van een meetgoot bedragen de momentane debieten in het etmaal, van minder dan 16,4% van het maximaal mogelijk momentane debiet, gesommeerd, minder dan 10% van het gemeten debiet.

A.2.1.2 Doorstroomsnelheid gesloten meetsystemen

Voor het bepalen van de geschiktheid van de debietmeter geldt als richtlijn dat de verhouding tussen het maximale en minimale debiet ≥ 10 behoort te zijn, waarbij het debiet (indien groter dan nul) van de te bemonsteren stroom in 95 % van de tijd groter is dan het minimale debiet van de meter is. Minimale en maximale debiet zijn de debieten waarbij de meter de opgegeven precisie haalt.

A.2.2 Controle meetapparatuur en meettraject

De meetapparatuur is in goede staat en is kundig geïnstalleerd. In dit onderdeel worden daartoe enkele voorschriften gesteld.

A.2.2.1 Controle meetapparatuur (simulatie)

Ten minste éénmaal per jaar wordt de meetapparatuur voor debietmetingen gesimuleerd, tenzij in dat jaar een natte kalibratie (A.2.2.2) plaatsvindt.

Aan de simulatie worden de volgende eisen gesteld:

  • a.

    Bij een simulatie wordt de weerstand of de geleidbaarheid tussen de elektroden gemeten. Wanneer aan de hand van deze controle blijkt dat de meetbuis (mogelijk) vervuild is, wordt deze gereinigd.

  • b.

    Op het controlerapport van een simulatie wordt de weerstand of de geleidbaarheid tussen de elektroden weergegeven. Wanneer de meetbuis is gereinigd, wordt deze waarde zowel vóór, als ná het reinigen in het controlerapport vermeld.

  • c.

    Bij de simulatie wordt ook de werking van randapparatuur, voor zover die betrokken is bij de registratie van de meetgegevens, op een goede werking gecontroleerd.

  • d.

    Wanneer bij een simulatie blijkt dat de meetfout groter is dan 5%, wordt het gesloten meetsysteem onmiddellijk in ingebouwde toestand nat gekalibreerd, volgens de bepalingen welke van toepassing zijn bij een natte kalibratie (A.2.2.2).

Bij toepassing van open meetsystemen worden aan de simulatie de volgende aanvullende eisen gesteld:

De apparatuur voor de hoogtemeting wordt minimaal éénmaal per jaar bij overstorthoogten van 5, 10, 15, 20 en 25 centimeter gesimuleerd. In het controlerapport wordt voor elke overstorthoogte een vergelijking gemaakt tussen de gemeten hoeveelheid afvalwater gedurende de periode van het simuleren, en de bij de desbetreffende overstorthoogte met behulp van de afvoerrelatie van de meetvoorziening berekende hoeveelheid afvalwater over de periode van het simuleren. Zowel het absolute als het procentuele verschil wordt hierbij aangegeven. Bij ultrasone hoogtemeting wordt ook de temperatuurmeting en de temperatuurcorrectie gecontroleerd en gecorrigeerd bij afwijking. De werking van de volgapparatuur bij meting wordt gecontroleerd door vergelijking van de aanwijzing, registratie (recorder en/of printer), integratie en telling.

A.2.2.2 Controle meettraject (natte kalibratie)

De meetapparatuur wordt ten minste éénmaal per drie jaar in ingebouwde toestand nat gekalibreerd. In het jaar van natte kalibratie hoeft niet tevens een simulatie te worden uitgevoerd.

Voor debietmeters in mobiele meetapparatuur vindt de natte kalibratie jaarlijks plaats in ingebouwde toestand bij minimaal de volgende vijf meetpunten: 10%, 25%, 50%, 75% en 100% van het maximaal meetbereik bij een RvA-geaccrediteerde instelling, waarvan de installatie kan worden herleid naar de nationale volumestandaard van de aangewezen instantie zoals bedoeld in artikel 12 van de Metrologiewet.

Indien blijkt dat een meetinstrument buiten de fabrieksspecificaties valt vindt justering plaats, waarna een natte kalibratie in ingebouwde toestand plaatsvindt ("as left"). Een rapportage van het justeren wordt bij het kalibratiecertificaat gevoegd.

Voorts worden aan de natte kalibratie de volgende eisen gesteld:

  • 1.

    Minimaal éénmaal per drie jaar worden gesloten meetsystemen in ingebouwde toestand nat gekalibreerd op een door de heffingsambtenaar vooraf goedgekeurde methode. De natte kalibratie vindt plaats door:

    • a.

      een vooraf nauwkeurig bepaalde hoeveelheid water door de te kalibreren meter te geleiden (waarbij deze hoeveelheid is vastgesteld bij een onder b genoemde instelling); of

    • b.

      een tweede, bij voorkeur op hetzelfde meetprincipe gebaseerd meetsysteem in serie te plaatsen die fungeert als moedermeter; of

    • c.

      op een andere, door de heffingsambtenaar goedgekeurde methode.

  • 2.

    Indien bij de natte kalibratie gebruik gemaakt wordt van een moedermeter, wordt deze in ingebouwde toestand nat gekalibreerd bij minimaal de volgende vijf meetpunten: 10%, 25%, 50%, 75% en 100% van het maximaal meetbereik. De natte kalibratie vindt plaats op een ijkinstallatie van een RvA-geaccrediteerde instelling, waarvan de installatie kan worden herleid naar de nationale volumestandaard van de aangewezen instantie zoals bedoeld in artikel 12 van de Metrologiewet. Ook wanneer de moedermeter nieuw is, wordt deze gekalibreerd op één van de genoemde installaties, waarbij de meter is ingebouwd in de meetset of meetwagen waarin deze in de praktijk zal worden ingezet.

  • 3.

    Het kalibratiecertificaat van de moedermeter, waaruit het onder b bepaalde moet blijken, mag niet ouder zijn dan één jaar. Dit kalibratiecertificaat wordt bij die van het gekalibreerde meetsysteem gevoegd.

  • 4.

    Tijdens de natte kalibratie wordt zoveel water door het te kalibreren meetsysteem geleid, dat minimaal 2.000 waarnemingen worden bereikt. Indien nodig kan hiertoe voor de kalibratieperiode de pulsinstelling tijdelijk aangepast worden. De kalibratie vindt plaats in het werkgebied waarin de te kalibreren meter onder normale bedrijfsomstandigheden functioneert.

  • 5.

    Tijdens de natte kalibratie worden de gemeten hoeveelheden water van de te kalibreren flowmeter (én van de moedermeter, wanneer daarvan sprake is) door middel van printers of dataloggers continu geregistreerd. In geval van het toepassen van dataloggers worden ook de ruwe, onbewerkte data bij het kalibratiecertificaat gevoegd.

  • 6.

    Bij de natte kalibratie wordt ook de randapparatuur, voor zover die betrokken is bij de registratie van de meetgegevens, op een goede werking gecontroleerd.

A.2.2.3 Inbouw debietmeter

Bij de inbouw van een debietmeter in een gesloten meetsysteem wordt een 'af fabriek' kalibratiecertificaat meegeleverd, waarop naast de meterspecifieke kalibratiefactor, óók de correctiefactor, of meterconstante staat aangegeven. Natte kalibratie in ingebouwde toestand vindt direct plaats na inwerkingstelling van de debietmeter.

Voorts worden aan de inbouw de volgende eisen gesteld:

  • a.

    Bij het inbouwen wordt rekening gehouden met de mogelijkheid tot het uitvoeren van een natte kalibratie in ingebouwde toestand.

  • b.

    De debietmeter wordt overeenkomstig de voorschriften van de leverancier geïnstalleerd.

A.2.2.4 Kalibratiecertificaat

Van een debietmeter moet het meest recente kalibratiecertificaat bij de aangifte overgelegd worden.

Bij een natte kalibratie in ingebouwde toestand (dat wil zeggen: ter plekke op het bedrijf, of als complete mobiele meetset op een testbank van een daartoe bevoegde instantie), worden de volgende aspecten vastgesteld én gerapporteerd op het kalibratiecertificaat:

  • de ‘as–found’ meetafwijking (de gevonden meetafwijking);

  • eventuele hardwarematige aanpassingen (nieuwe spoel, etc.);

  • de justering (softwarematige aanpassing van de correctiefactor/meterconstante);

  • de ‘as–left’ meetafwijking, eventueel na hardwarematige aanpassing en/of justering;

  • de (eventueel nieuwe) correctiefactor, of meterconstante.

Paragraaf A.3 Bemonstering

A.3.1 Algemeen, instelling en uitvoering van apparatuur

De bemonstering vindt plaats met behulp van automatische monstername–apparatuur. De bemonstering geschiedt in overeenstemming met NEN 6600-1 (Water–Monsterneming Deel 1: Afvalwater 2019), met dien verstande dat bemonstering door steekbemonstering niet is toegestaan, tenzij anders is bepaald door de heffingsambtenaar.

Paragraaf A.4 Monsterbehandeling

A.4.1 Algemeen

De monsterbehandeling geschiedt in overeenstemming met NEN 6600-1 (Water-Monsterneming Deel 1: Afvalwater 2019) en conform paragraaf 9 van NEN 6600-1 (2019) worden de monsters direct na bemonstering geconserveerd, verpakt en getransporteerd volgens NEN-EN-ISO 5667-3 (2018). De monsters worden gekoeld en in het donker bewaard tussen 1° en 5° C.

Na vullen van de monsterflessen wordt van het verzameld etmaalmonster een representatief deel van drie liter gedurende 24 uur in een goed gesloten vat/fles in het donker bewaard tussen 1° en 5° C ten behoeve van contra-analyse door de heffingsambtenaar. De monsterflessen bestemd voor analyse door de heffingsplichtige en voor contra-analyse door de heffingsambtenaar worden om en om gevuld. Op deze wijze wordt bewerkstelligd dat het monster voor de analyse op een heffingsparameter door de heffingsplichtige en voor de desbetreffende contra-analyse door de heffingsambtenaar zoveel mogelijk identiek zijn.

A.4.2 Conservering en maximale bewaartermijn

De verkregen monsters worden tot en met het einde van de bewaartermijn geconserveerd op de wijze zoals is aangegeven in tabel A. Als een monster uit het etmaalverzamelmonster wordt ingevroren of chemisch geconserveerd, geschiedt dit binnen twaalf uur na afloop van het etmaal. In hoeverre kan worden afgeweken van deze termijn van twaalf uur wordt per geval bepaald door het hoogheemraadschap al naar gelang de specifieke omstandigheden en wordt vastgelegd in de voor bezwaar vatbare beschikking bedoeld in artikel 9, zesde lid. De eventuele voorschriften met betrekking tot chemische conservering gelden in aanvulling op de voorschriften met betrekking tot de conserveringstemperatuur gedurende de bewaartermijn.

In tabel A zijn tevens de maximale bewaartermijnen opgenomen die gelden voor de onderscheidenlijk uit te voeren analyses. De voorbehandeling ten behoeve van een analyse vangt na het einde van het etmaal aan, binnen de maximale bewaartermijn die bij de desbetreffende analyse in tabel A is vermeld. De voorbehandeling van het monster ten behoeve van de analyse, waaronder is inbegrepen het ontdooien van bevroren monsters, wordt uitgevoerd op een wijze en binnen een zodanige termijn dat daardoor de representativiteit van het monster niet wordt verstoord. Een monster dat op één van de in tabel A aangegeven wijzen chemisch is geconserveerd wordt niet gebruikt voor één van de in tabel A opgenomen wijzen van analyse, waarvoor op basis van tabel A geen of andere voorschriften op het vlak van de chemische conservering gelden.

Tabel A

Voor analyse op

Omgevingstemperatuur

Methode conservering

Maximale bewaartijd

tijdens

transport

tot einde

bewaartermijn

Biochemisch

zuurstofverbruik

tussen 2 en 8 oC

tussen 1 en 5 oC

Koelen onder uitsluiting van licht

1 dag

<-18 oC

Invriezen binnen 12 uur

1 mnd (indien BZV ≤ 50 mg/I)

6 mnd (indien BZV >50 mg/I)

Chemisch zuurstof­verbruik

tussen 2 en 8 oC

tussen 1 en 5 oC

Koelen en aanzuren binnen 12 uur met H2S04 tot pH < 2

6 maanden

<-18 °C

Invriezen binnen 12 uur

6 maanden

Som ammoniumstikstof en organisch gebonden stikstof

tussen 2 en 8 oC

tussen 1 en 5 oC

Koelen en aanzuren binnen 12 uur met H2S04 tot pH < 2

1 maand

<-18 °C

Invriezen binnen 12 uur

6 maanden

Cadmium, chroom, koper, lood, nikkel en zink

Geen koeling verplicht

Geen koeling verplicht

Aanzuren binnen 12 uur met HN03 tot pH < 2

6 maanden

Arseen

Geen koeling verplicht

Geen koeling verplicht

Aanzuren binnen 12 uur met HN03 tot pH < 2

Indien hydride techniek wordt gebruikt aanzu­ren binnen 12 uur met HCI tot pH < 2

6 maanden

Kwik (Hg)

Geen koeling verplicht

Geen koeling verplicht

Aanzuren binnen 12 uur met HN03 tot pH < 2

6 maanden

Aanzuren binnen 12 uur met HCI, 1 ml/100 ml tot pH <2

6 maanden

Chloride

tussen 2 en 8 oC

tussen 1 en 5 oC

Koelen

1 maand

Sulfaat

tussen 2 en 8 oC

tussen 1 en 5 oC

Koelen

1 maand

Fosfor (totaal)

tussen 2 en 8 oC

tussen 1 en 5 oC

Koelen en aanzuren binnen 12 uur met geconcentreerd HN03 of

H2S04 tot pH < 2

1 maand

<-18 °C

Invriezen binnen 12 uur

6 maanden

Het biochemisch zuurstofverbruik is weliswaar geen heffingsparameter voor de zuiveringsheffing, maar wordt aangewend bij toepassing van berekeningsvoorschrift C.3 van deze bijlage. Op grond van dit berekeningsvoorschrift wordt de methode van het biochemisch zuurstofverbruik toegepast voor de bepaling van het percentage chemisch zuurstofverbruik van de biologisch niet of nagenoeg niet afbreekbare stoffen (de zogenaamde T-correctie).

Voor de T-correctie worden afvalwatermonsters met een bezinksel- en/of opdrijvende volume van ≥ 0,2 ml/liter voor aanvang van de analyses gefiltreerd over een glasvezelfilter met maximaal een poriegrootte van 1,6 µm volgens NEN-EN 872. De filtratie vindt plaats in een onaangezuurd monster.

Voor opgelost CZV geldt als conservering:

  • koelen, filtreren en invriezen binnen twaalf uur.

  • koelen, filtreren en aanzuren met H2S O4 tot pH < 2 binnen 12 uur.

Voor de biodegradatietest (BZV-oneindig) geldt als conservering dat het afvalwatermonster binnen 12 uur na bemonstering wordt ingezet. Invriezing is niet toegestaan.

B Analysevoorschriften

Paragraaf B.1 Algemeen

De analyses worden uitgevoerd in het representatieve monster, dat is verkregen op de in onderdeel A van deze bijlage vermelde wijze. Het onderzoek wordt in het water als zodanig

uitgevoerd, dus zonder dat daaruit bezinkbare of opdrijvende bestanddelen zijn verwijderd.

De analyses worden uitgevoerd door een geaccrediteerd laboratorium waarbij de betreffende analyses worden uitgevoerd conform de normbladen genoemd in Tabel B die zijn geaccrediteerd door de Raad van Accreditatie.

Er is in dit onderdeel verwezen naar normbladen, uitgegeven door het Nederlands Normalisatie Instituut NEN. Bij wijziging in/van een normblad gedurende het kalenderjaar wordt voor de toepassing van deze verordening deze wijziging eerst van kracht op 1 januari van het jaar volgende op de wijziging.

De in tabel B vermelde rapportagegrenzen zijn de concentraties van de desbetreffende stoffen die bij de analyse ten minste gerapporteerd moeten kunnen worden.

Paragraaf B.2 Analyse

De analyse van het monster geschiedt op de wijze zoals die is aangegeven in tabel B.

Tabel B

Parameter/stof

Ontsluiting volgens normblad

Meting volgens normblad

Rapportagegrens 1)

chemisch

zuurstofverbruik

 

NEN 6633:2006 of

NEN-ISO 15705 2)

5 mg/I 3)

biochemisch

zuurstofverbruik

 

NEN-EN-ISO 5815-1

1 mg/I

som ammoniumstikstof en organisch gebonden stikstof

NEN 6645

NEN-ISO 15923-1

0,5 mg/I

NEN 6646+C1:2015

NEN-EN-ISO 11732

NEN-EN-ISO 20236

Deeltjes verkleinen zodanig dat deeltjes <0,5 mm

NEN-EN-ISO 20236 en voor correctie nitriet/nitraat:

NEN-EN-ISO 13395; 

of NEN-ISO 15923-1

NEN-ISO 5663

NEN-ISO 15923-1

NEN-ISO 5663

arseen

NEN-EN-ISO 15587-1

NEN-EN-ISO 11885 (ICP-AES)

2 µg/I

NEN-EN-ISO 15587-1

NEN-EN-ISO 17294-2 (ICP-MS)

chloride (Cl )

 

NEN-ISO 15923-1

5 mg/I

NEN 6476

NEN-EN-ISO 10304-1

NEN-EN-ISO 15682

Fosfor (totaal)

NEN 6645

NEN-ISO 15923-1

0,1 mg/I

NEN-EN-ISO 6878

NEN-EN-ISO 6878

NEN-EN-ISO 15587-1

NEN-EN-ISO 11885 (ICP-AES)

NEN-EN-ISO 17294-2 (ICP-MS)

Onopgeloste stoffen

 

NEN-EN 872

2 mg/I

Elektrisch geleidingsvermogen

 

NEN-ISO 7888

Volgens norm

cadmium (Cd),

chroom (Cr),

koper (Cu),

lood (Pb),

nikkel (Ni),

zink (Zn)

NEN-EN-ISO 15587-1

NEN-EN-ISO 11885 (ICP-AES)

Cd: 0,3 µg/l

Cr: 2 µg/l

Cu: 10 µg/l

Pb: 10 µg/l

Ni: 7 µg/l

Zn: 40 µg/l

NEN-EN-ISO 17294-2 (ICP-MS)

NEN 6953, hoofdstuk 5.3.3.3 4)

NEN-EN-ISO 11885 (ICP-AES)

NEN-EN-ISO 17294-2 (ICP-MS)

kwik

NEN-EN-ISO 15587-1

NEN-EN-ISO 12846 (AAS)

0,25 µg/l

NEN-EN-ISO 17852 (AFS)

NEN-EN-ISO 11885 (ICP-AES)

NEN-EN-ISO 17294-2 (ICP-MS)

sulfaat (S04 )

 

NEN-ISO 15923-1

volgens norm

NEN-EN-ISO 10304-1

NEN-ISO 22743

1) De rapportagegrenzen voor zware metalen zijn gebaseerd op een afvalwatermonster met een soortelijke geleiding tot 1500 µS/cm en bij onopgeloste stoffen tot een gehalte van 100 mg/l. Bij afvalwatermonsters met een matrix die groter is dan genoemde waarden voor elektrisch geleidingsvermogen en zwevende stof kan een hogere rapportagegrens gelden.

2) Met betrekking tot de bepaling van het chemisch zuurstofverbruik is ook een analysemethode beschikbaar volgens normblad NEN-ISO 15705. Op aanvraag van de heffingsplichtige besluit de heffingsambtenaar of analyse volgens NEN-ISO 15705 wordt toegestaan als vervangende methode voor de analyse volgens normblad NEN 6633.

De heffingsambtenaar beslist bij voor bezwaar vatbare beschikking waarin de voorwaarden worden vastgelegd.

Bij het indienen van een aanvraag moet het bedrijf rekening houden met het volgende:

  • Het bedrijf moet per bedrijfsafvalwaterstroom aantonen door middel van een vergelijkingsonderzoek dat de resultaten van beide methodes onderling niet significant afwijken. (marge van +/- 5%).

  • De analyse is alleen toepasbaar voor onverdunde monsters met een gehalte aan zuurstofverbruik tot aan 1.000 mg/l en chlorideconcentraties die lager zijn dan 1.000 mg/l.

  • De analyse kan alleen worden uitgevoerd in een aangezuurd afvalwatermonster.

  • Het afvalwatermonster wordt altijd gehomogeniseerd met behulp van een Ultra Turrax (15 tot 30 seconden).

3) De analyse volgens normblad NEN-ISO 15705 heeft een rapportagegrens van 6 mg/l voor fotometrische detectie bij 600 nm en 15 mg/l voor titrimetrische detectie (gebaseerd op één enkelvoudige meting van één laboratorium) wanneer cuvetten worden gebruikt met een bereik van maximaal 1.000 mg/l.

4) NEN 6953, hoofdstuk 5.3.3.3 mag alleen worden toegepast op afvalwatermonsters met een soortelijke geleiding tot 1500 µS/cm en een zwevend stof gehalte tot 100 mg/l.

C Berekeningsvoorschriften

C.1 Berekeningswijze van het aantal vervuilingseenheden

a. Zuurstofbindende stoffen:

(artikel 8, derde lid)

Het aantal vervuilingseenheden met betrekking tot het zuurstofverbruik wordt berekend door het totale aantal kilogrammen zuurstofverbruik van de in het kalenderjaar afgevoerde zuurstofbindende stoffen te delen door 54,8 kilogram.

Het aantal kilogrammen zuurstofverbruik van de gedurende een etmaal afgevoerde zuurstofbindende stoffen wordt berekend volgens de formule:

(Q x (CZV + 4,57 x N - Kj))

1000

In deze formule wordt verstaan onder:

Q: het aantal m³ afgevoerd afvalwater per etmaal;

CZV: het chemisch zuurstofverbruik bepaald volgens de in onderdeel B van deze bijlage vermelde analysevoorschriften, in mg/l;

N–Kj: de som van ammoniumstikstof en organisch gebonden stikstof volgens de in onderdeel B van de in deze bijlage vermelde analysevoorschriften, in mg/l.

b. Andere dan zuurstofbindende stoffen:

(artikel 8, vierde lid)

Het aantal vervuilingseenheden met betrekking tot de andere dan zuurstofbindende stoffen wordt berekend door het totale aantal kilogrammen van deze in het kalenderjaar afgevoerde stoffen te delen door respectievelijk:

  • 1.

    1,00 kilogram voor de stoffen chroom, koper, lood, nikkel, zilver en zink;

  • 2.

    0,100 kilogram voor de stoffen arseen, kwik en cadmium;

  • 3.

    650 kilogram voor de stoffen chloride en sulfaat;

  • 4.

    20,0 kilogram voor de stof fosfor.

De afgevoerde hoeveelheden per etmaal voor de hierboven onder b genoemde stoffen worden bepaald met behulp van de formule:

(Q x C)

1000

In deze formule wordt verstaan onder:

Q: het aantal m³ afgevoerd afvalwater per etmaal;

C: de concentratie van de desbetreffende stoffen in mg/l, bepaald op de onder B omschreven wijze.

C.2 Bepaling aantal etmalen

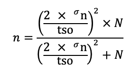
Bij de bepaling van het aantal etmalen in artikel 10 wordt gebruik gemaakt van de volgende formule:

afbeelding binnen de regeling

In deze formule wordt verstaan onder:

n: het berekende aantal meetdagen;

N: het aantal dagen per jaar waar op wordt afgevoerd;

σn: spreidingspercentage in de meetwaarden, uitgedrukt ten opzichte van de gemiddelde hoeveelheid zuurstofverbruik van de onderzoeksresultaten gedurende het heffingsjaar;

tso: toelaatbare statistische onnauwkeurigheid à 35/e0,000175*VeO, met dien verstande dat VeO vervangen kan worden door respectievelijk VeCl, VeS, VeP, VeZ en VeG, waarbij:

VeO: vervuilingswaarde van de afgevoerde zuurstofbindende stoffen;

VeCl: vervuilingswaarde van de afgevoerde stof chloride

VeP: vervuilingswaarde van de afgevoerde stof fosfor;

VeS: vervuilingswaarde van de afgevoerde stof sulfaat;

VeG: vervuilingswaarde van de afgevoerde stoffen chroom, koper, lood, nikkel, zilver en zink;

VeZ: vervuilingswaarde van de afgevoerde stoffen arseen, cadmium en kwik.

C.3 Hoedanigheidscorrectie

Indien de CZV–waarde voor ten minste 25% afkomstig is van biologisch niet of nagenoeg niet afbreekbare stoffen in het afvalwater, wordt op die waarde een correctie toegepast door deze te vermenigvuldigen met de breuk:

(100 – T)

75

In deze formule wordt verstaan onder:

T: het percentage CZV, afkomstig van biologisch niet of nagenoeg niet afbreekbare stoffen.

Bijlage II Tabel afvalwatercoëfficiënten (artikel 122k, derde lid, Waterschapswet)

Klasse

Klassegrenzen uitgedrukt in aantal vervuilings-

eenheden met betrekking tot het zuurstofverbruik

per m3 ingenomen water

Afvalwatercoëfficiënt uitgedrukt in aantal vervuilingseenheden per m3 ingenomen water in het heffingsjaar

 

ondergrens

bovengrens

 

1

> 0

0,0013

0,0010

2

> 0,0013

0,0020

0,0016

3

> 0,0020

0,0031

0,0025

4

> 0,0031

0,0048

0,0039

5

> 0,0048

0,0075

0,0060

6

> 0,0075

0,012

0,0094

7

> 0,012

0,018

0,015

8

> 0,018

0,029

0,023

9

> 0,029

0,045

0,036

10

> 0,045

0,070

0,056

11

> 0,070

0,11

0,088

12

> 0,11

0,17

0,14

13

> 0,17

0,27

0,21

14

> 0,27

0,42

0,33

15

> 0,42

 

0,5

Toelichting op de Verordening zuiveringsheffing Hoogheemraadschap Hollands Noorderkwartier 2024

A.ALGEMEEN

Doelstelling en karakter zuiveringsheffing

De Waterschapswet regelt in artikel 122d, eerste lid, dat onder de naam zuiveringsheffing een heffing kan worden ingesteld ter bestrijding van kosten die zijn verbonden aan de behartiging van de taak inzake het zuiveren van afvalwater. De zuiveringsheffing is dus een bestemmingsheffing (dekkingsmiddel van kosten). De relevante bepalingen zijn opgenomen in de artikelen 122c tot en met 122l van de Waterschapswet. Zuiveringsheffing wordt geheven voor 'indirecte' lozingen. Dat wil zeggen dat het afvalwater niet rechtstreeks naar oppervlaktewater wordt afgevoerd maar via de gemeentelijke riolering en/of de zuiveringsinstallatie (en/of transportleidingen) van het hoogheemraadschap.

Met de zuiveringsheffing worden onder meer de kosten van de aan de waterschappen toebedeelde taak om stedelijk afvalwater te zuiveren (artikel 2.17 van de Omgevingswet) bekostigd. Deze taak kan worden onderverdeeld in actief beheer (het feitelijk transporteren en zuiveren van het afvalwater, alsmede het verbranden van zuiveringsslib) en passief beheer (vergunningverlening, toezicht en controle, handhaving, waterkwaliteitsbeheersplannen). In artikel 122d, vijfde lid, van de Waterschapswet zijn daarnaast nog expliciet een tweetal bestedingsmogelijkheden van de heffingsopbrengst genoemd.

Alle overige activiteiten die niet tot het zuiveren en/of transporteren van afvalwater behoren, zijn ondergebracht in de zorg voor het watersysteem. De kosten daarvan worden hoofdzakelijk bestreden uit de opbrengst van de watersysteemheffing (artikel 117 van de Waterschapswet) en de verontreinigingsheffing. De relevante bepalingen betreffende de verontreinigingsheffing zijn opgenomen in Hoofdstuk 7 van de Waterwet. In artikel 7.2, vijfde lid, Waterwet, is bepaald dat de opbrengst van de verontreinigingsheffing kan worden geheven ter zake van 'directe' lozingen op oppervlaktewater.

B.ARTIKELSGEWIJZE TOELICHTING

Considerans

Bevoegdheid college van hoofingelanden

Uitsluitend het college van hoofdingelanden is bevoegd tot het vaststellen van de belastingverordening. Dit vloeit voort uit artikel 110 van de Waterschapswet. Het college van dijkgraaf & hoogheemraden is belast met de voorbereiding van de belastingverordening (artikel 84 van de Waterschapswet).

Wettelijke grondslag

De wettelijke basis voor het door waterschappen heffen van de zuiveringsheffing ligt in hoofdstuk XVIIb van de Waterschapswet. Voorts zijn in hoofdstuk 6 van het Waterschapsbesluit nog enkele nadere regels gesteld.

Artikel 1 Begripsbepalingen

Om duidelijkheid te scheppen over een aantal in de verordening voorkomende begrippen en om de leesbaarheid van de tekst te bevorderen, is van deze begrippen een omschrijving gegeven in artikel 1. Daarbij is aangesloten bij de begripsbepalingen in artikel 122c van de Waterschapswet.

Onderdeel a

Een zuiveringtechnisch werk is voor de Waterschapswet een voorziening voor het zuiveren of het transporteren van afvalwater. Het begrip omvat naast afvalwaterzuiveringsinstallaties ook gemalen, persleidingen, vrijvervalleidingen, open en dichte afvoergoten en pompstations ten behoeve van het afvalwater. Ook voorzieningen voor individuele behandeling van afvalwater (IBA’s) vallen onder het begrip zuiveringtechnisch werk. De gemeentelijke riolering wordt hier niet onder begrepen (zie onderdeel b, waarbij het begrip riolering is gedefinieerd).

Onderdeel b

Onder riolering wordt verstaan het gemeentelijk rioolstelsel zoals dat wordt bedoeld in artikel 10.33, eerste lid, van de Wet milieubeheer. Dit kan worden beheerd door de gemeente zelf, of door een rechtspersoon, in opdracht van de gemeente.

Onderdeel c

Afvoeren is het brengen van stoffen op een riolering of op een zuiveringtechnisch werk in beheer bij het hoogheemraadschap.

Onderdeel d

Voor de omschrijving van ‘stoffen’ is verwezen naar de stoffen genoemd in artikel 8. In dat artikel zijn de stoffen opgenomen die door het hoogheemraadschap in de heffing worden betrokken, alsmede de gewichtseenheden van die stoffen.

Onderdeel e

Met het begrip 'afvalwater' wordt aangesloten bij het begrip uit artikel 3.4 van de Waterwet. Zodra artikel 2.17 van de Omgevingswet (Stb. 2016, 156) in werking treedt, gaat deze bepaling op in artikel 2.17 van de Omgevingswet. Waar in deze verordening wordt gesproken van afvalwater wordt hiermee stedelijk afvalwater bedoeld.

Onderdeel f

Voor de definitie van het begrip 'drinkwater' wordt aangesloten bij het begrip 'drinkwater' zoals dat is omschreven in artikel 1, eerste lid, van de Drinkwaterwet.

Onderdeel g

Ingevolge artikel 122c, onderdeel g, van de Waterschapswet is door de toepassing van de zuiveringsheffing een drinkwaterbedrijf een bedrijf als bedoeld in artikel 1, eerste lid, van de Drinkwaterwet.

Onderdeel h

Dit onderdeel regelt wat onder een woonruimte moet worden verstaan. Niet elke bewoonde ruimte kan als woonruimte worden aangemerkt. Een woonruimte wordt geacht te zijn bestemd om als een afzonderlijk geheel te voorzien in woongelegenheid. Of dit het geval is moet blijken uit de inrichting van de ruimte. In deze definitie wordt tot uitdrukking gebracht dat het moet gaan om een ruimte die zelfstandig bruikbaar is en derhalve niet meer dan bijkomstig afhankelijk is van elders in het gebouw aanwezige voorzieningen die voor de woonfunctie wel van wezenlijk belang zijn. Hierbij moet worden gedacht aan het met gebruikers van andere ruimten delen van faciliteiten als kookgelegenheid, sanitair of bad- en douchegelegenheid. Dit komt vaak in onder meer studentenhuizen en pensions voor. In een dergelijke situatie kan niet worden gesproken van een woonruimte in de zin van deze verordening. Zie hiervoor ook de arresten van de Hoge Raad van 23 juli 1984, BNB 1984/282, Belastingblad 1984, blz. 544, 8 februari 1995, BNB 1995/92, Belastingblad 1995, blz. 202, 10 januari 1996, BNB 1996/77, Belastingblad 1996, blz. 168).

Dat het begrip woonruimte ruim moet worden uitgelegd valt af te leiden uit het arrest van de Hoge Raad van 29 mei 1991 waarin een kajuitzeilschip als woonruimte werd aangemerkt (BNB 1991/213, Belastingblad 1991, blz. 479).

Onderdeel i

Bij de omschrijving van het begrip bedrijfsruimte is gekozen voor een negatieve formulering om een zo groot mogelijke reikwijdte aan het begrip te geven. Alles wat geen woonruimte is moet als een bedrijfsruimte worden aangemerkt. Zo is bijvoorbeeld ook een stuk landbouwgrond als een bedrijfsruimte aangemerkt (Hof ‘s–Gravenhage 17 maart 1993, Belastingblad 1993, blz. 457).

In een ogenschijnlijk soortgelijke situatie oordeelde de rechter echter anders. Hierbij ging het om een kavel los land –deels akkerbouw, deels weiland- dat niet als bedrijfsruimte kon worden aangemerkt. Er stonden namelijk geen opstallen op en voor de exploitatie maakte de agrariër gebruik van machines die elders, in de schuur achter zijn boerderij, werden gestald. Hierdoor was hij meer dan bijkomstig afhankelijk van elders aanwezige, voor de bedrijfsexploitatie wezenlijke, voorzieningen (Hof ’s-Gravenhage, 18 februari 1997, Belastingblad 1997, blz. 729).

Of daar ook sprake van was bij de zandopspuiting wordt uit de casus niet duidelijk. Het Hof stelde alleen vast dat er sprake was van het afvoeren van met slib verontreinigd perswater en liet de aanslag in stand (Hof Arnhem 22 augustus 1997, Belastingblad 1997, blz. 745).

Ook een festivalterrein kan als bedrijfsruimte kwalificeren. Voor kwalificatie van een terrein als bedrijfsruimte is niet van belang of dat terrein een openbaar karakter heeft, en evenmin of belanghebbende zich ten eigen behoeve van dat terrein bedient. Nu niet blijkt dat het festivalterrein niet kan worden gebruikt zonder dat de gebruiker meer dan bijkomstig afhankelijk is van elders aanwezige voorzieningen, is hier sprake van een bedrijfsruimte in de zin van de verordeningen (Hoge Raad 11 juli 2008, ECLI:NL:HR:2008:BD6823, BNB 2008/241).

Voor de vraag of sprake is van één of van twee bedrijfsruimten is onder andere van belang het arrest van de Hoge Raad van 14 juni 1995 (BNB 1995/233, Belastingblad 1995, blz. 627) waarin een bij twee verschillende personen in gebruik zijnde stortplaats als één bedrijfsruimte werd aangemerkt. Daarbij speelde onder andere een rol het feit dat de stortplaats maar één ingang heeft, om de gehele stortplaats een hek staat en er geen deugdelijke afscheiding is tussen beide delen van de stortplaats.

Onderdeel j

Behalve via nutsbedrijven wordt ook op andere wijze water verkregen. Zo wordt op steeds grotere schaal door bedrijven voor sanitair gebruik hemelwater opgevangen. Omdat dit water na gebruik wordt afgevoerd, dient het eveneens in de berekening van de vervuilingswaarde te worden betrokken. Ditzelfde geldt voort warm tapwater (zie onderdeel k).

Onderdeel k

In de Drinkwaterwet komt het begrip warm tapwater voor (artikel 1, eerste lid). Dit is water voor huishoudelijk gebruik dat door een leverancier wordt opgewarmd alvorens het aan de consument wordt geleverd. Door de Drinkwaterwet wordt warm tapwater nadrukkelijk uitgezonderd van het begrip drinkwater. Het is echter wel water dat na gebruik wordt afgevoerd en valt daarom binnen de ratio van ingenomen water (zie onderdeel j).

Onderdeel l

De inspecteur is het bestuursorgaan aan wie de wetgever door middel van de Algemene wet inzake rijksbelastingen de bevoegdheid tot het opleggen van aanslagen en het doen van uitspraak op bezwaar heeft geattribueerd. In artikel 123 van de Waterschapswet wordt onder meer de Algemene wet inzake rijksbelastingen van toepassing verklaard voor het heffen van belastingen door waterschappen. Dit artikel bepaalt voorts dat de bevoegdheden van de inspecteur toekomen aan de daartoe aangewezen ambtenaar van het hoogheemraadschap. Die aanwijzing geschiedt bij een door het dagelijks bestuur te nemen aanwijzingsbesluit. Behalve het opleggen van aanslagen en het doen van uitspraak op bezwaar komt krachtens deze verordening aan de heffingsambtenaar ook de bevoegdheid tot het afgeven van meetbeschikkingen toe (artikel 9 en verder). In de meetbeschikking worden specifieke voor een bepaalde heffingsplichtige geldende voorschriften vastgelegd. Dit betreft een nadere precisering van de algemene regels uit deze verordening voor een specifieke situatie. In de praktijk kan dat zowel een beperking als een aanvulling op de algemene regels betekenen.

Onderdeel m

Het college van dijkgraaf en hoogheemraden is het dagelijks bestuur van het hoogheemraadschap.

Artikel 2 Bijlagen

De grondslag voor de zuiveringsheffing wordt gevormd door de hoeveelheid en de hoedanigheid van de stoffen die worden afgevoerd. Als heffingsmaatstaf geldt de vervuilingswaarde van de stoffen die in een kalenderjaar worden afgevoerd, uitgedrukt in vervuilingseenheden. Zoals blijkt uit artikel 122g van de Waterschapswet is de hoofdregel dat het aantal vervuilingseenheden wordt vastgesteld met behulp van door middel van meting, bemonstering en analyse verkregen gegevens. In Bijlage I zijn nadere regels gesteld over de wijze van meting, bemonstering, analyse en berekening. Zie in dit verband ook de artikelen 9, 10 en 11 van de verordening.

In de artikelen 122h, 122i en 122k van de Waterschapswet is ook een aantal uitzonderingen op deze hoofdregel gegeven. Deze uitzonderingen, in casu voor woonruimten, kleine bedrijfsruimten, glastuinbouwbedrijven en bedrijven met een vervuilingswaarde van 1.000 vervuilingseenheden en minder, zijn eveneens in deze verordening opgenomen.

Voor bedrijven met een vervuilingswaarde met betrekking tot het zuurstofverbruik van 1.000 vervuilingseenheden en minder kan onder voorwaarden de berekening van het aantal vervuilingseenheden plaatsvinden met behulp van de tabel afvalwatercoëfficiënten en dus niet door middel van meting, bemonstering en analyse. Deze tabel is opgenomen in artikel 122k, derde lid, van de Waterschapswet en volledigheidshalve eveneens in Bijlage II. De wijze waarop deze tabel moet worden toegepast, is geregeld in artikel 12.

De bijlagen I en II maken deel uit van de verordening.

Artikel 3 Belastbaar feit en heffingsplicht

Eerste lid

De opbrengst van de zuiveringsheffing dient ter bestrijding van de kosten die zijn verbonden aan het zuiveren van afvalwater. De zuiveringsheffing is daarmee primair een bestemmingsheffing.

De zuiveringsheffing wordt aangemerkt als een directe belasting.

Het belastbare feit is het afvoeren van stoffen, dat wil zeggen het direct of indirect afvoeren van stoffen op een riolering of op een zuiveringtechnisch werk in beheer bij het hoogheemraadschap. Om beheerder en daarmee heffingsbevoegd te zijn, is het niet vereist dat de juridische eigendom van het zuiveringtechnisch werk daadwerkelijk bij het hoogheemraadschap berust. Dit is bijvoorbeeld van belang in situaties waar sprake is van zogeheten grensoverschrijdend afvalwater: het afvalwater ontstaat in het gebied van het ene waterschap en wordt afgevoerd naar een zuiveringtechnisch werk van een ander waterschap. In een dergelijk geval is het ontvangende waterschap bevoegd om degene die de stoffen heeft afgevoerd in de zuiveringsheffing te betrekken. Hierdoor kan de situatie ontstaan dat ten aanzien van hetzelfde adres aanslagen worden opgelegd door verschillende waterschappen. Die veelal ongewenste situatie kan worden voorkomen door het sluiten van een medebeheersovereenkomst tussen de betrokken waterschappen, waarin onder andere de wederzijdse financiële verplichtingen worden vastgelegd. Het waterschap waar het afvalwater ontstaat wordt daardoor ook beheerder van het ontvangende zuiveringtechnisch werk en daardoor heffingsbevoegd (Hoge Raad 11 december 1991, nr. 27 512, Belastingblad 1992, blz. 350).

Een ander voorbeeld waarin het waterschap weliswaar geen juridisch eigendom van het zuiveringtechnisch werk had maar wel heffingsbevoegd was, speelde in de zaak bij de Hoge Raad van 30 september 2016, 15/02820, ECLI:NL:HR:2016:2196, BNB 2016/229. Deze casus speelde weliswaar op een ander belastingterrein (WOZ), maar is ook in dit kader relevant doordat daarin de uitzondering "beheer door het waterschap" van doorslaggevend belang is. De Hoge Raad overwoog hierbij "dat artikel 3.4, lid 1, Waterwet (met ingang van 1 januari 2021 artikel 2.17, tweede lid, van de Omgevingswet) belanghebbende met betrekking tot de uitoefening van deze publieke taak de mogelijkheid biedt de exploitatie van de tot zuivering van afvalwater bestemde inrichting op te dragen aan een – door belanghebbend bestuur aan te wijzen – rechtspersoon, en dat dit niet in de weg staat aan de toepassing van de uitzondering (…)".

Tweede lid

Heffingsplichtig zijn degenen die afvoeren. Dit afvoeren kan op verschillende wijzen plaatsvinden. Voor de omschrijving van de belastingplicht wordt daarbij een koppeling gemaakt met het object van waaruit wordt afgevoerd.

Aan de hand van de feitelijke omstandigheden moet worden beoordeeld wie gebruiker is. Ingeval er meerdere gebruikers zijn, is het noodzakelijk dat de heffingsambtenaar of het dagelijks bestuur beleidsregels opstelt op grond waarvan één van de gebruikers als heffingsplichtige kan worden aangewezen.

Onderdeel a

Vindt het afvoeren plaats vanuit een woonruimte of vanuit een bedrijfsruimte, dan is de gebruiker van die ruimte aan de heffing onderworpen. Het komt voor dat een woonruimte of een bedrijfsruimte aan een gebruiker wordt verhuurd, waarbij één van de voorwaarden luidt dat de belastingen, waaronder de zuiveringsheffing, worden gedragen door de verhuurder. Dergelijke overeenkomsten doen niet af aan de heffingsplicht: de gebruiker blijft heffingsplichtig. Deze kan op grond van de huurovereenkomst zelf het bedrag van de aanslag terugvorderen bij de verhuurder.

De omschrijving van woonruimte is ook dusdanig dat er geen misverstand kan bestaan dat studentenhuizen met onzelfstandige wooneenheden dienen te worden aangemerkt als bedrijfsruimte, waarvoor de verhuurder op grond van artikel 3, derde lid, onderdeel c, in de heffing kan worden betrokken. (Zie ook Hoge Raad 23 juli 1984, BNB 1984/282, Belastingblad 1984, blz. 544 en Hoge Raad 8 februari 1995, BNB 1995/92).

In zijn arrest van 1 mei 1991 oordeelde de Hoge Raad dat als gebruiker van een bedrijfsruimte in de zin van de verordening slechts kan worden aangemerkt degene die zich daadwerkelijk min of meer duurzaam te eigen behoeve van de bedrijfsruimte kan bedienen. Daarom kon de aannemer die in opdracht van de landeigenaar op een stuk grond werkzaamheden uitvoert om deze geschikt te maken voor de bollenteelt, niet als gebruiker worden aangemerkt (BNB 1991/188, Belastingblad 1991, blz. 478).

Ook kan het gebruik van een woonruimte of van een bedrijfsruimte er op zijn gericht om die voor kortere perioden ter beschikking te stellen van wisselende, opeenvolgende gebruikers. In dergelijke gevallen is de verhuurder/exploitant belastingplichtig.

Onderdeel b

Vindt het afvoeren niet vanuit een woonruimte of vanuit een bedrijfsruimte plaats, dan is degene die afvoert heffingsplichtig.

Deze bepaling komt overeen met die in artikel 122d, tweede lid, onderdeel b, van de Waterschapswet. Dit artikel komt weer overeen met de bepaling in artikel 7.2, tweede lid, onderdeel c, uit de Waterwet. Deze bepaling is oorspronkelijk ingevoerd nadat was gebleken dat (incidenteel) afvoeren vanuit een tankauto niet als afvoeren vanuit een bedrijfsruimte kon worden aangemerkt. Bovendien bleek in de praktijk het achterhalen van de identiteit van de achterliggende vervuiler niet altijd mogelijk te zijn, evenals het vaststellen van individuele vervuilingswaarden indien de stoffen van meer dan één adres afkomstig zijn. In die gevallen biedt deze bepaling soelaas, omdat degene die feitelijk afvoert (in het geval van een tankauto dus de vervoerder) rechtstreeks in de heffing kan worden betrokken.

Door de gekozen formulering zijn overigens niet alleen lozingen vanuit tankauto’s aan de heffing onderworpen, maar ook alle andere denkbare wijzen van afvoeren anders dan vanuit een woonruimte of een bedrijfsruimte. Zo valt ook het afvoeren vanuit een zuiveringtechnisch werk onder de ratio van deze bepaling.

Derde lid

Onderdeel a

Wanneer er met betrekking tot dezelfde woonruimte sprake is van meerdere gebruikers, wijst de heffingsambtenaar voor het opleggen van de aanslag één van hen aan als heffingsplichtige. De criteria op grond waarvan die belastingplichtige wordt aangewezen, liggen vast in beleidsregels.

Onderdeel b

Wanneer een (onzelfstandig) deel van een bedrijfsruimte in gebruik is gegeven aan een ander, dan kan degene die dit in gebruik heeft gegeven de aan dat deel toe te rekenen zuiveringsheffing verhalen op degene die het in gebruik heeft. Hierbij kan worden gedacht aan bedrijfsverzamelgebouwen en dergelijke.

Onderdeel c

Wanneer het gaat om een woonruimte of een bedrijfsruimte die voor kortere perioden aan wisselende, opeenvolgende gebruikers ter beschikking wordt gesteld, kan de heffingsplichtige de zuiveringsheffing verhalen op degenen aan wie hij de ruimte ter beschikking heeft gesteld.

Vierde lid

In verreweg de meeste gevallen vindt het afvoeren naar het zuiveringtechnisch werk van het hoogheemraadschap plaats via de gemeentelijke riolering. Dit vierde lid voorziet er in dat in dergelijke gevallen niet de gemeente, maar degene die via de riolering heeft afgevoerd in de heffing wordt betrokken. De gemeente zelf is alleen heffingsplichtig voor zover het gaat om het afvoeren vanuit objecten waarvan de gemeente als gebruiker kan worden aangemerkt.

Vijfde lid

Het hoogheemraadschap kan er om doelmatigheidsredenen voor kiezen om het afvoeren vanuit objecten die het zelf in gebruik heeft, vrij te stellen van de zuiveringsheffing. Hoewel de Waterschapswet, geen specifieke vrijstellingsbepaling kent voor het afvoeren door het hoogheemraadschap zelf, kan een dergelijke vrijstellingsbepaling worden opgenomen op de voet van artikel 122l van de Waterschapswet.

Artikel 4 Ontstaan van de belastingschuld en heffing naar tijdsevenredigheid

Eerste lid

Hoewel de zuiveringsheffing een tijdvakheffing is, ontstaat bij woonruimten en kleine bedrijfsruimten de materiële belastingschuld door de regeling in het eerste lid toch bij het begin van het heffingsjaar. Dit heeft als voordeel dat al in het heffingsjaar zelf aanslagen kunnen worden opgelegd (formalisering van de belastingschuld) en dat niet gewacht hoeft te worden tot het heffingsjaar voorbij is. Bij een tijdvakbelasting is het echter niet zonder meer mogelijk om een definitieve aanslag gedurende het heffingsjaar op te leggen, omdat de omvang van de belastingschuld pas na afloop van het heffingsjaar bekend is. Dit blijkt uit een aantal uitspraken van de belastingrechter. Zie hiervoor Hoge Raad van 2 november 1994 inzake precariorechten (BNB 1995/12, Belastingblad 1994, blz. 819), Hof Amsterdam 15 december 1995 inzake liggeld woonschepen (Belastingblad 1996, blz. 331) en Hof Amsterdam 23 april 1997 (Belastingblad 1997, blz. 495) inzake verontreinigingsheffing. Uit deze jurisprudentie valt af te leiden dat om een definitieve aanslag al in het heffingsjaar zelf op te leggen, de heffingsverordening in een aantal zaken moet voorzien. Het gaat hierbij om:

  • een regeling op grond waarvan de belastingschuld wordt geacht bij het begin van het heffingsjaar te ontstaan (artikel 4, eerste lid);

  • een regeling op grond waarvan aanspraak op ontheffing bestaat indien de heffingsplicht in de loop van het jaar eindigt (voor woonruimten is dit geregeld in artikel 4, derde en vierde lid en voor kleine bedrijfsruimten voorziet artikel 17, tweede lid, daar in);

  • een regeling op grond waarvan aanspraak op vermindering bestaat indien de heffingsmaatstaf in de loop van het heffingsjaar wijzigt (voor woonruimten is dit geregeld in artikel 18, derde en vierde lid en voor kleine bedrijfsruimten in artikel 17, tweede lid).

Indien in de heffingsverordening dergelijke bepalingen ontbreken, kan een hoogheemraadschap in het heffingsjaar wel voorlopige aanslagen opleggen. Artikel 13 van de Algemene wet inzake rijksbelastingen geeft hiertoe de bevoegdheid.

Tweede lid

De vervuilingswaarde van een woonruimte wordt forfaitair vastgesteld op drie vervuilingseenheden en bij bewoning door één persoon op één vervuilingseenheid (artikel 18, eerste lid). De zuiveringsheffing is echter een tijdvakbelasting. Dit betekent dat wanneer de heffingsplicht zich niet gedurende het gehele heffingstijdvak voordoet, dit gevolgen heeft voor de berekening van de hoogte van de verschuldigde heffing. Artikel 122h, zesde lid, van de Waterschapswet bepaalt dat wanneer de heffingsplicht in de loop van het jaar aanvangt, de heffingsplichtige aan de heffing wordt onderworpen voor een evenredig gedeelte van het vastgestelde aantal vervuilingseenheden. In de verordening moet zijn aangegeven op welke wijze dat evenredig deel wordt vastgesteld. In deze verordening is gekozen voor de maandnauwkeurige variant.

Derde lid

Wanneer de heffingsplicht in de loop van het jaar eindigt, dan is de heffing op grond van artikel 122h, zesde lid, van de Waterschapswet eveneens voor een evenredig deel verschuldigd.

Vierde lid

Wanneer ná het opleggen van de aanslag de heffingsplicht in de loop van het jaar eindigt, is de heffingsambtenaar niet in de gelegenheid geweest om daar bij het vaststellen van de aanslag rekening mee te houden. Artikel 132 van de Waterschapswet geeft aan op welke wijze de heffingsplichtige aanspraak kan maken op ontheffing. Op de aanvraag zoals die kan worden ingediend, moet worden beslist bij voor bezwaar vatbare beschikking. Dit opent voor de heffingsplichtige in voorkomende gevallen de volledige fiscale rechtsgang. Hiermee is deze procedure uit het oogpunt van de rechtsbescherming van de heffingsplichtige met voldoende waarborgen omkleed.

Het staat het hoogheemraadschap ook vrij om, op grond van eigen gegevens, uit eigener beweging een dergelijke ontheffing te verlenen zonder een aanvraag van de heffingsplichtige af te wachten.

Vijfde lid

Wanneer de heffingsplichtige verhuist naar een andere woonruimte van waaruit eveneens wordt afgevoerd, zijn zowel het tweede als het derde lid van toepassing. Er kan immers worden gesteld dat ook in dat geval sprake is van het eindigen van de heffingsplicht en het opnieuw ontstaan van de heffingsplicht. Dit zou resulteren in een vermindering van een al opgelegde, en mogelijk zelfs al betaalde, aanslag voor de oude woning en een nieuwe aanslag voor de nieuwe woning. Om pragmatische redenen kan worden bepaald dat in een dergelijk geval het tweede en het derde lid niet van toepassing zijn. De aanslag verhuist dan als het ware mee. Dit artikellid geldt niet als iemand binnen het gebied verhuist en gaat inwonen bij iemand die voor het betreffende heffingsjaar al een aanslag zuiveringsheffing opgelegd heeft gekregen voor de betreffende (nieuwe) woonruimte.

Uiteraard gaat dit artikellid ook niet op wanneer vanuit de nieuwe woning stoffen op een oppervlaktewater in beheer bij het hoogheemraadschap worden gebracht: dan is de verontreinigingsheffing verschuldigd.

Artikel 5 Heffingsjaar

In artikel 5 is bepaald dat het heffingsjaar gelijk is aan het kalenderjaar. Dit is wettelijk voorgeschreven

zodat een afwijkende regeling in de verordening niet meer mogelijk is.

Artikel 6 en 7 Aangifte

Artikel 127, eerste lid, van de Waterschapswet schrijft voor dat de uitnodiging tot het doen van aangifte geschiedt door het uitreiken van een aangiftebiljet. Het tweede lid van dat artikel schrijft voor dat het doen van aangifte geschiedt door het inleveren of toezenden van het uitgereikte aangiftebiljet met de daarbij gevraagde bescheiden. Het vijfde lid biedt de mogelijkheid om in de belastingverordening daarvan afwijkende bepalingen op te nemen. Het is op grond van artikelen 6 en 7 ook mogelijk om langs elektronische weg aangifte te doen.

Artikel 8 Grondslag en heffingsmaatstaf

De grondslag van de heffing is de hoeveelheid en hoedanigheid van de stoffen die in een kalenderjaar worden afgevoerd. In het tweede lid is gekozen voor één uniforme heffingsmaatstaf, namelijk de vervuilingswaarde van de stoffen die in een kalenderjaar worden afgevoerd. Deze heffingsmaatstaf geldt dus zowel voor de zuurstofbindende als de overige stoffen en is gedefinieerd in relatie tot de stoffen ten aanzien waarvan het afvoeren is belast. Een verbruik van 54,8 kilogram zuurstof per heffingsjaar vertegenwoordigt één vervuilingseenheid. Voor de stoffen die worden genoemd in het vierde lid, gelden verschillende gewichtshoeveelheden per heffingsjaar. In het vierde lid zijn alle andere stoffen opgenomen die in de heffing worden betrokken. Het hoogheemraadschap heeft de keuze om die stoffen niet in de heffing te betrekken. Daartoe dient op grond van artikel 122f, derde lid, onderdeel a, van de Waterschapswet een afzonderlijk besluit te worden genomen. Het vijfde lid van artikel 8 voorziet in een dergelijk besluit.

Bij de heffingsmaatstaf is een onderscheid gemaakt tussen zuurstofbindende stoffen en andere stoffen. In beide gevallen is de heffingsmaatstaf de vervuilingswaarde uitgedrukt in vervuilingseenheden. Bij zuurstofbindende stoffen gaat het om de hoeveelheid zuurstof die nodig is om die stoffen af te breken. Die hoeveelheid wordt bepaald op de som van het chemisch zuurstofverbruik en het zuurstofverbruik door omzetting van stikstofverbindingen. Daarbij is één vervuilingseenheid de zuurstofbehoefte die ontstaat door de gemiddelde afvoer van huishoudelijk afvalwater van één persoon per jaar.

Bij de andere stoffen gaat het bij het vaststellen van de vervuilingswaarde om de hoeveelheid van die stoffen die worden afgevoerd. Daarbij is één vervuilingseenheid een omschreven hoeveelheid van in het heffingsjaar afgevoerde stoffen. Bij chroom, koper, lood, nikkel en zink is één geloosde kilogram één vervuilingseenheid. Vanwege de grotere schadelijkheid is bij arseen, cadmium en kwik een afgevoerde hoeveelheid van 100 gram al één vervuilingseenheid. Voor de stoffen chloride, sulfaat en fosfor zijn gewichtshoeveelheden van respectievelijk 650 kilogram, 650 kilogram en 20 kilogram één vervuilingseenheid.

Artikel 9 Meting, bemonstering en analyse

Hier is de hoofdregel opgenomen op grond waarvan bij de zuiveringsheffing de vervuilingswaarde dient te worden vastgesteld. Deze hoofdregel geldt niet alleen ter zake van het afvoeren vanuit bedrijfsruimten, maar ook ter zake van het afvoeren vanuit zuiveringtechnische werken of op andere wijze.

Eerste lid

Voor zowel de zuurstofbindende stoffen als voor de andere stoffen wordt het aantal vervuilingseenheden bepaald door middel van meting, bemonstering en analyse van het afvalwater. Daarbij maakt het niet uit of dit elk etmaal geschiedt of gedurende een beperkt aantal etmalen.

In Bijlage I zijn nadere regels gesteld met betrekking tot:

  • de wijze van meting, bemonstering en monsterbehandeling;

  • analysevoorschriften;

  • berekeningsvoorschriften.

De kosten van een dergelijk onderzoek zijn voor rekening van de heffingsplichtige. Het spreekt voor zich dat de vervuilingswaarde zo nauwkeurig mogelijk wordt vastgesteld. Echter niet tot elke prijs. Het Gerechtshof te ’s-Gravenhage oordeelde op 16 maart 1988 dat de kosten in redelijke verhouding tot de verschuldigde heffing moeten staan (Belastingblad 1988, blz. 626). Hiervan is sprake wanneer de kosten niet hoger zijn dan 40% van de verschuldigde heffing.

Tweede lid

Volgens het tweede lid dienen meting, bemonstering en analyse plaats te vinden gedurende alle dagen van het heffingsjaar. Hiervan kan echter onder omstandigheden worden afgeweken. Zie hierna onder artikel 10.

Derde lid

In het derde lid zijn de voorwaarden opgenomen waar meting en bemonstering aan moeten voldoen. De voorschriften van meting en bemonstering in Bijlage I zijn een waarborg voor de in het derde lid gestelde criteria. Als aan de voorschriften van Bijlage I niet kan worden voldaan, kan hiervan onder omstandigheden worden afgeweken. In hoeverre kan worden afgeweken van de voorschriften wordt per geval bepaald door het hoogheemraadschap al naar gelang de specifieke omstandigheden.

Vierde lid

De wijze van meting en bemonstering wordt, samen met een beschrijving van de te gebruiken apparatuur, vooraf meegedeeld aan de heffingsambtenaar. Ook de ingebruikname en wijziging van apparatuur gedurende het heffingsjaar valt ook onder de meldingsplicht.

Vijfde lid

De heffingsambtenaar mag onder voorwaarden afwijken van de in Bijlage I opgenomen voorschriften. Dit mag hij:

  • ambtshalve wanneer hij aannemelijk maakt dat dit noodzakelijk is om te voldoen aan de voorwaarden in het derde lid;

  • op aanvraag van de heffingsplichtige indien deze aannemelijk maakt dat ook dan nog steeds wordt voldaan aan de voorwaarden in het derde lid;

  • op aanvraag van de heffingsplichtige indien deze aannemelijk maakt dat de nauwkeurigheid van de analyseresultaten er niet door wordt beïnvloed.

Verder mag hij nadere voorschriften stellen.

De beslissing op aanvraag wordt bij een voor bezwaar vatbare beschikking genomen. Hiertegen staat de gewone fiscale rechtsgang van bezwaar en beroep open. Een belangrijk aandachtspunt daarbij is wel dat wanneer de heffingsplichtige zich niet kan verenigen met de beschikking en gebruik maakt van de hem ter beschikking staande rechtsmiddelen, de voorschriften in die beschikking wel moeten worden nageleefd. Dit om te voorkomen dat wanneer de heffingsplichtige in het ongelijk is gesteld en de beschikking onherroepelijk vaststaat, hij over onvoldoende gegevens beschikt om de vereiste aangifte te kunnen doen. De heffingsambtenaar zal in dat geval de aanslag immers geheel of gedeeltelijk op basis van schatting vaststellen en de heffingsplichtige kan vervolgens bij het betwisten van die schatting onvoldoende of geen tegenbewijs leveren.

Zesde lid

Hier is aangegeven welke elementen de bedoelde beschikking in ieder geval dient te bevatten.

Zevende lid

Wanneer het gaat om meer dan één beschikking betreffende hetzelfde bedrijf of bedrijfsonderdeel, dan mag de heffingsambtenaar die in één geschrift combineren.

Achtste lid

De heffingsambtenaar kan de beschikkingen ambtshalve wijzigen of intrekken, bij veranderingen of te verwachten veranderingen in de hoeveelheid van de afgevoerde, respectievelijk af te voeren stoffen.

Artikel 10 Beperkte meting, bemonstering en analyse

In veel gevallen kan worden volstaan met een lagere frequentie dan ieder etmaal meten, bemonsteren en analyseren, zonder al te veel afbreuk te doen aan de nauwkeurigheid van het eindresultaat. Het spreekt voor zich dat een lagere frequentie zich vertaalt in lagere kosten voor de heffingsplichtige. De heffingsplichtige die aannemelijk weet te maken dat met een lagere frequentie kan worden volstaan, kan daar door middel van een aanvraag bij de heffingsambtenaar toestemming voor vragen. Ook op deze aanvraag wordt beslist bij voor bezwaar vatbare beschikking, waartegen de volledige fiscale rechtsgang open staat. Hierbij geldt eveneens dat de voorschriften moeten worden nageleefd indien de heffingsplichtige zich niet kan verenigen met de beschikking en zolang deze nog niet onherroepelijk vaststaat. In zijn beschikking geeft hij in ieder geval voorschriften met betrekking tot de in de onderdelen a t/m d genoemde onderwerpen. In dit kader zijn tevens van belang de model–meetbeschikking (brief van de Unie van Waterschappen aan de leden–waterschappen van 28 oktober 1994, kenmerk 942196 AJBZ/EK, Belastingblad 1994, blz. 802) en de richtlijnen in het ‘Rapport bepaling meetfrequentie ter vaststelling van de vervuilingswaarde van afvalwater’ van de Commissie Integraal Waterbeheer van augustus 1998.

Artikel 11 Hoedanigheidscorrectie

Bij het bepalen van het chemisch zuurstofverbruik (CZV) kan in de uitkomst ook zuurstofverbruik tot uitdrukking komen van stoffen die in het natuurlijk milieu niet of nagenoeg niet afbreekbaar zijn. Op grond van jurisprudentie komt “nagenoeg niet” overeen met een percentage van niet meer dan 10%. Wanneer het gevonden zuurstofverbruik van dergelijke stoffen het totale chemisch zuurstofverbruik in belangrijke mate beïnvloedt, dan wordt de gevonden CZV gecorrigeerd. In de jurisprudentie staat “in belangrijke mate” voor ten minste 25%. De correctie die dan plaatsvindt, wordt veelal als T-correctie geduid.

Artikel 11 voorziet erin dat de voorschriften die het hoogheemraadschap betreffende de T–correctie stelt, kenbaar zijn voor de heffingsplichtigen (zie ook Bijlage I, onderdeel C en de door het college van dijkgraaf & hoogheemraden vastgestelde beleidsregels).

Daarnaast is in het artikel bepaald dat de heffingsplichtige voor toepassing van de T–correctie een aanvraag moet indienen. De heffingsambtenaar beslist hierop in een voor bezwaar vatbare beschikking. Dit opent voor de heffingsplichtige in voorkomende gevallen de volledige fiscale rechtsgang. Hiermee is deze procedure uit het oogpunt van de rechtsbescherming van de heffingsplichtige met voldoende waarborgen omkleed.

Tevens is voorgeschreven welke elementen de bedoelde beschikking dient te bevatten.

Artikel 12 Tabel afvalwatercoëfficiënten

Meting, bemonstering en analyse van afvalwater kan onder voorwaarden achterwege blijven. Bij zogenoemde 'tabelbedrijven' wordt het aantal vervuilingseenheden van het zuurstofverbruik berekend met behulp van de tabel afvalwatercoëfficiënten. Deze tabel is opgenomen in Bijlage II en kent vijftien klassen met elk een afvalwatercoëfficiënt.

Deze bepaling is destijds met de Wet verontreiniging oppervlaktewateren (oud) ingevoerd. In de Memorie van Toelichting bij de totstandkoming is, voor zover hier van belang, het volgende opgemerkt (Kamerstukken II 1998/1999, 26 367, nr. 3, p. 9 en 10):

"De vijftien afvalwatercoëfficiënten zijn berekend vanuit de coëfficiënt die behoort bij klasse 8, dit is de coëfficiënt die het huishoudelijk en daarmee vergelijkbaar afvalwater representeert.

(…)

De afvalwatercoëfficiënten welke behoren bij de hoogste, onderscheidenlijk de laagste klasse van de Tabel Afvalwatercoëfficiënten komen overeen met het meest, respectievelijk het minst geconcentreerde afvalwater dat uit de praktijk bekend is.

(…)

Er kan ook op basis van het voorgestelde artikel 22, eerste lid (thans 122k, eerste lid Waterschapswet), een afvalwatercoëfficiënt per onderdeel van een bedrijfsruimte worden gehanteerd. Er dient dan wel sprake te zijn van voldoende gescheiden afvalwaterstromen. De in het voorgestelde artikel (…) genoemde eisen voor het mogen toepassen van de tabel afvalwatercoëfficiënten, worden dan per onderdeel van een bedrijfsruimte getoetst. Het is zelfs mogelijk dat innen één bedrijfsruime de vervuilingswaarde, bij voldoende gescheiden afvalwaterstromen, deels door middel van meting, bemonstering en analyse en deels aan de hand van de tabel afvalwatercoëfficiënten wordt vastgesteld (HR 21 november 1990, BNB 1991/120)"

Eerste lid

Toepassing van de tabel is toegestaan indien:

  • 1.

    de heffingsplichtige aannemelijk maakt dat toepassing van de tabel niet leidt tot een aantal vervuilingseenheden van meer dan 1.000 en

  • 2.

    er een relatie bestaat tussen de hoeveelheid ingenomen water en de vervuilingswaarde van de afgevoerde stoffen.

Tweede lid

De vervuilingswaarde van de over het heffingsjaar door het bedrijf of het bedrijfsonderdeel afgevoerde stoffen kan met behulp van de tabel worden berekend door het aantal kubieke meters in het heffingsjaar ingenomen water te vermenigvuldigen met de bij de klasse behorende afvalwatercoëfficiënt.

Derde lid

Vaak is de werkelijk in het heffingsjaar ingenomen hoeveelheid water niet direct vast te stellen, omdat de verbruiksperiode waarover het drinkwaterbedrijf afrekent, niet gelijk is aan het kalenderjaar. Ook kan er sprake zijn van een andere tariefstructuur dan gemeten waterverbruik. In dergelijke gevallen worden de beschikbare gegevens op een andere wijze gebruikt om de hoogte van de heffing te bepalen. De wijze waarop dit gebeurt, dient het hoogheemraadschap consequent toe te passen.

Vierde lid

De indeling in een klasse is afhankelijk van de aard van het bedrijf of het bedrijfsonderdeel. Daarbij wordt uitgegaan van de tabel in artikel 2 van het Besluit vervuilingswaarde ingenomen water 2009 (Besluit van 12 december 2008, Stb. 2008/609).

Uit onderzoek op initiatief van zowel de heffingsplichtige als de heffingsambtenaar kan blijken dat het bedrijf of het bedrijfsonderdeel in een andere klasse moet worden ingedeeld. De voorwaarden daarvoor staan in artikel 4 van het Besluit vervuilingswaarde ingenomen water 2009. In afwijking van deze voorwaarden kan – naast de binnen het heffingsjaar verrichte onderzoeken – ook een onderzoek dat buiten het heffingsjaar verricht is representatief zijn voor de vervuilingswaarde die het afvalwater had in de overeenkomstige periode in het heffingsjaar (Hoge Raad 12 september 2014, ECLI:NL:HR:2014:2658, BNB 2014/228).

Vijfde lid

De tabel kan ook worden toegepast bij vervuilingswaarden van meer dan 1.000 vervuilingseenheden. Voorwaarde is dan wel dat dit niet leidt tot een vervuilingswaarde die lager is dan de vervuilingswaarde die wordt bepaald op basis van meting, bemonstering en analyse.

Artikel 13 Vervuilingswaarde van tuinbouwkassen

Op basis van artikel 13 worden tuinbouwkassen waarbinnen onder een permanente opstand van glas of kunststof het telen van gewassen plaatsvindt in de heffing betrokken op basis van een forfait van drie vervuilingseenheden per hectare permanente opstand. Uit onderzoek naar een afvalwatercoëfficiënt voor glastuinbouwbedrijven is gebleken dat de vervuilingswaarde van tuinbouwkassen geen relatie heeft met de hoeveelheid ingenomen water. Bepaling van de vervuilingswaarde op basis van meting, bemonstering en analyse bleek gezien de relatief hoge perceptiekosten evenmin een reële mogelijkheid. In verband daarmee is voor tuinbouwkassen thans een heffingsmaatstaf op basis van oppervlakte in de wet opgenomen (artikel 122i, tweede lid, Waterschapswet).

Indien de vervuilingswaarde als berekend op grond van artikel 13 minder dan vijf vervuilingseenheden bedraagt, is de forfaitregeling voor kleine bedrijfsruimten van artikel 17 van toepassing.

Artikel 14 Franchise

Artikel 14 bepaalt dat bij de berekening van de vervuilingswaarde ten aanzien van de niet–zuurstofbindende stoffen een heffingsvrije grens (aftrek) in acht wordt genomen. De hoogte van deze aftrek is bepaald op de gemiddelde vervuilingswaarde van huishoudelijk afvalwater met betrekking tot genoemde stoffen. De achterliggende gedachte bij de aftrek is dat woonruimten uitsluitend worden aangeslagen voor het afvoeren van zuurstofbindende stoffen en niet voor het afvoeren van andere stoffen. Uit onderzoek blijkt echter dat ook in huishoudelijk afvalwater een, zij het zeer geringe, hoeveelheid van die andere stoffen zit. Deze blijven bij woonruimten echter onbelast. Om te voorkomen dat een ongelijkheid ontstaat, is in artikel 14 een aftrek opgenomen gelijk aan de gemiddelde vervuilingswaarde van huishoudelijk afvalwater met betrekking tot genoemde stoffen.

Artikel 15 Drempel en meetverplichting

Artikel 15 heeft als doel duidelijk te maken welke bedrijven onderzoek dienen te verrichten naar de samenstelling van het afvoeren van niet–zuurstofbindende stoffen (= andere stoffen). In de artikelen 9 en 10 staat dat de vervuilingswaarde wordt vastgesteld door middel van (al dan niet dagelijkse) meting, bemonstering en analyse. Dit voorschrift geldt zowel voor de zuurstofbindende stoffen als voor de andere stoffen.

Volgens artikel 15 kunnen meting, bemonstering en analyse ten aanzien van de andere stoffen in beginsel achterwege blijven bij bedrijfsruimten waarvoor de vervuilingswaarde met betrekking tot de zuurstofbindende stoffen minder dan 1.000 vervuilingseenheden bedraagt. Indien de heffingsambtenaar echter aannemelijk maakt dat de vervuilingswaarde van de andere stoffen hoger is dan de heffingsvrije grens als bedoeld in artikel 14, dienen meting, bemonstering en analyse plaats te vinden. Dit is geregeld in het eerste lid van artikel 15.

Voor bedrijfsruimten waarvoor de vervuilingswaarde met betrekking tot de zuurstofbindende stoffen meer dan 1.000 vervuilingseenheden bedraagt, geldt het omgekeerde. Ten aanzien van de andere stoffen dient in dat geval meting, bemonstering en analyse plaats te vinden, tenzij het bedrijf aannemelijk maakt dat de vervuilingswaarde van die stoffen lager is dan de heffingsvrije grens als bedoeld in artikel 14. Dit is geregeld in het tweede lid van artikel 15.

Ter verduidelijking van de artikelen 14 en 15 volgt hierna een voorbeeld.

Stel een bedrijf heeft een vervuilingswaarde aan zuurstofbindende stoffen van 900 vervuilingseenheden.

Ingevolge artikel 15 wordt het aantal vervuilingseenheden van de overige stoffen in dit geval (minder dan 1.000 vervuilingseenheden) in beginsel op nihil gesteld en behoeft het bedrijf voor die overige stoffen dus niet te bemeten en te bemonsteren. Het hoogheemraadschap heeft echter aannemelijk gemaakt dat het bedrijf een hoeveelheid lood afvoert dat groter is dan de in artikel 14 bedoelde aftrek. Die aftrek bedraagt in dit geval 900 x 0,0162 = 14,58 vervuilingseenheden. Het bedrijf zal dus moeten gaan meten en bemonsteren voor de overige stoffen (niet alleen lood maar in beginsel ook de andere stoffen van dezelfde gewichtsgroep). Stel dat daaruit blijkt dat een hoeveelheid van 25 kilogram lood wordt afgevoerd met een vervuilingswaarde van 25 vervuilingseenheden. Daarop moet als gevolg van artikel 14 de aftrek (14,58) in mindering worden gebracht. De totale vervuilingswaarde is dus 900 + (25 – 14,58) = 910,42 vervuilingseenheden.

In geval naast de aangegeven hoeveelheid lood ook nog vier kilogram zink (vier vervuilingseenheden)

en 300 gram arseen (drie vervuilingseenheden) wordt afgevoerd, geldt het volgende. In dat geval geldt een aftrek van 14,58 voor de stoffen lood en zink samen (per groep) en een aftrek van 2,43 voor arseen (900 x 0,0027). De totale vervuilingswaarde is dus 900 + (29 – 14,58) + (3 – 2,43) = 914,99 vervuilingseenheden.

Artikel 16 Totale vervuilingswaarde van een bedrijfsruimte

Dit artikel voorziet in de totalisering van het bij de artikelen 9 t/m 15 berekende aantal vervuilingseenheden aan zuurstofbindende stoffen voor een bedrijfsruimte. Een dergelijke totalisering is onder meer van belang indien binnen één bedrijfsruimte:

  • voor de verschillende onderdelen van die bedrijfsruimte afzonderlijke meting, bemonstering en analyse plaatsvindt;

  • voor de verschillende onderdelen van die bedrijfsruimte afzonderlijke afvalwatercoëfficiënten van toepassing zijn;

  • voor een onderdeel van die bedrijfsruimte wordt gemeten, bemonsterd en geanalyseerd en voor een ander onderdeel van die bedrijfsruimte een afvalwatercoëfficiënt van toepassing is;

  • naast zuurstofbindende stoffen eveneens niet–zuurstofbindende stoffen worden afgevoerd die in de heffing worden betrokken (na aftrek van de heffingsvrije grens van niet–zuurstofbindende stoffen).

De vervuilingswaarde kan worden uitgedrukt in hele getallen of tot in decimalen nauwkeurig. Indien hiervoor verschillende uitkomsten moeten worden opgeteld, moet worden uitgegaan van niet afgeronde waarden. De uiteindelijke totale vervuilingswaarde kan niet worden afgerond volgens de gebruikelijke afrondingsregels. Er dient te worden “gekapt”. Zo wordt, afhankelijk van de keuze, 7,94 uiteindelijk 7,9 of 7 op het aanslagbiljet en 20,49 wordt 20,4 of 20.

Artikel 17 Vervuilingswaarde voor kleine bedrijfsruimten

Eerste lid

De regeling voor kleine bedrijfsruimten vindt haar basis in artikel 122i, eerste lid, van de Waterschapswet. Indien de heffingsplichtige aannemelijk maakt dat het aantal vervuilingseenheden minder dan vijf bedraagt, wordt de vervuilingswaarde op drie vervuilingseenheden gesteld en op één vervuilingseenheid indien die één of minder bedraagt.

Tweede lid

Hoewel de zuiveringsheffing een tijdvakbelasting is, wordt aan bedrijven met een vervuilingswaarde van minder dan vijf vervuilingseenheden in veel gevallen al aan het begin van het heffingsjaar een aanslag voor drie vervuilingseenheden opgelegd. Dit is mogelijk op grond van de bepaling in artikel 4, eerste lid. Na afloop van het heffingsjaar kan echter blijken dat de vervuilingswaarde één of minder dan één vervuilingseenheid bedraagt.

Daarom moet de verordening ook voorzien in een deugdelijke regeling voor ontheffing of vermindering. Indien de heffingsplichtige aannemelijk maakt dat het aantal vervuilingseenheden één of minder bedraagt, wordt op aanvraag van de heffingsplichtige de vervuilingswaarde op 1 vervuilingseenheid gesteld. Het betreft hier een aanvraag in de zin van artikel 132, eerste lid, van de Waterschapswet. Deze moet worden ingediend binnen zes weken nadat de omstandigheid zich heeft voorgedaan. De vermindering kan door de heffingsambtenaar ook ambtshalve worden verleend.

Artikel 18 Vervuilingswaarde van woonruimten

Eerste lid

In navolging van artikel 122h, eerste lid, Waterschapswet wordt de vervuilingswaarde voor een woonruimte vastgesteld op drie vervuilingseenheden, met dien verstande dat die wanneer de woonruimte door één persoon wordt gebruikt één vervuilingseenheid bedraagt. Gebruik van de woonruimte kan ook plaatsvinden zonder dat dat bewoning inhoudt. Bovendien is niet vereist dat de betrokkene de (woon)ruimte ook daadwerkelijk gebruikt, de feitelijke beschikkingsmacht over de (woon)ruimte is afdoende. De opvatting dat het lage forfaitaire tarief van één vervuilingseenheid slechts van toepassing is in het geval van bewoning van een woonruimte door één persoon, is derhalve onjuist (Hoge Raad 16 mei 2008, ECLI:NL:HR:2008:BB8342, BNB 2008/208.

Tweede lid

Een uitzondering op deze hoofdregel geldt voor woonruimten die voor recreatiedoeleinden zijn bestemd en zich bevinden op een voor verblijfsrecreatie bestemd terrein dat als zodanig wordt geëxploiteerd. Samen met de andere voorzieningen op het terrein worden zij als één bedrijfsruimte aangemerkt. De exploitant van het terrein is dan de heffingsplichtige.

De gedachte achter deze uitzonderingsbepaling is dat het doelmatiger is om de exploitant van het terrein als heffingsplichtige te beschouwen. In plaats van het opleggen van een groot aantal aanslagen en de daarbij behorende perceptiekosten kan worden volstaan met het opleggen van een enkele aanslag aan de exploitant van het recreatieterrein. Daarnaast worden recreatiewoningen meestal niet gedurende het gehele jaar gebruikt. Een aanslag op basis van de hoeveelheid ingenomen water voor het gehele park benadert daarom beter de werkelijke vervuilingswaarde van het afvalwater dan individuele aanslagen per recreatiewoning. De betreffende eigenaren betalen doorgaans een periodiek bedrag aan de beheerder / eigenaar van het terrein zodat deze de heffing kan verrekenen.

Wie eigenaar is van de recreatiewoningen is voor de toepassing van deze uitzondering niet van belang, zie Hof Den Bosch 29 juni 2018, ECLI:NL:GHSHE:2018:2787:

"Noch de tekst van artikel 16, lid 2 van de Verordening, noch de overige bepalingen van de Verordening of de bepalingen van de Waterschapswet maakt onderscheid tussen op een recreatieterrein gelegen woonruimten die in eigendom zijn van particulieren en woonruimten die in eigendom zijn bij de eigenaar van het recreatieterrein. Van belang is slechts of de woonruimten zich bevinden op een voor verblijfsrecreatie bestemd terrein dat als zodanig wordt geëxploiteerd. Deze uitleg volgt niet alleen de tekst van artikel 16, lid 2, van de Verordening, maar stemt ook overeen met de bedoeling van de wetgever, zoals die is af te leiden uit de parlementaire geschiedenis van de totstandkoming van artikel 18, lid 3, van de Wet verontreiniging oppervlaktewateren, de voorloper van het huidige artikel 122h, lid 5, van de Waterschapswet (Kamerstukken II 1987/88, 20435, 3, p. 4-5 en Kamerstukken II 1987/88, 20435, 7, p. 7-8). Daaruit volgt dat voor de toepassing van de in artikel 18, lid 3 neergelegde regeling (nu artikel 122h, lid 5, van de Waterschapswet) de eigendomssituatie op het recreatieterrein niet relevant is. Gelet op het voorgaande kunnen woningen in particuliere eigendom in overeenstemming met het bepaalde in de Verordening in de heffing worden betrokken."

Met 'bestemd' wordt niet uitsluitend bedoeld de bestemming volgens het bestemmingsplan.

Ook de feitelijke situatie is bepalend. De woonruimten die, blijkens inschrijving van de gebruiker(s) in de basisregistratie personen van de gemeente al dan niet permanent worden bewoond, kunnen bijvoorbeeld niet worden aangemerkt als voor recreatiedoeleinden bestemde woonruimten. De heffing wordt in dergelijke gevallen opgelegd aan de gebruiker van de woonruimte zelf op basis van het woonruimteforfait.

Derde lid

Na aanvang van de heffingsplicht kan het aantal bewoners verminderen tot één. Dit heeft gevolgen voor de vervuilingswaarde. Het is, analoog aan artikel 4, derde lid, de keuze van het waterschap hoe dit naar tijdsevenredigheid in de aanslag tot uitdrukking komt.

Vierde lid

Omdat de aanslag voor een woonruimte meestal al aan het begin van het heffingsjaar wordt opgelegd, moet de verordening voorzien in een regeling waardoor aanspraak op vermindering kan worden gemaakt. Dit gebeurt door middel van een aanvraag in de zin van artikel 132, eerste lid, Waterschapswet. Deze moet worden ingediend binnen zes weken nadat de omstandigheid zich heeft voorgedaan. De vermindering kan door de heffingsambtenaar ook ambtshalve worden verleend.

Artikel 19 Schatting

In artikel 122j van de Waterschapswet is geregeld dat onder bepaalde, in de onderdelen a tot en met c nader omschreven, omstandigheden de vervuilingswaarde kan worden vastgesteld door middel van schatting. Bijvoorbeeld indien een bedrijf niet voldoet aan zijn verplichting tot meting, bemonstering en analyse of indien het bedrijf dat doet op een wijze die niet in overstemming is met de in de verordening of meetbeschikking opgenomen voorschriften.

In artikel 122j, van de Waterschapswet ontbreekt een bepaling ten aanzien van de omstandigheid dat de heffingsplichtige de afgegeven meetbeschikking niet heeft nageleefd. Aangezien ook in dit geval de aanslag op basis van schatting zal moeten worden bepaald, is dit aanvullend in onderdeel d van artikel 19 geregeld.

De bepaling is tevens een vangnetbepaling voor het afvoeren ter zake van stoffen vanuit objecten waarvoor in de verordening geen bijzondere regelingen zijn opgenomen en waarvoor de hoofdregel van artikel 9 (meting, bemonstering en analyse) niet kan worden toegepast.

Overigens sluit dit artikel niet uit dat er ook andere omstandigheden kunnen zijn op grond waarvan schatting kan plaatsvinden.

Artikel 20 Tarief

Dit artikel regelt het tarief per vervuilingseenheid.

Artikel 21 Wijze van heffen en termijnen van betaling

Eerste lid

Ingevolge artikel 125 van de Waterschapswet kunnen waterschapsbelastingen worden geheven bij wege van aanslag, bij wege van voldoening op aangifte of op andere wijze. Het gaat hier om drie verschillende heffingstechnieken. Het hangt van de aard en de ingewikkeldheid van de desbetreffende belasting af, welke van deze drie heffingstechnieken het meest doelmatig is. Voorts kunnen overwegingen uit een oogpunt van perceptiekosten of op grond van het beginsel dat de heffing voor de heffingsplichtige met de minste pijn moet plaatsvinden, bepalend zijn voor de keuze van de te hanteren heffingstechniek. Gekozen is voor de heffing bij wege van aanslag.

Tweede lid

Artikel 9 van de Invorderingswet kent een regeling op het gebied van betaaltermijnen, waarvan ingevolge artikel 139 van de Waterschapswet kan worden afgeweken. De betaaltermijn van artikel 9, eerste lid, Invorderingswet is zes weken.

Op grond van artikel 139 van de Waterschapswet zijn waterschappen bevoegd in hun belastingverordening andere betalingstermijnen dan de hiervoor genoemde op te nemen. Er kan zowel voor kortere als voor langere betalingstermijnen worden gekozen. Bij het hoogheemraadschap wordt een betaaltermijn gehanteerd van twee maanden na dagtekening van het aanslagbiljet. Omdat deze termijn afwijkt van de wettelijke regeling dient zij uitdrukkelijk in de verordening te worden vermeld.

Derde lid

Voor bestuurlijke boetes gelden dezelfde termijnen als voor de aanslag. Het ligt voor de hand de betalingstermijnen voor de aanslag en de bestuurlijke boete aan elkaar gelijk te laten zijn, aangezien die in hetzelfde geschrift zijn verenigd.

Vierde, vijfde en zesde lid

Het vierde lid van artikel 21 bevat een aparte regeling voor gevallen waarin de belastingschuldige een machtiging tot automatische incasso aan het hoogheemraadschap heeft afgegeven. Is hiervan sprake, dan kan de aanslag in tien termijnen worden betaald.

Het vijfde lid bevat een begrenzing aan het minimumbedrag dat bij automatische incasso per termijn wordt geïncasseerd. Hiermee wordt voorkomen dat zeer lage bedragen worden geïncasseerd en de incassokosten niet meer in verhouding staan tot de termijnbetaling.

Op grond van het zesde lid van artikel 21 dient een verzoek hiertoe binnen drie weken na dagtekening van het aanslagbiljet te worden gedaan.

Het zevende en achtste lid

Het zevende en achtste lid geven de mogelijkheid om voor geringe bedragen geen aanslag op te leggen.

Artikel 22 Nadere regels

In verband met de inwerkingtreding van de derde tranche van de Algemene wet bestuursrecht (Stb. 1996, 333) en de daarop gebaseerde aanpassingswetgeving (Stb. 1997, 510 en 580) komen de bevoegdheden die in de Algemene wet inzake rijksbelastingen en de Invorderingswet zijn toebedeeld aan de Minister van Financiën vanaf 1 januari 1998 toe aan het dagelijks bestuur van het hoogheemraadschap (zie artikel 123, derde lid, onderdeel a, van de Waterschapswet). Voor die datum kwamen deze formele belastingbevoegdheden toe aan het algemeen bestuur van het hoogheemraadschap. Het betreft het stellen van nadere regels ten aanzien van de volgende bevoegdheden:

  • de verplichting te verzoeken om uitreiking van een aangiftebiljet;

  • de mogelijkheid een voorlopige aanslag op te leggen;

  • het berekenen van invorderingsrente.

De bovenstaande bevoegdheden waren voor 1 januari 1998 expliciet in de belastingverordening geregeld. Artikel 22 is thans in de verordening opgenomen om expliciet aan de heffingsplichtige kenbaar te maken dat ook het dagelijks bestuur regels kan stellen met betrekking tot de heffing en de invordering van de zuiveringsheffing.

Artikel 23 Intrekking, inwerkingtreding, tijdstip van ingang van de heffing en citeertitel

Eerste lid

Het eerste lid regelt dat de oude verordening wordt ingetrokken met ingang van de datum van ingang van de heffing. De oude verordening blijft echter gelden voor de belastbare feiten die zich voor die datum hebben voorgedaan. Voor die feiten kunnen dus nog aanslagen worden opgelegd op basis van de oude verordening.

Tweede lid

Artikel 8 Bekendmakingswet schrijft voor dat besluiten van het waterschapsbestuur die algemeen verbindende regels inhouden, niet verbinden dan wanneer zij zijn bekendgemaakt. Dit geldt derhalve ook voor belastingverordeningen. De bekendmaking vindt in het Waterschapsblad plaats. In afwijking hiervan kan een bij het besluit behorende bijlage bekend worden gemaakt door terinzagelegging (zie artikel 14a Bekendmakingswet). Het Waterschapsblad wordt elektronisch op een algemeen toegankelijke wijze uitgegeven en blijft ook na de uitgifte op een algemeen toegankelijke wijze beschikbaar (zie artikel 2, lid 8 jo. artikel 3, lid 1, van de Bekendmakingswet). De bekendgemaakte besluiten treden conform artikel 10, lid 2, van de Bekendmakingswet in werking met ingang van de achtste dag na die van de bekendmaking, tenzij in deze besluiten daarvoor een ander tijdstip is aangewezen.

Voor een goed begrip van een en ander wordt erop gewezen dat regeling van het tijdstip van inwerkingtreding nog niet inhoudt dat op dat tijdstip met de heffing op de voet van de nieuwe verordening kan worden begonnen. Dat is slechts mogelijk wanneer in de verordening het tijdstip van ingang van de heffing wordt genoemd. Zie voor laatstgenoemd tijdstip de toelichting op het derde lid van artikel 23.

Derde lid

Als gevolg van artikel 111 van de Waterschapswet is één van de onderwerpen die in de belastingverordening moet worden geregeld het tijdstip van ingang van de heffing. Dit tijdstip kan samenvallen met het tijdstip van inwerkingtreding, maar dit is niet beslist noodzakelijk. In de toelichting op het tweede lid is uiteengezet dat het niet nodig is dat het tijdstip van inwerkingtreding in de verordening wordt vermeld, omdat bij gebreke daarvan die verordening automatisch in werking treedt acht dagen na haar bekendmaking.

Het tijdstip van ingang van de heffing is wel essentieel, omdat daarmee duidelijk wordt op welk moment de nieuwe financiële verplichtingen die aan de burgers worden opgelegd, een aanvang nemen.

Vierde lid

Gelet op de bekendmakingsvoorschriften van artikel 14a Bekendmakingswet en de uitspraak van de Hoge Raad van 7 juni 2019 (ECLI:NL:HR:2019:868) maakt het waterschap in het vierde lid bekend waar de normbladen zoals genoemd in bijlage I kunnen worden ingezien.

Vijfde lid

Als gevolg van het vijfde lid van het onderhavige artikel 23 wordt de verordening voorzien van een citeertitel.