Regeling vervallen per 12-12-2025

Beleidslijn toepassing Wet bevordering integriteitbeoordelingen door het openbaar bestuur (Wet BIBOB)

Geldend van 16-08-2023 t/m 11-12-2025

Intitulé

Beleidslijn toepassing Wet bevordering integriteitbeoordelingen door het openbaar bestuur (Wet BIBOB)

1. Inleiding

1.1 Algemeen

Op 1 juli 2003 is de Wet bevordering integriteitsbeoordelingen door het openbaar bestuur (Wet BIBOB) en het daarbij behorende Besluit BIBOB in werking getreden. Deze wet stelt bestuursorganen in staat ongewilde facilitering door de overheid van criminele activiteiten tegen te gaan. De wet maakt het hierbij mogelijk bepaalde vergunningen (o.a. drank- en horeca, coffeeshops, bouw- en milieuvergunning) en subsidies te weigeren of in te trekken als er sprake is van een ernstig gevaar dat de vergunning of de subsidie wordt gebruikt voor het plegen van strafbare feiten of het ‘witwassen’ van geld. In de wet is tevens een mogelijkheid opgenomen voor aanbestedende diensten om opdrachten niet te gunnen, indien hier eveneens sprake is van een ernstig gevaar.

Hiermee geeft de Wet BIBOB het bevoegd orgaan een instrument in handen om zich tegen dergelijke ongewenste facilitering te beschermen.

In 2007 hebben de gemeenten in de regio IJsselland1 de intentie uitgesproken om waar mogelijk een gezamenlijke aanpak te realiseren voor het toepassen van de Wet BIBOB en hiertoe een regionaal beleidskader vast te stellen en aan te sluiten bij het Steunpunt BIBOB Oost Nederland2. Het Steunpunt BIBOB faciliteert gemeenten bij de uitvoering van de Wet BIBOB

1.2 Wet BIBOB

De Wet BIBOB geeft het bestuursorgaan een instrument in handen om zich te beschermen tegen het risico dat zij ongewild criminele activiteiten faciliteren. Kernartikel van de Wet BIBOB is artikel 3. Dit artikel geeft het bestuursorgaan de mogelijkheid een beschikking (vergunning of subsidie) te weigeren of in te trekken. Er dient dan wel sprake te zijn van een ernstig gevaar dat de gevraagde beschikking mede zal worden gebruikt voor:

  • het benutten van voordelen uit strafbare feiten (bv. het witwassen van zwart geld);

  • het plegen van strafbare feiten (bv. als dekmantel, drugshandel).

Daarnaast kan de beschikking geweigerd of ingetrokken worden indien er een redelijk vermoeden bestaat dat er een strafbaar feit is gepleegd teneinde de beschikking te verkrijgen (bv. valsheid in geschrifte of omkoping).

Om te beoordelen of er sprake is van een ernstig gevaar biedt de wet de mogelijkheid een advies aan te vragen bij het Landelijk Bureau BIBOB. Dit Landelijk Bureau BIBOB, dat door het Ministerie van Justitie is ingesteld, beoordeelt de aangevraagde beschikking en geeft een advies aan het betreffende bestuursorgaan over de mate van gevaar. Het is uiteindelijk aan het bestuursorgaan om te beslissen of de mate van gevaar ernstig genoeg is en grond geeft om de (gevraagde) beschikking te weigeren of in te trekken. Overigens kan een bestuursorgaan ook zonder een advies van het Landelijk Bureau BIBOB gebruik maken van haar bevoegdheden om een beschikking te weigeren of in te trekken. Een advies van het landelijk bureau draagt echter wel bij aan een deugdelijke motivatie van het weigerings- of intrekkingsbesluit, omdat het landelijk bureau de bevoegdheid heeft mee gekregen ook gesloten bronnen (bv. politie, justitie, belastingdienst) te raadplegen die voor het bestuursorgaan niet toegankelijk zijn.

1.3 Reikwijdte Wet BIBOB

Bij de totstandkoming van de Wet BIBOB is aansluiting gezocht bij het onderzoek naar de dreiging van de georganiseerde misdaad in bepaalde economische sectoren, dat op verzoek van de Parlementaire Enquete Commissie Van Traa door onderzoeksgroep Fijnaut is uitgevoerd. Onder het bereik van de wet vallen:

Vergunningen:

Waar het gaat om uitvoering van rijksregelgeving vallen vergunningen in het kader van de milieuwetgeving, de Drank- en Horecawet, de Wet op de kansspelen en de Woningwet (bouwvergunning) onder de wet. In het Besluit BIBOB (artikel 4) worden lokale vergunningen zoals de (exploitatie)vergunningen voor horecabedrijven en coffeeshops, de vergunning voor de exploitatie van een seksinrichting en/of escortbedrijf, of een speelautomatenhal onder de werking van de Wet BIBOB gebracht.

Subsidies:

Ook voor subsidies is de Wet BIBOB van toepassing. Anders dan bij vergunningen biedt de wetgever geen limitatieve lijst van soorten subsidieregelingen die onder de werking van de Wet BIBOB vallen. Subsidieverstrekkers die gebruik willen maken van de extra weigering- (en intrekkings-)gronden, kunnen zelf de desbetreffende subsidieregelingen aanpassen. Daarbij bestaat een onderscheid tussen: Subsidieregelingen die bij of krachtens de wet geregeld zijn en individuele subsidieregelingen die niet bij of krachtens de wet geregeld zijn.

Voor toepassing van de Wet BIBOB is toestemming van de ministers van Binnenlandse zaken en Justitie vereist. De toestemming wordt alleen geweigerd indien de toepassing van het BIBOB-instrument een onevenredig zwaar middel zou zijn ten opzichte van het belang dat moet worden gehecht aan de desbetreffende subsidie(s).

Aan te besteden overheidsopdrachten:

Als aanbestedende diensten worden aangemerkt: de staat, provincies, gemeenten, waterschappen en politieregio's; diverse openbare lichamen voor beroep en bedrijf en een aantal Zelfstandige bestuursorganen (ZBO's) aangewezen in het Besluit BIBOB.

Ingevolge het Besluit BIBOB (artikel 3) zijn enkele sectoren aangewezen waarop de Wet BIBOB met betrekking tot aanbestedingen kan worden toegepast. Het betreft overheidsopdrachten binnen de sectoren milieu, informatiecommunicatie technologie (ICT) of bouw.

1.4 Uitgangspunten van de wet

De beslissing om een BIBOB-advies aan te vragen ligt bij het bestuursorgaan. Vanwege deze keuzevrijheid verdient het de voorkeur dat dit gebeurt op basis van beleid, waarin in algemene termen wordt aangegeven in welke gevallen advies wordt gevraagd aan het Landelijk Bureau BIBOB en hoe wordt omgegaan met overheidsopdrachten en aanvragen om vergunningen of subsidies. In eerste instantie schept dit duidelijkheid naar burgers en ondernemingen die mogelijk aan een BIBOB-onderzoek kunnen worden onderworpen. Ten tweede stimuleert een beleidslijn de eenduidige beoordeling van het soort feiten en omstandigheden dat tot de aanvraag van een BIBOB-advies moet leiden.

Zoals eerder is aangegeven, is er een Landelijk Bureau BIBOB ingesteld. Dit bureau stelt in opdracht van het verzoekende bestuursorgaan een onderzoek in naar de aanvrager van een vergunning of subsidie, dan wel naar de gegadigde voor een overheidsopdracht. Met de resultaten van dit onderzoek zal het bureau een advies formuleren over het gevaar dat met de afgifte van de gevraagde beschikking of het toekennen van een bepaalde opdracht, criminele activiteiten worden gefaciliteerd. Bestuursorganen kunnen dit advies gebruiken als motivering van hun besluit.

Een dergelijk onderzoek kan diep ingrijpen in de persoonlijke levenssfeer van betrokkenen. Daarom moet de afweging om over te gaan tot een BIBOB-onderzoek weloverwogen en met in achtneming van de beginselen van behoorlijk bestuur te worden genomen.

Ook moet hierover worden opgemerkt dat het BIBOB instrumentarium een ultimum remedium is. Eerst moeten (alle) andere (juridische) mogelijkheden worden nagegaan om een beschikking te kunnen weigeren of in te trekken voordat BIBOB ter hand wordt genomen (bv. weigeringsgronden op basis van artikel 8.2 (slecht levensgedrag) van de Drank- en horecawet).

1.5 Uitgangspunten regionaal BIBOB-beleid

De deelnemende gemeenten in de regio IJsselland hebben de intentie uitgesproken waar mogelijk te komen tot een gezamenlijk BIBOB-beleid. In dit beleid dienen de algemene uitgangspunten zoals hiervoor benoemd vastgelegd te worden in een beleidsregel. Deze beleidsregel dient ieder bestuursorgaan (het college van burgemeester en wethouders en de burgemeester) zelf te bekrachtigen. Naast de algemene beleidslijn kunnen gemeenten specifiek invulling geven aan het beleid vanwege lokale omstandigheden.

Om verschuiving van de problematiek te voorkomen is het van belang dat het beleid ook door alle deelnemende gemeenten wordt vastgesteld. Zo wordt voorkomen dat een burger of bedrijf uitwijkt naar omliggende gemeenten waar geen of een beperkter beleid gevoerd wordt. Het voorgestelde beleid sluit aan bij de regionale beleidslijn, zoals deze reeds door de regio Twente wordt toegepast. Ook sluit de beleidslijn aan bij het BIBOB-beleid dat enkele gemeenten binnen de regio IJsselland reeds hebben vastgesteld.

Het is van belang dat voordat toepassing gegeven wordt aan de Wet BIBOB, er een zorgvuldige afweging plaatsvindt. Het vast te stellen BIBOB-beleid geeft een kader waarbinnen deze afweging plaats kan vinden. Het blijft echter maatwerk en voor iedere situatie zal –al dan niet binnen die kaders- een afweging gemaakt moeten worden of het BIBOB-instrumentarium wordt ingezet.

Het toepassen van het BIBOB-instrumentarium zorgt voor een lastenverzwaring bij de aanvrager, deze zal immers meer gegevens bij de aanvraag om een beschikking moeten overleggen. Indien daadwerkelijk wordt overgegaan tot het aanvragen van een advies bij het Landelijk Bureau BIBOB zal tevens de termijn waarbinnen een beslissing op de aanvraag wordt genomen worden opgeschort (4 tot 8 weken). Dit staat haaks op het streven te komen tot een lastenverlichting voor burgers en bedrijven en een snellere doorlooptijd van het afhandelen van aanvragen.

Algemeen uitgangspunt van het op te stellen BIBOB-beleid zal dan ook zijn dat de aanvrager niet onnodig wordt belast met allerlei procedures en uitgebreide formulieren, indien dit niet noodzakelijk is. Dit betekent dat met het toepassen van het BIBOB-instrumentarium terughoudend zal worden omgegaan. Een effectieve toepassing van het BIBOB-instrumentarium is gediend met een selectieve inzet hiervan.

Overigens is het niet te voorkomen dat het toepassen van het BIBOB-instrumentarium leidt tot een lichte toename van administratieve lasten voor de burger en ondernemer. Om een juiste beoordeling plaats te laten vinden van de aanvrager, zullen er bij de aanvraag meer gegevens overlegd moeten gaan worden dan nu meestal het geval is. Het gaat hierbij met name om financiële gegevens. Aanvragers die hun huiswerk op orde hebben, zullen deze gegevens echter paraat hebben. In het beleid is gekozen voor een lichte toets (met behulp van een verkorte vragenformulier) voor de reguliere horeca-aanvragen en een uitgebreide toets (met een uitgebreide vragenformulier) voor de gevoelige branches (seks- en drugsgerelateerde inrichtingen) en voor twijfelachtige aanvragen.

De Wet BIBOB kan worden toegepast op activiteiten waarbij voor die activiteiten een vergunning noodzakelijk is. Het bestuursorgaan komt een bepaalde mate van vrijheid toe op welke wijze het lokale vergunningenregime wordt ingezet, door middel van gemeentelijke verordeningen. Het gaat hierbij met name om een exploitatievergunningplicht (voor de zgn. droge horeca, smartshops, e.d.). Dit beleid bepaalt niet welke vergunningenregime een gemeente dient te hanteren. Mocht er binnen een gemeente een vergunningplicht gelden, dan kan dit beleid hierop van toepassing wordt verklaard.

Overigens kan het vaststellen van BIBOB-beleid door de gemeenten wel aanleiding geven het vergunningenregime (of het opheffen hiervan) kritisch tegen het licht te houden.

Ditzelfde geldt voor subsidies. Ook hiervoor geldt dat gemeenten expliciet in hun subsidieverordening de Wet BIBOB van toepassing moeten verklaren.

Vanuit de VNG en het Landelijk Bureau BIBOB wordt aanbevolen om BIBOB gefaseerd te implementeren. Landelijk wordt aanbevolen om de wet in eerste instantie te implementeren voor de onderdelen horecavergunningen, de seksinrichtingen en escortbedrijven, de coffeeshops en de speelautomatenhallen. In een later stadium kunnen stappen worden ondernomen om de milieu- en bouwvergunningen, de subsidies en de overheidsopdrachten te implementeren.

Redenen om met voornoemde branches te beginnen zijn:

  • medewerkers die belast zijn met de uitvoering van het vergunningenbeleid in betreffende branches zijn al gewend kritisch te kijken naar de persoon van de aanvrager van de vergunning;

  • ook is men gewend om met politiegegevens om te gaan;

  • er kan op basis van de specifieke wetgeving al veel “eigen huiswerk” worden uitgevoerd, zoals het opvragen van justitiële documentatie;

  • vergunningen worden dikwijls gewijzigd en veelvuldig vinden in deze branches wisselingen (lees ook: transacties) plaats van ondernemers; De kans dat daarmee criminele activiteiten zijn gemoeid is daardoor groter;

  • landelijk is gebleken dat de horecagerelateerde branche veelvuldig wordt ingezet voor criminele activiteiten.

Het regionaal beleid zal een dergelijke gefaseerde implementatie van de Wet BIBOB voorstellen. Overigens betekent dit niet dat in specifieke situaties ook bouw- en milieuvergunningen, aanbestedingen of subsidies (indien dit in de subsidieverordening is vastgelegd) onderworpen kunnen worden aan een BIBOB-toets, indien er een duidelijk vermoeden is dat er sprake is van een ernstig gevaar.

Het regionaal beleid is afgestemd in het Vakberaad BIBOB regio IJsselland. In het Vakberaad is afgesproken te komen tot algemene uitgangspunten en een BIBOB-beleid op hoofdlijnen, waarbij gemeenten specifiek naar lokale behoeften het beleid kunnen concretiseren.

Het voorliggend BIBOB-beleid is een beleidsregel als bedoeld in de Algemene wet bestuursecht en zal door de afzonderlijke bestuursorganen van gemeenten moeten worden vastgesteld, gepubliceerd en ter inzage te worden gelegd.

Gezien de inhoud van de beleidsregel wordt een inspraakprocedure op basis van artikel 3.4 Algemene wet bestuursrecht als onnodig verzwarend ervaren en daarom wordt voorgesteld dit niet toe te passen3.

2. Beleidslijn gemeente Staphorst ten aanzien van de toepassing van de Wet BIBOB

2.1 Inleiding

Op 1 juli 2003 is de Wet bevordering integriteitsbeoordelingen door het openbaar bestuur (Wet BIBOB) en het daarbij behorende Besluit BIBOB in werking getreden. Deze wet maakt het mogelijk ongewilde facilitering door de overheid van criminele activiteiten tegen te gaan. De wet maakt het hierbij mogelijk bepaalde vergunningen (o.a. drank- en horeca, coffeeshops, bouw- en milieuvergunning) en subsidies te weigeren of in te trekken als er sprake is van een ernstig gevaar dat de vergunning of de subsidie wordt gebruikt voor het plegen van strafbare feiten of het ‘witwassen’ van geld. In de wet is tevens een mogelijkheid opgenomen voor aanbestedende diensten om opdrachten niet te gunnen, indien hier eveneens sprake is van een ernstig gevaar.

Het college van burgemeester en wethouders en de burgemeester hebben ten behoeve van een adequate toepassing van hun bevoegdheden die de Wet BIBOB hen geeft, beleid vastgesteld die een algemeen kader biedt waarbinnen aanvragen om vergunningen waarop deze beleidslijn van toepassing is en die vallen binnen de werking van de Wet BIBOB getoetst kunnen worden.

Bij het vaststellen van deze beleidslijn heeft de burgemeester en het college van burgemeester en wethouders de consequenties voor de aanvrager en overige betrokkene(n) bij toepassing van de Wet BIBOB ten aanzien van de privacy en het waar mogelijk beperken van de administratieve lasten in hun overwegingen betrokken.

2.2 Doel beleidslijn

Het doel dat het bevoegd gezag voor ogen staat bij het vaststellen van de beleidslijn is het tegengaan van de aantasting van de veiligheid en/of leefbaarheid van groepen bewoners, bepaalde wijken of gebieden. Daarbij gaat het zowel om het tegengaan van daadwerkelijke aantasting van de rechtsorde en de aantasting van de bestuurlijke slagkracht, als om het tegengaan van verloedering door de aanwezigheid van criminaliteit en van subjectieve gevoelens van (on)veiligheid.

De toepassing van de Wet BIBOB is slechts één van de middelen binnen de bestuurlijke aanpak van criminaliteit. De wetgever heeft bestuursorganen een instrument in handen gegeven, maar heeft daarbij tevens aangegeven, dat het instrument slechts mag worden ingezet als ultimum remedium. Het komt aan bod als andere instrumenten - zoals handhaving van bestaande regelgeving en bestaand beleid, benutten van alle beschikbare informatie, samenwerking met andere organisaties en andere activiteiten ter bewaking van de integriteit van het lokale bestuur en het gemeentelijke apparaat- onvoldoende resultaat leveren.

Overigens wordt benadrukt dat de beleidslijn een algemeen kader biedt. Vanwege de complexiteit van de wet en de diversiteit van aanvragen om vergunningen blijft maatwerk noodzakelijk en kan indien dit de toepassing en het doel van de Wet BIBOB ten goede komt worden afgeweken van het algemene kader.

2.3 Bevoegdheden

Ten aanzien van de genoemde vergunningen geldt dat het bevoegd gezag in deze zowel het college van burgemeester en wethouders als de burgemeester kan zijn. De burgemeester heeft besloten dit beleid tevens van toepassing te verklaren ten aanzien van de vergunningen, die onder zijn gezag vallen. Ter voorkoming van misverstanden en omwille van de leesbaarheid wordt in vervolg gesproken over het “bevoegd gezag”, waarmee dus zowel het college als de burgemeester kan worden bedoeld.

2.4 Toepassingsbereik Beleidslijn BIBOB

In deze beleidslijn wordt aangegeven hoe het bevoegd gezag de Wet BIBOB zal toepassen en welke consequenties dit heeft voor de aanvragers en houders van een vergunning. Het gaat om de volgende vergunningen4.

  • 1.

    De vergunning op grond van artikel 3 van de Drank- en Horecawet voor het uitoefenen van het horecabedrijf, (evt …met uitzondering van instellingen als genoemd in artikel 4 van voornoemde wet (paracommerciële instellingen);

Toelichting

Het bevoegd gezag komt een grote mate van vrijheid toe of en op welke wijze het BIBOB-instrumentarium wordt ingezet (binnen de wettelijke kaders). Vanwege de complexiteit van de wet, specifieke kenmerken van de benoemde branches (veel contante geldstromen, wisselingen van ondernemers, de landelijke ervaringen dat de kans dat in deze branches criminele activiteiten plaatsvinden) en de mogelijkheid voor het bevoegd gezag in een voorstadium eigen onderzoek te verrichten (o.a. het opvragen van justitiële documentatie) is ervoor gekozen de Beleidslijn BIBOB vooralsnog van toepassing te verklaren op de voornoemde vergunningen.

Het bevoegd gezag kan –indien er sprake is van een vermoeden van een ernstig gevaar voor criminele activiteiten- in specifieke gevallen gebruik maken van haar bevoegdheden tot het toepassen van de Wet BIBOB op overige vergunningen, subsidies en aanbestedingen, zoals benoemd in de Wet BIBOB.

2.5 Inzet BIBOB-instrumentarium

Alvorens het bevoegd gezag overgaat tot het gebruik maken van haar bevoegdheden tot het inzetten van het BIBOB-instrumentarium, wordt eerst onderzocht of er andere weigeringsgronden zijn waarop een aanvraag om vergunning kan worden geweigerd.

Toelichting

Volgens de Memorie van Toelichting bij de Wet BIBOB zijn de beginselen van subsidiariteit en proportionaliteit belangrijke uitgangspunten van de wet. Het bestuursorgaan bekijkt eerst of er geen bestaande weigeringsgronden zijn zoals genoemd in de APV en de Drank- en Horecawet. Deze bestaande weigeringsgronden hebben namelijk ook betrekking op de integriteit van de vergunningaanvrager c.q. houder. Te denken valt bijvoorbeeld aan de eis “niet in enig opzicht van slecht levensgedrag te zijn”, of de eisen genoemd in het “Besluit eisen zedelijk gedrag”, behorend bij de Drank- en Horecawet. Op de tweede plaats dient het bestuursorgaan te onderzoeken of zij niet zelfstandig de Wet BIBOB kan toepassen. Dit onderzoek vindt plaats met behulp van de in artikel 30 van de Wet BIBOB omschreven aanvraagformulieren (vragenlijst). Hierin wordt onder meer gevraagd wie de leidinggevenden dan wel vermogensverschaffers van betrokkene (n) zijn, en wat de wijze van financiering is. Indien er vanuit het bestuursorgaan een adviesaanvraag aan het Landelijk Bureau BIBOB volgt dienen al deze personen er derhalve rekening mee houden dat zij onderworpen kunnen worden aan een “BIBOB-onderzoek”.

2.6 Uitvoering beleidslijn

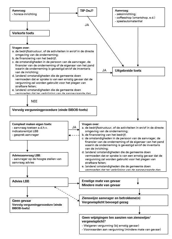
Bij de beoordeling van aanvragen van bovengenoemde vergunningen, wordt onderscheid gemaakt in een “verkorte BIBOB-toets” en een “uitgebreide BIBOB-toets”. Als de aanvraag daarna nog verder onderzocht moet worden, wordt een BIBOB advies gevraagd aan het Landelijk Bureau BIBOB.

Gelet op het doel dat de beleidslijn beoogt te bereiken, de overwegingen dat sommige branches gevoeliger zijn voor het plaatsvinden van criminele activiteiten wordt het BIBOB-instrumentarium in zijn algemeenheid als volgt ingezet5:

  • 1.

    Horecabedrijven (en evt de “droge horeca”): bij aanvragen zal een verkorte toets plaatsvinden. Er zal alleen een uitgebreide BIBOB-toets plaatsvinden, indien er na de verkorte toetsing van de aanvraag onduidelijkheid bestaat over met name:

    • a.

      de bedrijfsstructuur, of de activiteiten in en/of in de directe omgeving van de onderneming;

    • b.

      de financiering van het bedrijf;

    • c.

      de omstandigheden in de persoon van de aanvrager, de financier van de onderneming of de eigenaar van het pand waarin de onderneming is gevestigd en/of de inventaris van de inrichting;

    • d.

      (andere) omstandigheden die de gemeente doen vermoeden dat er sprake is van een ernstig gevaar dat de vergunning zal worden gebruikt voor het plegen van strafbare feiten;

    • e.

      (andere) omstandigheden die de gemeente doen vermoeden dat ter verkrijging van de aangevraagde dan wel gegeven vergunning een strafbaar feit is gepleegd.

  • 2.

    Coffeeshops (en evt. smartshops, e.d.) : bij alle aanvragen zal een uitgebreide BIBOB-toets plaatsvinden;

  • 3.

    Seksinrichtingen: bij alle aanvragen zal een uitgebreide BIBOB-toets plaatsvinden;

  • 4.

    Speelautomatenhallen: bij alle aanvragen zal een uitgebreide BIBOB-toets plaatsvinden

  • 5.

    Advies van de Officier van Justitie: conform artikel 26 Wet BIBOB kan het OM de gemeente wijzen op de wenselijkheid om een BIBOB-advies aan te vragen; ook dan geldt dat er een uitgebreide BIBOB-toets plaatsvindt;

  • 6.

    Bij weigering door de aanvrager om het verkorte vragenformulier in te vullen en de gevraagde gegevens te overleggen aan het bestuursorgaan, zal er een uitgebreide toets plaatsvinden.

Toelichting

Een uitgebreide toetsing van alle vergunningaanvragen wordt niet wenselijk geacht. Een uitgebreide toets zorgt voor een toename van administratieve lasten, zowel bij de aanvrager als bij de overheid. Bovendien beschikt het bevoegd gezag al over een hoeveelheid aan informatie, via eigen informatiesystemen, politiegegevens, e.d. Anderzijds is er een aantal branches die gevoelig is voor criminele invloeden. Vanwege dit risico is ervoor gekozen bij seks- en drugsgerelateerde inrichtingen en speelautomatenhallen een uitgebreide BIBOB-toets toe te passen.

Indien er sprake is van een zgn. tipfunctie van de Officier van Justitie zal er (eventueel in overleg met het Landelijk Bureau BIBOB) een uitgebreide toets plaatsvinden.

2.6.1 Verkorte BIBOB-toets

De bij de aanvraag om vergunning verstrekte gegevens geven al een hoeveelheid aan informatie over de aanvraag/ aanvrager. Daarnaast beschikt het bevoegd gezag over eigen informatie. De Wet BIBOB stelt dat een bevoegd gezag eerst eigen onderzoek moet verrichten.

Voor de verkorte BIBOB-toets worden de huidige aanvraagformulieren gebruikt, zoals deze reeds door het bestuursorgaan zijn vastgesteld. Het gaat hierbij om de aanvraagformulieren Drank- en horecawet (Model A) en de eventuele aanvraagformulieren om een exploitatievergunning.

Als bijlage bij de bestaande aanvraagformulieren stelt het bestuursorgaan een aanvullend vragenformulier (het verkorte vragenformulier) vast, waarin aanvullende vragen gesteld worden, met name ten aanzien van de financiering, de eigendomsverhoudingen van het onroerend goed, huur- en pachtovereenkomsten, e.d.

Het verkorte vragenformulier is als bijlage 3 opgenomen. Dit formulier maakt onderdeel uit van de gegevens die bij een aanvraag om een Drank- en horecavergunning, dan wel exploitatievergunning overlegd dient te worden en dient door de aanvrager volledig te worden ingevuld.

De verkorte BIBOB-toets door het bevoegd gezag behelst de controle en analyse van de volgende gegevens:

  • de door de aanvrager/houder van de vergunning beantwoorde vragen die zijn opgenomen in het voorgeschreven aanvraagformulier om een Drank- of horecavergunning of exploitatievergunning6.

  • de door hem/haar aangeleverde documenten die moeten worden meegestuurd op grond van het voorgeschreven verkorte aanvraagformulier (zoals huur-/pachtovereenkomsten, in de plaatsstelling, e.d.);

  • de wijze van financiering (met bijbehorende documenten);

  • ondernemingsplan;

  • (open) bronnen onderzoek (o.a. Kamer van Koophandel, Kadaster, opvragen politiegegevens, e.d.);

Ook bij de verkorte BIBOB-toets zal enige informatie moeten worden overlegd over de wijze van financiering. Omdat een aanvrager deze informatie als het goed is paraat heeft, wordt deze extra informatie niet als een onevenredige toename van administratieve lasten beschouwd.

De extra gegevens die gevraagd worden zijn noodzakelijk om een globale beoordeling te kunnen hebben op de financiering van een onderneming. Ook de eigendomsverhoudingen van een onroerend goed, pacht- of huurovereenkomsten geven een beeld van betrokken (zakelijke) partners. Het zijn juist deze gegevens (financiële gegevens en eigendomsverhoudingen) die inzicht geven in zeggenschap en geldstromen en vormen hiermee de kern van een eerste screening. Om die reden is ervoor gekozen deze gegevens bij alle aanvragen om vergunning te vragen. Bij het verkorte vragenformulier worden alleen aanvullende vragen gesteld. Zo wordt voorkomen dat een aanvrager meerdere keren dezelfde gegevens moet invullen.

2.6.2 Uitgebreide BIBOB-toets

Bij een uitgebreide toets wordt dieper ingegaan op onder andere de financiering, zeggenschap in de onderneming, betrokkenheid van andere personen, e.d. Ingevolge artikel 30 van de wet dienen in ieder geval de volgende vragen te worden beantwoord:

  • a.

    De naam, het adres en de woonplaats of plaats van vestiging van de aanvraag of gegadigde;

  • b.

    De naam, het adres en de woonplaats van de persoon die het formulier namens de aanvrager of gegadigde invult;

  • c.

    Het nummer van inschrijving bij de Kamer van Koophandel

  • d.

    De rechtsvorm van de aanvrager of gegadigde;

  • e.

    De handelsnaam of handelsnamen waarvan de aanvrager of gegadigde gebruik maakt of heeft gemaakt;

  • f.

    De natuurlijke personen of rechtspersonen die, voor zover van toepassing:

    • direct of indirect leiding geven of hebben gegeven aan betrokkene;

    • direct of indirect zeggenschap hebben of hebben gehad over betrokkene;

    • direct of indirect vermogen verschaffen of hebben verschaft aan betrokkene;

    • onderaannemer van betrokkene zijn;

  • g.

    de wijze van financiering (uitgebreid).

Als bijlage bij de bestaande aanvraagformulieren stelt het bestuursorgaan een aanvullend vragenformulier vast (uitgebreide vragenformulier). Dit vragenformulier is gebaseerd op het vragenformulier zoals deze door het Landelijk Bureau BIBOB is vastgesteld. Hiervoor is gekozen om dat in dit vragenformulier alle relevante vragen benoemd zijn die het bevoegd gezag en eventueel het Landelijk Bureau BIBOB nodig heeft om een juiste beoordeling van de aanvraag (en aanvrager) te laten plaatsvinden.

Het uitgebreide vragenformulier is als bijlage 4 opgenomen. Dit formulier maakt onderdeel uit van de gegevens die bij een aanvraag om een Drank- en horecavergunning, dan wel exploitatievergunning overlegd dient te worden.

Het verschil tussen de verkorte- en de uitgebreide BIBOB-toets is gelegen in specifieke vragen in het vragenformulier over de financiële situatie van de aanvrager, de financiële draagkracht van de ondernemer, oude dienstverbanden, e.d. Deze informatie is noodzakelijk om een beter inzicht te krijgen in de financiële mogelijkheden van de aanvrager, de vatbaarheid voor ‘onzuivere’ financieringen en zakelijke verbanden. Het vragen van deze gegevens zal leiden tot een toename van administratieve lasten voor de aanvrager.

In bijlage 1 is voor de diverse aanvragen om vergunning een inventarisatielijst opgenomen welke informatie nodig kan zijn in het kader van het eigen onderzoek door de gemeente.

Het uitgebreide vragenformulier wordt indien mogelijk persoonlijk overhandigd aan de aanvrager, met een toelichting waarom de uitgebreide toetsing plaats gaat vinden. In dit intakegesprek kan het vragenformulier worden toegelicht en wordt de aanvrager er op gewezen het vragenformulier volledig in te vullen en te voorzien van alle gevraagde bijlagen. Eventuele gegevens die al bij het verkorte vragenformulier zijn overlegd, kunnen hierbij achterwege worden gelaten.

Het in laten vullen van het uitgebreide vragenformulier kan worden gezien als de start van de BIBOB-procedure. Dit kan met name van belang zijn voor de vertrouwelijkheid van de stukken. Bij de uitgebreide vragenlijst worden stukken gevraagd welke een vertrouwelijk karakter hebben. Overigens heeft dit geen consequenties voor de termijnen, deze worden pas opgeschort indien een advies wordt aangevraagd bij het Landelijk Bureau BIBOB.

Nadat de uitgebreide vragenlijst is ingevuld kan er voor worden gekozen de aanvrager uit te nodigen om een toelichting te geven op de ingevulde vragenlijst. Dit zal met name gebeuren indien er sprake is van één of meerdere onduidelijkheden:

  • Een onduidelijke bedrijfsstructuur;

  • Een onduidelijke financiering;

  • Een verdachte financiering;

  • Een ongebruikelijke financieringsstructuur;

  • Een ongebruikelijke financier;

  • Een a-typische aanvraag voor aanvrager;

  • Het ontbreken van een bedrijfsplan;

  • Onduidelijk dan wel onvolledig ingevulde formulieren;

  • Een aanvraag in een vastgesteld aandachtsgebied, geografisch gebied;

  • Een aanvraag in een vastgesteld aandachtsgebied, bepaalde branche;

  • Het ontbreken van een recent uittreksel uit de kamer van koophandel;

  • Banden met het criminele circuit, eventueel op basis van politie-informatie.

2.6.3 Ontvankelijkheid aanvraag

De aanvraag om vergunning is pas ontvankelijk indien alle gevraagde gegevens zijn overlegd, dan wel dat het bevoegd gezag van mening is dat op basis van de verstrekte gegevens een voldoende beoordeling kan plaatsvinden op de aanvraag (en aanvrager) en de af te geven beschikking. Het ingevulde verkorte- of uitgebreide vragenformulier gaat onderdeel uitmaken van de aanvraag en daarmee van de ontvankelijkheidstoets.

Een aanvraag is dus pas ontvankelijk indien alle gevraagde gegevens zijn overlegd. Zolang er geen ontvankelijke aanvraag is ingediend, wordt de aanvraag niet in behandeling genomen. De aanvrager zal indien gegevens ontbreken, in staat worden gesteld de aanvraag volledig te maken. De behandeling van de aanvraag (en hiermee de termijn) zal worden opgeschort tot het moment dat de ontbrekende gegevens zijn overlegd.

Indien de aanvrager weigert de gevraagde gegevens te overleggen kan dit aanleiding zijn de aanvraag om vergunning niet ontvankelijk te verklaren en de aanvraag buiten behandeling te stellen (met gebruikmaking van artikel 4.5 van de Algemene wet bestuursrecht). Dit zal pas plaatsvinden nadat de aanvrager in de gelegenheid is gesteld de aanvraag compleet te maken en verzocht is de gevraagde gegevens aan te leveren.

Indien er naar aanleiding van de aanvraag en de ingevulde verkorte vragenlijst aanvullende vragen zijn (zowel aanvullende vragen naar aanleiding van de overlegde gegevens als aanvullende vragen in het kader van de uitgebreide vragenlijst), kan de aanvrager met gebruikmaking van artikel 4.5 lid c van de Algemene wet bestuursrecht om aanvullende gegevens worden gevraagd. De behandeltermijn wordt gedurende de hersteltermijn opgeschort.

Ook als de aanvraag in eerste instantie wel ontvankelijk was en in behandeling is genomen, kan op grond van artikel 4.5 lid c van de Awb de aanvraag alsnog buiten behandeling worden gelaten.

Indien de aanvraag buiten behandeling is gelaten en de aanvrager (of een ander persoon) een nieuwe aanvraag om vergunning aanvraagt voor deze locatie, geeft dit aanleiding om (in het geval van een aanvraag om DHV) direct het uitgebreide vragenformulier te overhandigen aan de aanvrager.

Indien de aanvrager weigert de vragenlijst conform artikel 30 van de Wet BIBOB (de uitgebreide vragenlijst) in te vullen –en dan met name de gegevens die relevant zijn om een deugdelijke BIBOB-toets plaats te laten vinden- kan het bevoegd gezag gebruik maken van artikel 4 van de Wet BIBOB en de weigering beschouwen als een ernstig gevaar. De aanvraag om vergunning kan hiermee met gebruikmaking van artikel 3 Wet BIBOB geweigerd worden.

Toelichting

In het kader van het terugdringen van administratieve lasten is een overweging gemaakt welke gegevens wanneer aan de aanvrager worden gevraagd. Voor het gros van de aanvragen (horeca) zullen deze gegevens zich beperken tot die gegevens die reeds in het kader van de drank- en horecavergunning worden gevraagd. Toegevoegd hieraan wordt het overleggen van enkele gegevens met betrekking tot de financiering van de onderneming, eigendomsverhoudingen, e.d.. Deze gegevens zijn noodzakelijk omdat juist de financiering van een onderneming en eventuele zeggenschap door derden een van de gevaarsaspecten vormen (bv witwassen). Het bevoegd gezag heeft gemeend dat het vragen van deze extra vragen niet leiden tot een onnodige administratieve lastenverzwaring voor de aanvrager, in relatie tot het doel dat in het kader van de Wet BIBOB hiermee wordt gediend.

Indien er sprake is van een heldere financiering, zal een aanvrager deze zonder veel extra lasten kunnen verstrekken aan het bevoegd gezag (bv een kopie van een banklening/ hypotheek). De bereidheid en ‘het gemak’ waarmee deze gegevens worden overlegd, geven tevens een eerste indicatie of een financiering mogelijk ‘verdacht’ is.

Voor een juiste beoordeling van de aanvraag en de aanvrager is het van belang dat de aanvrager ook alle gegevens overlegd waar in het verkorte vragenformulier om gevraagd wordt. Indien de aanvrager weigert het verkorte vragenformulier in te vullen en de gevraagde gegevens te overleggen, wordt het uitgebreide vragenformulier overlegd aan de aanvrager.

De aanvrager is verplicht het verkorte- of uitgebreide vragenformulier in te vullen en de gevraagde gegevens te overleggen. Met de aangeleverde gegevens die in dit kader zijn verstrekt zal zorgvuldig moeten worden omgegaan.

Indien in deze fase van de procedure de aanvrager weigert om de gevraagde gegevens aan te leveren, geeft de wet de mogelijkheid de vergunning te weigeren of kan de aanvraag buiten behandeling worden gelaten.

2.6.4 Adviesaanvraag bij het Landelijk Bureau BIBOB (LBB)

De keuze om een advies aan te vragen bij het Landelijk Bureau BIBOB dient weloverwogen genomen te worden. Een formele aanvraag kan grote consequenties hebben voor de aanvrager en overige betrokkene(n). Niet alleen in het kader van inbreuk op privacy, ook de beslistermijn op de aanvraag kan aanzienlijk worden opgeschort.

Een aanvraag om advies kan pas worden gedaan indien alle overige wettelijke weigeringsgronden zijn uitgeput. Daarnaast zal het bevoegd gezag haar eigen huiswerk volledig moeten hebben uitgevoerd.

Het Landelijk Bureau BIBOB heeft een indicatorenlijst7 opgesteld, waarmee het bevoegd gezag de aanvraag en de overlegde gegevens kan toetsen en kan beoordelen of de aanvraag “BIBOB-waardig” is.

Indien er naar aanleiding van de (volledig) ingevulde vragenlijst conform artikel 30 van de wet en na toetsing van de aanvraag aan de hand van de indicatorenlijst nog vragen zijn over onder andere:

  • a.

    de bedrijfsstructuur, of de activiteiten in en/of in de directe omgeving van de onderneming;

  • b.

    de financiering van het bedrijf;

  • c.

    de omstandigheden in de persoon van de aanvrager, de financier van de onderneming of de eigenaar van het pand waarin de onderneming is gevestigd en/of de inventaris van de inrichting;

  • d.

    (andere) omstandigheden die de gemeente doen vermoeden dat er sprake is van een ernstig gevaar dat de vergunning zal worden gebruikt voor het plegen van strafbare feiten, of het gebruiken van voordelen uit strafbare feiten;

  • e.

    (andere) omstandigheden die de gemeente doen vermoeden dat ter verkrijging van de aangevraagde dan wel gegeven vergunning een strafbaar feit is gepleegd.

of

indien de Officier van Justitie ingevolge artikel 26 van de Wet BIBOB het bevoegd gezag heeft gewezen op de wenselijkheid om in het kader van een aanvraag van een vergunning, dan wel een bestaande vergunning, een advies aan Bureau BIBOB te vragen, kan het bevoegd gezag conform artikel 9 van de Wet BIBOB een advies aanvragen bij het Landelijk Bureau BIBOB, indien het bevoegd gezag van mening is dat er sprake is van voldoende verdenking of een kwetsbaar, voor misbruik vatbaar besluit met redelijke financiële of maatschappelijke belangen.

Het aanvragen van een advies bij het Landelijk Bureau BIBOB is geen beschikking in de zin van de Algemene wet bestuursrecht. Hiertegen kan derhalve geen bezwaar of beroep worden ingesteld. Wel is de aanvrager van een vergunning te allen tijde toegestaan de aanvraag terug te trekken.

De aanvrager zal door de gemeente schriftelijk worden bericht dat de gemeente voornemens is een BIBOB-advies aan te vragen.

2.6.5 Advies Landelijk Bureau BIBOB

Het Landelijk Bureau BIBOB kent een drietal adviezen:

  • er is geen sprake van een ernstige mate van gevaar als bedoeld in artikel 3 van de Wet BIBOB;

  • er is sprake van een ernstige mate van gevaar;

  • er is sprake van een mindere mate van gevaar.

In het eerste geval kan de vergunning niet geweigerd worden op grond van de Wet BIBOB. In het tweede geval dient de gemeente af te wegen of in dit concrete geval inderdaad de vergunning geweigerd zal worden op grond van de Wet BIBOB. Er kunnen omstandigheden aanwezig zijn die de gemeente, ondanks het advies, doen besluiten de vergunning te verlenen (het is dus geen verplichting om bij een ernstige mate van gevaar de vergunning te weigeren).

Net zoals in het laatste geval kunnen er extra voorwaarden verbonden worden aan de vergunning, zoals bijvoorbeeld het periodiek overleggen van de boekhouding om beter te kunnen controleren of er inderdaad geen sprake is van een situatie bedoeld in artikel 3 van de Wet BIBOB.

Naast een weigeringsgrond op basis van artikel 3 van de Wet BIBOB kan een aanvraag om vergunning worden geweigerd, indien de aanvrager weigert de aanvraag volledig in te vullen (waaronder het vragenformulier). Dit kan op basis van artikel 4 van de Wet BIBOB.

De definitieve beslissing op de aanvraag zal maatwerk blijven.

Toelichting onderzoek Landelijk Bureau BIBOB (LBB)

De gemeente doet het verzoek tot een adviesaanvraag bij het Landelijk Bureau BIBOB. Als er een BIBOB-advies wordt aangevraagd zal de aanvrager/houder van de vergunning worden geïnformeerd door de gemeente. Het Landelijk Bureau BIBOB moet in beginsel binnen vier weken adviseren aan de gemeente. Deze termijn kan met nog eens vier weken worden verlengd. Het bureau BIBOB zal hiervan de gemeente in kennis stellen. De gemeente zal de aanvrager hiervan op haar beurt in kennis stellen. De beslistermijn voor de gemeente om te beslissen op de vergunningaanvraag wordt opgeschort gedurende de adviestermijn van het landelijk bureau.

Het Landelijk Bureau BIBOB zal, als er een advies is gevraagd, een nader onderzoek instellen en een advies uitbrengen over de mate van gevaar, als bedoeld in art. 3 van de Wet BIBOB. Het Landelijk Bureau BIBOB valt onder het ministerie van Justitie en heeft inzage in een aantal openbare en gesloten bronnen (bijvoorbeeld bij de belastingdienst, politie, justitie, etc.) en kan hierdoor een meer diepgaand onderzoek doen dan de gemeente.

Welke personen en bedrijven worden in het onderzoek betrokken

Uiteraard wordt de betrokkene(n) onderzocht.

Daarnaast wordt onderzocht of deze misschien een relatie heeft tot strafbare feiten als bedoeld in de Wet BIBOB. Dit betekent dat ook andere personen kunnen worden betrokken in het onderzoek. In artikel 3 van de wet is bepaald dat betrokkene in relatie staat tot strafbare feiten als die feiten door een ander gepleegd zijn en deze persoon:

  • 1.

    direct of indirect leiding geeft of heeft gegeven aan betrokkene, dan wel

  • 2.

    zeggenschap heeft over dan wel heeft gehad over betrokkene, dan wel

  • 3.

    vermogen verschaft dan wel heeft verschaft aan betrokkene, dan wel

  • 4.

    in een zakelijk samenwerkingsverband tot hem staat.

Deze andere personen kunnen dus ook worden betrokken in het onderzoek.

2.6.6 Vergewisplicht

Het bestuursorgaan zal zelfstandig een beslissing moeten nemen op de aanvraag. Het advies van het Landelijk Bureau BIBOB kan hierbij als advies dienen, het bestuursorgaan heeft echter een vergewisplicht (artikel 3.9 Awb: Indien een besluit berust op een onderzoek naar feiten en gedragingen dat door een adviseur is verricht, dient het bestuursorgaan zich ervan te vergewissen dat dit onderzoek op zorgvuldige wijze heeft plaatsgevonden).

Dit betekent dat het bestuursorgaan zelf zal moeten nagaan of de conclusies en het advies van het landelijk bureau ook gedragen worden door de feiten en omstandigheden die hieraan ten grondslag hebben gelegen.

Alvorens een besluit wordt genomen de aanvraag te weigeren (of voorwaarden te verbinden aan een vergunning) dient de aanvrager in de gelegenheid te worden gesteld een zienswijze naar voren te brengen. Ook derden die genoemd zijn in het besluit, worden aangemerkt als belanghebbenden en dienen in staat te worden gesteld een zienswijze in te dienen. Opgemerkt dient te worden dat derden alleen dat gedeelte van het advies van het Landelijk Bureau BIBOB mogen inzien, welke op henzelf betrekking heeft.

Indien er zienswijzen worden ingediend of indien er vragen naar voren komen op basis van de eigen vergewisplicht, worden er aanvullende vragen gesteld aan het Landelijk Bureau BIBOB. Deze aanvullende vragen worden schriftelijk gesteld. De ingediende zienswijzen worden standaard voorgelegd aan het Landelijk Bureau BIBOB, indien deze zienswijzen gerelateerd zijn aan het BIBOB-advies.

De vergewisplicht zal verankerd moeten worden in de gemeentelijke BIBOB-procedure. In vrijwel alle gevallen zal bij een weigerings- of intrekkingsbesluit gebruik worden gemaakt van de mogelijkheid om een zienswijze in te dienen door de betrokkene(n). Het is verstandig deze zienswijze, indien ze betrekking hebben op de inhoud van het advies, voor te leggen aan het Landelijk Bureau BIBOB.

Richtlijn om te voldoen aan de vergewisplicht:

  • Het bestuursorgaan gaat zelfstandig na of de aangedragen feiten als zodanig voldoende concludent zijn voor het advies. Dit doet het bestuursorgaan door:

    Voorafgaand aan de ontwerpbeschikking:

    • a)

      indien de aangedragen feiten bestaan uit vermoedens of zachte informatie (dus bv. CIE-informatie of lopende onderzoeken en dus niet bestaan uit gepleegde strafbare feiten), wordt aan het LBB gevraagd of de bij hun beschikbare informatie voldoende is om tot het uitgebrachte advies te komen;

    • b)

      zelfstandig te onderzoeken of veronderstelde zakelijke samenwerkingsverbanden ook overeenkomen met eigen informatie (bv. vanuit toezicht, belastingdienst, open bronnen).

  • Voordat de definitieve beschikking wordt genomen:

    • a)

      zienswijze die worden ingediend en die aangedragen feiten uit het advies in twijfel trekken, of anderziens het advies van het Landelijk Bureau BIBOB in twijfel trekken, worden ter beoordeling (of voor nader advies) voorgelegd aan het Bureau.

  • Vragen aan het Landelijk Bureau BIBOB of een verzoek om nader advies worden bij voorkeur schriftelijk gedaan;

  • In de beschikking wordt standaard het onderdeel vergewisplicht opgenomen. In dit onderdeel van de beschikking wordt vermeld op welke wijze hiermee is omgegaan:

    • a)

      indien het Landelijk Bureau BIBOB gevraagd is om een nader advies, wat de uitkomsten hiervan waren;

    • b)

      hoe is omgegaan met de ingebrachte zienswijze;

    • c)

      indien het Landelijk Bureau BIBOB niet om een nader advies is gevraagd, wordt gemotiveerd waarom het bestuursorgaan dit niet nodig heeft geacht en zelfstandig heeft kunnen vaststellen dat de aangedragen feiten als zodanig concludent zijn voor het advies.

2.6.7 Geheimhoudingsplicht

Vanwege de aard van de gegevens en de diversiteit aan bronnen waaruit door het Landelijk Bureau BIBOB kunnen worden geput, dient met het oog op de bescherming van de persoonlijke levenssfeer van de personen waaromtrent het Landelijk Bureau BIBOB gegevens heeft verzameld, een zeer stringent regime te worden gehanteerd ten aanzien van de verstrekking van die persoonsgegevens. De Wet BIBOB kent dan ook een gesloten verstrekkingenregime.

Dit houdt in dat de persoonsgegevens die het Landelijk Bureau BIBOB heeft geregistreerd, niet worden verstrekt buiten de gevallen om die in de wet BIBOB expliciet zijn geregeld.

De geheimhoudingsplicht geldt voorts voor eenieder die op basis van de Wet BIBOB de beschikking krijgt over persoonsgegevens. Als zodanig geldt de geheimhoudingsplicht dus zowel voor de medewerkers van het Landelijk Bureau BIBOB, het bestuur dat om een advies heeft verzocht en zijn ambtenaren, als voor de instanties die in aanmerking komen voor verstrekking van persoonsgegevens door het Bureau BIBOB buiten de adviesvraag om, zoals het openbaar ministerie en het College bescherming persoonsgegevens, en voor de betrokkene die in de motivering van de hem betreffende beslissing in voorkomend geval persoonsgegevens inzake derden kan aantreffen.

Het advies van het bureau zal worden gebruikt ter onderbouwing van de uiteindelijke beslissing omtrent de verlening dan wel intrekking van de vergunning. Slechts gegevens die noodzakelijk zijn ter motivering van de gevraagde vergunning, zullen worden bekend gemaakt aan de betrokkene en worden opgenomen in de beslissing op de vergunningaanvraag.

Indien betrokkene gebruik wenst te maken van zijn recht een zienswijze in te dienen, heeft hij wel recht op inzage van het gehele advies. Gegevens over derden, die noodzakelijk zijn ter motivering van het besluit kunnen op verzoek ook aan deze derden ter kennis worden gebracht.

Het BIBOB-advies als document valt in beginsel onder het verstrekkingregime van de Wet Openbaarheid van Bestuur. Echter op grond van artikel 10 van deze Wet zal in de praktijk het openbaar maken van het advies achterwege worden gelaten. Het advies is dus alleen ter inzage voor betrokkene en het bestuursorgaan en voor zakelijke relaties voor zover het gegevens betreft die hen aangaan.

2.6.8 Bezwaar en beroep bij beschikkingen

Indien het bestuursorgaan besluit tot (gedeeltelijke) overname van het BIBOB-advies, wordt dit gedeelte van het advies dat wordt gebruikt voor de motivering onderdeel van de beschikking. Op deze beschikking is de Algemene wet bestuursrecht (Awb) van toepassing. Dit betekent dat voordat een bestuursorgaan het geven van een beschikking geheel of gedeeltelijk afwijst, het de aanvrager in de gelegenheid stelt diens zienswijze naar voren te brengen (artikel 4 lid 8 Awb). De volgende stap die openstaat is het indienen van een bezwaarschrift (artikel 7 lid 1. Awb).

Voordat bij de administratieve rechter geprocedeerd wordt, dient het aan te vechten besluit eerst voorwerp van bestuurlijke hertoetsing geweest te zijn. Dat wil zeggen een bestuurlijke herbeoordeling op rechtmatigheid en zorgvuldigheid en bestuurlijke / beleidsmatige aanvaardbaarheid of gewenstheid. Het bezwaarschrift wordt door hetzelfde orgaan getoetst. De volgende stap is het beroep bij de bestuursrechter en vervolgens staat nog hoger beroep bij de afdeling bestuursrechtspraak van de Raad van State open.

Indien hier door betrokken partijen toestemming voor gegeven wordt, kan de rechter inzage krijgen in het BIBOB-advies. Dit geldt overigens niet voor externe bezwarencommissies. Externe bezwarencommissie (conform artikel 7.13 van de Awb) is het niet toegestaan inzage te krijgen in het BIBOB-advies8.

Samenvatting BIBOB-beleid

afbeelding binnen de regeling

2.7 Bestaande vergunningsituaties

De Wet BIBOB geeft het bevoegd gezag de mogelijkheid om –naast het weigeren van een vergunning- verleende vergunningen in te trekken.

Aanleiding om bestaande vergunningen te onderwerpen aan een BIBOB-toets kunnen gelegen zijn in:

  • A.

    een tip van de Officier van Justitie (conform artikel 26 van de wet);

  • B.

    gebeurtenissen rondom een bestaande inrichting (geweldplegingen, e.d.);

  • C.

    verplaatsing en verschuiving van (criminele) activiteiten;

  • D.

    wijzigingen in de verleende vergunningen;

  • E.

    wijzigingen in de vergunningplicht (met name bij exploitatievergunningen);

  • F.

    Periodieke toets vergunningen.

A. Tip van de Officier van Justitie

Indien de Officier van Justitie het bevoegd gezag adviseert een aanvraag om advies in te dienen bij het Landelijk Bureau BIBOB, kan dit voor het bevoegd gezag aanleiding geven om een BIBOB-procedure te starten. Deze procedure houdt in dat aan de houder van de vergunning een uitgebreide vragenformulier zal worden overlegd, met de mededeling dat er aanwijzingen zijn die aanleiding geven de integriteit van de onderneming te onderzoeken. De procedure wordt op dat moment gevolgd, zoals bij de aanvraag om vergunning is omschreven.

Het advies van de Officier kan van dusdanige aard zijn dat het bevoegd gezag direct het Landelijk Bureau verzoekt een advies uit te brengen. In dit geval hoeft er geen uitgebreide vragenlijst ingevuld te worden. Vooraf kan hierover afstemming plaatsvinden met de Officier van Justitie.

Indien een advies wordt gevraagd aan het Landelijk Bureau BIBOB, wordt de houder van de vergunning hiervan in kennis gesteld.

Voordat een advies bij het Landelijk Bureau BIBOB wordt aangevraagd, vindt hierover afstemming plaats met het Landelijk Bureau, onder andere over de gegevens die aangeleverd moeten worden. Met de Officier zal vooraf afstemming plaatsvinden over de bij hen bekende gegevens en of deze gegevens in de BIBOB-procedure ook vrijgegeven mogen worden.

B. Gebeurtenissen rondom een bestaande inrichting

Er kunnen zich situaties voordoen rondom een inrichting die aanleiding kunnen geven een BIBOB-procedure te starten. Dit kan zijn wanneer er bijvoorbeeld gewelddelicten hebben plaatsgevonden binnen een inrichting, waarbij (indirecte) betrokkenheid is van leidinggevende(n), drugshandel, of het vermoeden van andere criminele activiteiten waarbij de inrichting zelf een rol speelt (faciliteert) of waarbij de leidinggevende(n) of een andere direct betrokkene(n) een faciliterende rol heeft of zelf deze criminele activiteiten (vermoedelijk) pleegt.

Tot het starten van een BIBOB-procedure (het uitreiken van een uitgebreide vragenformulier, adviesaanvraag bij het Landelijk Bureau BIBOB) wordt niet eerder overgegaan dan nadat alle overige intrekkingsbevoegdheden zijn uitgesloten. Het bevoegd gezag kan in voorkomende gevallen veelal op basis van de verordening (o.a. de APV) of op grond van de Drank- en horecawet een vergunning intrekken in het kader van de openbare orde of veiligheid of indien de leidinggevende niet meer voldoet aan de eisen omtrent het levensgedrag. Pas als al deze mogelijkheden zijn uitgeput, wordt overgegaan tot het starten van een BIBOB-procedure, zoals onder A. beschreven.

C. Verplaatsing of verschuiving

Intensief toezicht op bepaalde branches of in bepaalde gebieden kunnen leiden tot een verplaatsing van bepaalde inrichtingen of verschuivingen binnen een branche.

Het bevoegd gezag kan indien hiertoe aanleiding is besluiten bepaalde branches of gebieden te onderwerpen aan een BIBOB-toets. Een dergelijke toets zal in beginsel globaal van aard zijn, omdat het buiten proportioneel is alle in die branche of gebied aanwezige inrichtingen te onderwerpen aan een uitgebreide procedure.

Indien uit de globale toets specifieke gevallen naar voren komen, kunnen deze onderworpen worden aan een uitgebreide BIBOB-toets en kan indien hiertoe aanleiding is een BIBOB-procedure gestart worden.

D. Wijzigingen in de vergunning/ inrichting

Wijzigingen in de vergunningsituatie kunnen aanleiding geven een BIBOB-toets plaats te laten vinden. Deze wijzigingen dienen in het algemeen gemeld te worden bij het bevoegd gezag (wijziging in leidinggevende, uitbreiding van de inrichting). Sommige wijzigingen (bv. interne verbouwingen of wijziging van de inrichting) hoeven niet direct vergunningplichtig te zijn. Met deze interne wijzigingen kunnen echter wel geldstromen gemoeid zijn, die twijfels kunnen oproepen.

Bij wijzigingen die leiden tot een aanvraag om een nieuwe of gewijzigde vergunning (bv. bij wijziging van leidinggevende(n), wordt een gelijke procedure gevolgd als bij aanvragen om nieuwe vergunningen9:

  • 1.

    Horecabedrijven (en evt de “droge horeca”): bij aanvragen zal in beginsel alleen een uitgebreide BIBOB-toets plaatsvinden, indien er na de normale toetsing van de aanvraag onduidelijkheid is over:

    • a.

      de bedrijfsstructuur, of de activiteiten in en/of in de directe omgeving van de onderneming;

    • b.

      de financiering van het bedrijf;

    • c.

      de omstandigheden in de persoon van de aanvrager, de financier van de onderneming of de eigenaar van het pand waarin de onderneming is gevestigd en/of de inventaris van de inrichting;

    • d.

      (andere) omstandigheden die de gemeente doen vermoeden dat er sprake is van een ernstig gevaar dat de vergunning zal worden gebruikt voor het plegen van strafbare feiten;

    • e.

      (andere) omstandigheden die de gemeente doen vermoeden dat ter verkrijging van de aangevraagde dan wel gegeven vergunning een strafbaar feit is gepleegd.

  • 2.

    Coffeeshops (en evt. smartshops): bij alle aanvragen zal een uitgebreide BIBOB-toets plaatsvinden;

  • 3.

    Seksinrichtingen: bij alle aanvragen zal een uitgebreide BIBOB-toets plaatsvinden;

  • 4.

    Speelautomatenhallen: bij alle aanvragen zal een uitgebreide BIBOB-toets plaatsvinden

Indien de aanvrager/ nieuwe leidinggevende(n) reeds bekend zijn bij het bevoegd gezag of de wijzigingen geen relatie hebben tot (grootschalige) investeringen kan het bevoegd gezag een BIBOB-toets achterwege laten.

Overigens zal de Drank- en Horecawet binnenkort (verwachting 2011) worden aangepast, waarbij bij wijzigingen van leidinggevende(n) alleen nog maar een melding moet worden gedaan en geen gewijzigde vergunning meer hoeft te worden aangevraagd. Bij de meldingen dienen overigens nog wel gegevens overlegd te worden omtrent het gedrag van de nieuwe leidinggevende(n).

Indien de melding alleen betrekking heeft op de wijzigingen van leidinggevende(n) en deze wijziging geen relatie hebben tot (grootschalige) investeringen, wordt de melding geaccepteerd en zal er verder geen BIBOB-toets plaatsvinden. Indien er twijfels bestaan, kan altijd een BIBOB-toets worden uitgevoerd op de bestaande vergunning.

E. Wijzigingen in de vergunningplicht

Landelijke wetgeving of gemeentelijke verordeningen kunnen leiden tot een wijziging in de vergunningplicht (bv. het instellen van een exploitatieplicht voor bepaalde inrichtingen).

F. Periodieke toets vergunningen

Het bevoegd gezag kan besluiten bepaalde branches periodiek te toetsen op basis van deze beleidslijn. Hiervoor zal het bevoegd gezag separaat beleid vaststellen

2.8 Ondersteuning RIEC Oost-Nederland

De gemeenten in IJsselland hebben besloten ter ondersteuning in de uitvoering van de Wet BIBOB aansluiting te zoeken bij het Regionale Informatie en Expertise Centrum (RIEC) Oost-Nederland. Het RIEC Oost-Nederland kan het bevoegd gezag ondersteunen bij het beoordelen van aanvragen om vergunningen en adviseert het bevoegd gezag omtrent de implementatie van het BIBOB-beleid.

Het RIEC is geen adviesorgaan zoals bedoeld in de Algemene wet bestuursrecht en maakt geen onderdeel uit van de formele procedure. Binnen het RIEC Oost-Nederland zijn accountmanagers aangesteld die belast zijn met de ondersteuning aan gemeente voor de Wet BIBOB. Deze werknemers van het RIEC Oost-Nederland vallen ten aanzien van de geheimhoudingsplicht onder het betrokken bevoegd gezag.

2.9 Slotbepaling

Deze beleidslijn geeft een algemeen kader waarbinnen het bevoegd gezag gebruik maakt van haar bevoegdheden tot toepassen van de Wet BIBOB. Specifieke situaties kunnen echter aanleiding geven af te wijken van deze beleidslijn. Het bevoegd gezag behoudt zich het recht voor –gemotiveerd- af te wijken van deze beleidslijn indien dit, ten behoeve van tegengaan van daadwerkelijke aantasting van de rechtsorde en de aantasting van de bestuurlijke slagkracht, als om het tegengaan van verloedering door de aanwezigheid van criminaliteit en van subjectieve gevoelens van (on)veiligheid, noodzakelijk is.

Ondertekening

Vastgesteld door de burgemeester, onderscheidenlijk het college van burgemeester en wethouders d.d.

Burgemeester en wethouders van Staphorst,

De secretaris,

De burgemeester,

De burgemeester van Staphorst,

BIJLAGE 1 “EIGEN ONDERZOEK BEVOEGD GEZAG”

Open bronnen bij aanvragen drank- en horecavergunning c.q. alcoholvrij bedrijf

Open bronnen:

  • Uittreksel Kamer van Koophandel;

  • Gegevens Kadaster/Hypotheekregister;

  • Toetsing aanvraag aan wetgeving;

  • Inlichtingen uit centraal justitieel inlichtingen- en documentatieregister

  • De volledig ingevulde aanvraagformulieren voor een vergunning Drank- en Horecawet;

  • De naam, het adres en de woonplaats van de persoon die het formulier namens de aanvrager of gegadigde invult;

  • Verklaring omtrent het gedrag;

  • Identiteitspapieren;

  • De handelsnaam of handelsnamen waarvan de aanvrager of gegadigde gebruik maakt of heeft gemaakt;

  • De natuurlijke personen of rechtspersonen die, voor zover van toepassing:

    • o

      direct of indirect leiding geven of hebben gegeven aan betrokkene;

    • o

      direct of indirect zeggenschap hebben of hebben gehad over betrokkene;

    • o

      direct of indirect vermogen verschaffen of hebben verschaft aan betrokkene;

    • o

      onderaannemer van betrokkene zijn;

  • Eigendomsbewijs/huurovereenkomst perceel waarvoor vergunning wordt gevraagd;

  • Eigendomsbewijs/huur-lease of koopovereenkomst m.b.t de inventaris van het pand;

  • Bewijzen van kredietovereenkomsten m.b.t de inrichting;

  • Bewijs (arbeidsovereenkomst) dat leidinggevenden daadwerkelijk in dienst zijn van het bedrijf;

  • Bewijzen van eigen vermogen m.b.t de financiering;

  • Bewijs van inschrijving bij de belastingdienst;

  • Politierapportages;

  • Klachten van omwonenden/signalen uit de branche;

  • Uittreksel bevolkingsregister.

Intakegesprek

Aanvrager komt persoonlijk de aanvraag toelichten. Tijdens het gesprek komen de volgende zaken aan de orde:

  • Het waarom van het beginnen van een horecaonderneming;

  • De ervaring van aanvrager met horecabedrijven;

  • De wijze van financiering;

  • Het bedrijfsplan;

  • Eventuele overige gemeentelijke info op het gebied van vergunningen.

Open bronnen bij aanvragen o.g.v. Wet op de kansspelen (speelhalvergunning)

Open bronnen:

  • Uittreksel Kamer van Koophandel;

  • Gegevens Kadaster/Hypotheekregister;

  • Toetsing aanvraag aan wetgeving;

  • Inlichtingen uit centraal justitieel inlichtingen- en documentatieregister;

  • De naam, het adres en de woonplaats van de persoon die het formulier namens de aanvrager of gegadigde invult;

  • Identiteitspapieren;

  • De handelsnaam of handelsnamen waarvan de aanvrager of gegadigde gebruik maakt of heeft gemaakt;

  • De handelsnaam of handelsnamen van de leverancier van de speelautomaten;

  • Een inschrijfbewijs van het bedrijfschap horeca (van toepassing op de droge horeca)

  • De natuurlijke personen of rechtspersonen die, voor zover van toepassing:

    • o

      direct of indirect leiding geven of hebben gegeven aan betrokkene;

    • o

      direct of indirect zeggenschap hebben of hebben gehad over betrokkene;

    • o

      direct of indirect vermogen verschaffen of hebben verschaft aan betrokkene;

    • o

      onderaannemer van betrokkene zijn;

  • Eigendomsbewijs/huurovereenkomst van de speelautomaten waarvoor vergunning wordt gevraagd;

  • Politierapportages;

  • Klachten van omwonenden/signalen uit de branche;

  • Uittreksel bevolkingsregister.

Intakegesprek

  • Aanvrager komt persoonlijk de aanvraag toelichten. Tijdens het gesprek komen de volgende zaken aan de orde:

  • Het waarom van het plaatsen van speelautomaten;

  • De ervaring van aanvrager met speelautomaten;

  • De wijze van financiering;

  • Het bedrijfsplan;

  • Eventuele overige gemeentelijke info op het gebied van vergunningen.

Open bronnen bij aanvraag vergunningen escort en seksinrichtingen

Opmerking: een seksinrichting zal doorgaans ook een drank- en horecavergunning aanvragen. Zie ook de daar gegeven informatie.

Bij een escortbedrijf zal dit doorgaans niet het geval zijn.

Open bronnen

  • Uittreksel Kamer van Koophandel;

  • Gegevens Kadaster/Hypotheekregister;

  • Toetsing aanvraag aan wetgeving;

  • Inlichtingen uit centraal justitieel inlichtingen- en documentatieregister;

  • De volledig ingevulde aanvraagformulieren voor een exploitatievergunning seksinrichting c.q. escortbedrijf;

  • De naam, het adres en de woonplaats van de persoon die het formulier namens de aanvrager of gegadigde invult;

  • Verklaring omtrent het gedrag;

  • Identiteitspapieren;

  • De handelsnaam of handelsnamen waarvan de aanvrager of gegadigde gebruik maakt of heeft gemaakt;

  • De natuurlijke personen of rechtspersonen die, voor zover van toepassing:

    • o

      direct of indirect leiding geven of hebben gegeven aan betrokkene;

    • o

      direct of indirect zeggenschap hebben of hebben gehad over betrokkene;

    • o

      direct of indirect vermogen verschaffen of hebben verschaft aan betrokkene;

    • o

      onderaannemer van betrokkene zijn;

  • Eigendomsbewijs/huurovereenkomst perceel waarvoor vergunning wordt gevraagd;

  • Eigendomsbewijs/huur-lease of koopovereenkomst m.b.t de inventaris van het pand;

  • Bewijzen van kredietovereenkomsten m.b.t de inrichting;

  • Bewijs (arbeidsovereenkomst) dat leidinggevenden daadwerkelijk in dienst zijn van het bedrijf;

  • Bewijzen van eigen vermogen m.b.t de financiering;

  • Bewijs van inschrijving bij de belastingdienst;

  • Politierapportages;

  • Klachten van omwonenden/signalen uit de branche;

  • Uittreksel bevolkingsregister.

Intakegesprek

  • Aanvrager komt persoonlijk de aanvraag toelichten. Tijdens het gesprek komen de volgende zaken aan de orde;

  • Het waarom van het beginnen van een seksinrichting/escortbedrijf;

  • De ervaring van aanvrager met een seksinrichtingen/escortbedrijf;

  • Wijze van financiering.

Open bronnen bij aanvraag exploitatievergunning horecabedrijf APV

Opmerking: bij inrichtingen die een exploitatievergunning nodig hebben zullen doorgaans ook een drank- en horecavergunning c.q. een vergunningalcoholvrij bedrijf aangevraagd hebben. Zie ook de daar gegeven informatie.

Open bronnen:

  • Uittreksel Kamer van Koophandel;

  • Gegevens Kadaster/Hypotheekregister;

  • Toetsing aanvraag aan wetgeving;

  • Inlichtingen uit centraal justitieel inlichtingen- en documentatieregister.

  • De volledig ingevulde aanvraagformulieren voor een exploitatievergunning APV;

  • De naam, het adres en de woonplaats van de persoon die het formulier namens de aanvrager of gegadigde invult;

  • Verklaring omtrent het gedrag;

  • Identiteitspapieren;

  • Het nummer van inschrijving bij de Kamer van Koophandel en Fabrieken;

  • De natuurlijke personen of rechtspersonen die, voor zover van toepassing:

    • o

      direct of indirect leiding geven of hebben gegeven aan betrokkene;

    • o

      direct of indirect zeggenschap hebben of hebben gehad over betrokkene;

    • o

      direct of indirect vermogen verschaffen of hebben verschaft aan betrokkene;

    • o

      onderaannemer van betrokkene zijn;

  • Eigendomsbewijs/huurovereenkomst perceel waarvoor vergunning wordt gevraagd;

  • Eigendomsbewijs/huur-lease of koopovereenkomst m.b.t de inventaris van het pand;

  • Bewijs (arbeidsovereenkomst) dat leidinggevenden daadwerkelijk in dienst zijn van het bedrijf;

  • Bewijzen van kredietovereenkomsten m.b.t de inrichting;

  • Bewijzen van eigen vermogen m.b.t de financiering;

  • Bewijs van inschrijving bij de belastingdienst;

  • Politierapportages;

  • Klachten van omwonenden/signalen uit de branche;

  • Uittreksel bevolkingsregister.

Intakegesprek

  • Aanvrager komt persoonlijk de aanvraag toelichten. Tijdens het gesprek komen de volgende zaken aan de orde:

  • Het waarom van het beginnen van het bedrijf;

  • De ervaring van aanvrager met het bedrijf;

  • De wijze van financiering;

  • Het bedrijfsplan;

  • Eventuele overige gemeentelijke info op het gebied van vergunningen.

BIJLAGE 2 Interne checklist “INDICATOREN”

Als uit het ingevulde algemene aanvraagformulier vermoedens zijn dat er sprake is van mogelijk criminele activiteiten of facilitering daaraan, dan kunnen onderstaande indicatoren behulpzaam zijn bij het nemen van de beslissing om de aanvrager het uitgebreide vragenformulier voor te leggen.

Dezelfde lijst kan ook gebruikt worden nadat een uitgebreide aanvraag is ingediend.

In dat geval kan de lijst behulpzaam zijn bij het nemen van de beslissing om al dan niet een BIBOB advies aan te vragen. Het is echter niet eenduidig aan te geven of het voldoen aan één of meer indicatoren voldoende is om een uitgebreide aanvraag voor te leggen c.q. om een BIBOB advies aan te vragen, aangezien dit per aanvraag kan verschillen en ook het zogenaamde onderbuikgevoel per aanvraag kan verschillen. Het is vooralsnog niet mogelijk vast te stellen welke indicatoren voldoende reden kunnen zijn om over te gaan tot een uitgebreide aanvraag c.q. een verzoek om een BIBOB advies in te dienen en blijft derhalve afhankelijk van het oordeel van de behandelend ambtenaar en het bevoegde gezag. Meerdere met “ja” ingevulde indicatoren kunnen aanleiding geven om een diepgaander onderzoek in te stellen. Voor alle duidelijkheid; de indicatoren kunnen ook gebruikt worden bij een intrekking van de vergunning.

Deze checklist is puur bedoeld voor intern gebruik en niet als document om als bewijslast te dienen. Een beslissing om over te gaan tot het laten indienen van een uitgebreide aanvraag of het indienen van een verzoek om een BIBOB advies, moet gemotiveerd middels een brief kenbaar worden gemaakt aan de aanvrager/vergunninghouder.

Indicatoren

Ja

Nee

1. Bedrijfsstructuur

Inrichting/organisatie

 
 

Onduidelijke, ondoorzichtige organisatiestructuur (info handelsregister Kamer van Koophandel)

 
 

Niet duidelijk wie eindverantwoordelijk is (leidinggevende)

 
 

Vermoeden dat onderneming infrastructuur biedt aan illegaal circuit of dekmantel is voor illegale activiteiten

 
 

Melding van schietpartijen, harddrugs, illegale prostitutie etc..

 
 

A-typische activiteiten vinden rondom de inrichting plaats

 
 

Heropening van het pand

 
 

Functiewijziging van het pand

 
 

Ongebruikelijke plaats om exploitatie te starten

 
 

Onduidelijk ondernemingsplan

 
 

 
 

Persoon/aanvrager

 
 

Leidinggevende is waarschijnlijk niet officiële leidinggevende (stroman)

 
 

Aanvrager is niet officiële leidinggevende

 
 

Wijziging in exploitant

 
 

Aanvrager/exploitant is vaak niet aanwezig

 
 

 
 

Overig

 
 

Gedwongen overname van inrichting (door bv. afpersing of wurgcontract)

 
 

Geen recent uittreksel Kamer van Koophandel

 
 

 
 

2. de Financiering

 
 

Inrichting

 
 

Onduidelijke financiering (nieuwe) inrichting pand

 
 

Huurder is bonafide maar huurt van een persoon met twijfelachtige integriteit

 
 

Zeer hoge waarborgsom vereist

 
 

Extreem hoge/lage huur

 
 

Eigenaar heeft veel panden in bezit

 
 

Onduidelijke financiering van de panden

 
 

 
 

Persoon/aanvrager

 
 

Uitkering sociale dienst

 
 

Verdachte financiering

 
 

Ongebruikelijke financieringsstructuur

 
 

Ongebruikelijke financier

 
 

Slechte exploitatie vorige zaak

 
 

Geen bedrijfsplan

 
 

 
 

Overig

 
 

A-typische betalingswijze

 
 

Onduidelijke financiering van de exploitatie

 
 

 
 

3. Omstandigheden in de persoon van de aanvrager

 
 

Persoon/aanvrager

 
 

Binnen de gemeente gebruikt de aanvrager het “lobbycircuit”

 
 

Problemen met identificatie

 
 

Exploitant/leidinggevende zelden aanwezig

 
 

a-typische personen vragen vergunning aan

 
 

Aanvrager heeft geen vakkennis

 
 

Antecedenten

 
 

Aanvrager wordt vergezeld door een lijfwacht of gecontroleerd door een branchevreemde adviseur

 
 

Aanvrager is bekend uit criminele circuit

 
 

Aanvrager is vaker een vergunning geweigerd

 
 

 
 

Overig

 
 

Formulieren onvolledig ingevuld

 
 

Verdacht woonadres

 
 

Aanvrager is een buitenlandse rechtspersoon

 
 

 
 

4. Algemeen geldende – en beleidsindicatoren

 
 

Inrichting ligt in:

 
 

Kwetsbare wijk, opeenstapeling van probleeminrichtingen

 
 

Aanvraag in aandachtsgebied

 
 

Er is sprake van:

 
 

Bedreiging behandelend ambtenaar

 
 

Valsheid in geschrifte bij aanvraag

 
 

Fraude (valse diploma’s, huurcontracten)

 
 

Steekpenningen ambtenaar

 
 

Behandelend ambtenaar voelt zich bedreigd

 
 

 
 

5. Mogelijke samengestelde indicatoren voor BIBOB aanvraag

 
 

Bijstandsuitkering en geen bankgarantie voor investering

 
 

Bijstandsuitkering en geen bedrijfsplan

 
 

Onduidelijke financiering en extreem hoge of lage huur

 
 

Slechte beheersing Nederlandse taal en identificatieprobleem

 
 

Geen bedrijfsplan en a-typische aanvraag

 
 

Bijlage 3

Verkorte vragenformulier

op grond van artikel 30 van de Wet BIBOB horende bij de aanvraag om vergunning artikel 3 Drank- en horecawet (drank- en horecavergunning)

Toelichting bij dit formulier

Wat betekent BIBOB en wat is het doel van deze wet?

BIBOB staat voor Bevordering Integriteitsbeoordelingen door het Openbaar Bestuur. De Wet BIBOB verruimt de mogelijkheden van bestuursorganen om zich te beschermen tegen het risico dat ze criminele activiteiten faciliteren. Dit is nodig omdat criminelen c.q. criminele organisaties in sommige gevallen afhankelijk zijn van bestuurlijke beslissingen voor de continuering en/of afscherming van criminele activiteiten.

Waar bestaan de nieuwe bevoegdheden voor bestuursorganen uit?

Artikel 3 van de Wet BIBOB stelt bestuursorganen in staat om een vergunning of subsidie te weigeren of in te trekken wanneer er ernstig gevaar bestaat dat de beschikking mede gebruikt zal worden voor:

  • a.)

    het benutten van voordelen uit strafbare feiten;

  • b.)

    het plegen van strafbare feiten of wanneer een redelijk vermoeden bestaat dat ter verkrijging van de aangevraagde dan wel afgegeven beschikking een strafbaar feit is gepleegd.

Waarom dit formulier?

Om te kunnen beoordelen of er daadwerkelijk sprake is van bovenstaand gevaar, heeft het college van burgemeester en wethouders en voor zover van toepassing de burgemeester in de gemeente BIBOB-beleid vastgesteld. In dit beleid is onder andere vastgelegd dat bij aanvragen om een vergunning in het kader van de Drank- en horecawet aan de aanvrager een aantal vragen worden gesteld die de gemeente in staat stelt de aanvraag te toetsen in het kader van de Wet BIBOB.

Dit formulier is bedoeld om een eerste beoordeling in het kader van de Wet BIBOB te kunnen maken. Om deze beoordeling te kunnen maken dient u het vragenformulier volledig en voorzien van alle bijlagen bij de gemeente in te leveren.

De procedure

Nadat u het vragenformulier met alle noodzakelijke bijlagen heeft ingevuld en ingeleverd, bekijken wij of we voldoende informatie hebben verzameld om zelf te kunnen beoordelen of er al dan niet sprake is van een situatie zoals omschreven in artikel 3 van de Wet BIBOB. Wanneer uit het eigen onderzoek blijkt dat er onduidelijkheden blijven bestaan over de integriteit van u als aanvrager of uw zakelijke relaties, kunnen er aanvullende vragen aan u worden gesteld.

Indien ook na deze aanvullende vragen onduidelijkheden blijven bestaan, kunnen wij advies inwinnen bij het Landelijk Bureau BIBOB. Het Landelijk Bureau BIBOB zal verder onderzoek verrichten door middel van het systematisch bevragen van informatiebronnen (Kamer van Koophandel, Kadaster, politiële en justitiële bronnen, Belastingdienst, etc), waarna het Bureau een gemotiveerd advies zal uitbrengen aan ons. Alvorens wij een aanvraag om advies indienen bij het Landelijk Bureau BIBOB wordt u hiervan in kennis gesteld.

Indien wij op basis van het BIBOB-advies van plan zijn om uw vergunning te weigeren of in te trekken, dan zijn wij verplicht om u hier vooraf over te informeren en u te vragen uw zienswijze hierover te geven.

NB:Een onvolledig ingeleverd aanvraagformulier en/of een weigering gegevens te verstrekken kan leiden tot het buiten behandeling laten van de aanvraag, dan wel het weigeren of intrekken van de vergunning (artikel 4 Wet BIBOB). Het bewust verschaffen van onjuiste informatie is strafbaar in de zin van art. 225 Wetboek van Strafrecht (valsheid in geschrifte) en kan leiden tot weigering dan wel intrekking van de vergunning (artikel 3 lid 6 Wet BIBOB).

1 Gegevens aanvrager/onderneming

Achternaam: ________________________________________

Voorna(a)m(en): _____________________________________

Geboortedatum: _____ / ________ / 19 ________

Geboorteplaats: _____________________________________

Straat + huisnr.: ____________________________________

Postcode: _________________________________________

Plaatsnaam: ________________________________________

Telefoonnr.: ________________________________________

Fax: ______________________________________________

E-mail: ____________________________________________

Burgerservicenr.: ____________________________________

Naam van de onderneming: ____________________________

Handelsnaam: _______________________________________

Statutaire vestigingsplaats: ____________________________

(is vermeld in de akte van oprichting)

Straat + huisnr.: _____________________________________

Postcode: __________________________________________

Plaatsnaam: ________________________________________

Telefoonnr.: ________________________________________

Fax: ______________________________________________

KvK-nr.: ___________________________________________

In deze kolom zijn de bijlagen vermeld die bijgevoegd moeten worden.

U vindt deze op het bijlagenvel.

2 Het pand waarop deze vergunning van toepassing is

Wordt het pand waarin de onderneming wordt gevestigd gehuurd?

  • Ja ➔ Voeg bij deze vraag de in bijlage 2a genoemde documenten toe:

  • Nee ➔ Is het pand waarin de onderneming wordt / is gevestigd in eigendom van aanvrager-/vergunninghouder?

    • Ja ➔ Wat was het aankoopbedrag van het pand?

      € ____________________________

      Hoe heeft u dit toen gefinancierd?

      ______________________________________________________________

      ______________________________________________________________

      Voeg nu de documenten genoemd in Bijlage 2b genummerd toe

    • Nee ➔ beantwoord nu volgende vragen:

      U heeft aangegeven dat u het pand niet in eigendom heeft / huurt:

      Wie is dan de eigenaar van het pand?

      ______________________________________________________________

      ______________________________________________________________

      Wat voor een overeenkomst is er gesloten met betrekking tot het exploiteren van het pand?

      ______________________________________________________________

      ______________________________________________________________

      Voeg nu de documenten genoemd in Bijlage 2c genummerd toe.

Ga naar

Bijlage 2a

▶ Bijlage 2b

Bijlage 2c

3 Bent u in de laatste drie jaren voorafgaand aan de ondertekening van dit formulier in loondienst werkzaam geweest:

  • Ja ➔ Voeg nu bijlage 3a genummerd toe:

  • Nee ➔ op welke wijze heeft de aanvrager / vergunninghouder in zijn/haar levenonderhoud voorzien?

    • als zelfstandig ondernemer

    • via een uitkering, namelijk: _______________________________________________________

    • anders, namelijk:

      _____________________________________________________________________________

Ga naar

Bijlage 3a

4 Wijze van financiering

Geef aan hoe de onderneming waarvoor de vergunning wordt aangevraagd is of wordt gefinancierd.

Meerdere keuzes mogelijk.

  • Door middel van een geldlening/krediet, aangegaan bij een (bank)instelling of een particulier:

    Voeg nu de in bijlage 4a genoemde documenten genummerd toe

  • Door middel van eigen vermogen:

    Geef aan hoe dit eigen vermogen de vijf jaar voorafgaand aan de financiering is opgebouwd:

    ________________________________________________________________________

    ________________________________________________________________________

    ________________________________________________________________________

    En/ of door middel van eigen vermogen verkregen middels een erfenis of schenking?

    Ondernemingsplan

    Heeft u voor de start van uw onderneming een ondernemingsplan/ bedrijfsplan opgesteld?

  • Nee waarom niet

    ________________________________________________________________________

  • Ja

    Voeg nu de in bijlage 4b genoemde documenten genummerd toe

  • Anders:

    Geef aan hoe de onderneming gefinancierd is of wordt:

    ________________________________________________________________________

    ________________________________________________________________________

    ________________________________________________________________________

    Voeg nu de in bijlage 4c genoemde documenten genummerd toe

Ga naar

Bijlage 4a

Bijlage 4b

Bijlage 4c

5 Verklaring/ ondertekening

De ondergetekende(n) verklaren:

  • in hun hoedanigheid van aanvrager/ bestuurders van de onderneming dan wel degene (adviseur/gemachtigde) die dit formulier namens de onderneming heeft ingevuld, dat dit formulier naar waarheid is ingevuld;

  • dit op instructie van de bestuurders en namens de onderneming te hebben gedaan;

  • dat zij weten volledig verantwoordelijk te zijn voor de inhoud van de gegeven antwoorden.

Datum: _______________________________________________ Plaats: ________________________________________________

Handtekening(en), namen en hoedanigheid van de bestuurders van de onderneming:

Naam: ______________________________________________ Naam: _______________________________________________

Hoedanigheid: ________________________________________ Hoedanigheid: _________________________________________

Bijlagenvel bij het Verkorte vragenformulier op grond van artikel 30 van de Wet BIBOB

Invulinstructie

Dit is het bijlagenformulier dat onderdeel uit maakt van het Verkorte BIBOB-vragenformulier op grond van artikel 30 van de Wet BIBOB. In het Verkorte BIBOB-vragenformulier wordt verwezen naar deze bijlagen.

Deze bijlagen moeten inclusief documenten worden teruggezonden. Een onvolledig ingeleverd aanvraagformulier met bijlagen en/of een weigering gegevens te verstrekken kan leiden tot het buiten behandeling laten van de aanvraag, dan wel het weigeren of intrekken van de vergunning (artikel 4 Wet BIBOB). 

  • *

    vink de controlekolom af na uw controle op de compleetheid van de gevraagde gegevens en documenten, die u moet retourneren.

Vraag 2

Bijlage 2a

Voeg de volgende documenten toe:

  • een kopie van het huurcontact van de pandeigenaar of pachtovereenkomst;

  • in geval van (een) onderverhuurcontract(en), een verklaring van de pandeigenaar waaruit blijkt dat hij hiervan op de hoogte is.

Check*

Bijlage 2b

  • Voeg een kopie toe van de eindafrekening notaris inzake de aankoop van het pand.

Check*

Bijlage 2c

  • Voeg een kopie toe van de overeenkomst met betrekking tot het exploiteren van het pand (bv. indeplaatsstelling, koopovereenkomst goodwill en inventaris, e.d.).

Check*

Vraag 3

Bijlage 3a

Vul hieronder de opgave voorgaande werkgevers en loondienstverhoudingen in.

1. Van: ________________ (dag-maand-jaar) tot: ______________ (dag-maand-jaar)

Naam bedrijf: ____________________________________________

Adres: _________________________________________________

Postcode: ______________________ Plaats: __________________________

In welke functie was u bij deze onderneming betrokken?

  • Bedrijfsleider

  • Als bestuurder

  • Als houder van 5% of meer van de aandelen

  • Als commissaris

  • Als ge(vol)machtigde

  • Als prouratiehouder

  • Als beheerder

Anders, namelijk ________________________________________________

2. Van: _____________ (dag-maand-jaar) tot: ________________ (dag-maand-jaar)

Naam bedrijf: __________________________________________

Adres: _______________________________________________

Postcode: _____________________ Plaats: _________________________

In welke functie was u bij deze onderneming betrokken?

  • Bedrijfsleider

  • Als bestuurder

  • Als houder van 5% of meer van de aandelen

  • Als commissaris

  • Als ge(vol)machtigde

  • Als procuratiehouder

  • Als beheerder

Anders, namelijk _________________________________________

Check*

Compleet

Compleet

Vraag 4

Bijlage 4a

Voeg de volgende documenten toe:

  • een overzicht van de instelling(en) en particulier(en), waarbij u het geleende bedrag in Euro’s aangeeft;

  • per zakelijke financier (bijvoorbeeld een bankinstelling) een ondertekende en gewaarmerkte financieringsovereenkomst van de bank of notaris;

  • per particuliere financier (bijvoorbeeld familie) een onderhands contract met de financier (origineel tonen);

  • Ten aanzien van deze financiering kopieën van bankafschriften waaruit blijkt dat de bedragen zijn overgemaakt of zijn gestort op uw bankrekening;

Check*

Bijlage 4b

Voeg de volgende documenten toe (tenzij deze al bij een vorige vraag zijn toegevoegd):

  • een kopie van het ondernemingsplan;

  • een kopie van de beginbalans;

  • een kopie van een tussenbalans of de kwartaalcijfers;

  • een kopie van de exploitatiebegroting van de onderneming.

Bij schenking

  • Voeg een kopie van door een notaris gewaarmerkte boedelverdeling of schenkingsakte, dan wel een gelijkwaardig document toe, afgegeven door een gerechtelijke- of overheidsinstantie van het land van herkomst.

Check*

Bijlage 4c

  • Voeg bewijsstukken toe waaruit blijkt hoe de inrichting gefinancierd is of wordt.

  • kopieën van bankafschriften waaruit blijkt dat de bedragen zijn overgemaakt of zijn gestort op uw bankrekening.

  • *

    vink de controlekolom af na uw controle op de compleetheid van de gevraagde gegevens en documenten, die u moet retourneren.

Bijlage 4

Uitgebreide vragenformulier

op grond van artikel 30 van de Wet BIBOB horende bij de aanvraag om vergunning artikel 3 Drank- en horecawet (drank- en horecavergunning)

Toelichting bij dit formulier

Wat betekent BIBOB en wat is het doel van deze wet?

BIBOB staat voor Bevordering Integriteitsbeoordelingen door het Openbaar Bestuur. De Wet BIBOB verruimt de mogelijkheden van bestuursorganen om zich te beschermen tegen het risico dat ze criminele activiteiten faciliteren. Dit is nodig omdat criminelen c.q. criminele organisaties in sommige gevallen afhankelijk zijn van bestuurlijke beslissingen voor de continuering en/of afscherming van criminele activiteiten.

Waar bestaan de nieuwe bevoegdheden voor bestuursorganen uit?

Artikel 3 van de Wet BIBOB stelt bestuursorganen in staat om een vergunning of subsidie te weigeren of in te trekken wanneer er ernstig gevaar bestaat dat de beschikking mede gebruikt zal worden voor:

  • a.)

    het benutten van voordelen uit strafbare feiten;

  • b.)

    het plegen van strafbare feiten of wanneer een redelijk vermoeden bestaat dat ter verkrijging van de aangevraagde dan wel afgegeven beschikking een strafbaar feit is gepleegd.

Waarom dit formulier?

Om te kunnen beoordelen of er daadwerkelijk sprake is van bovenstaand gevaar, heeft het college van burgemeester en wethouders en voor zover van toepassing de burgemeester in de gemeente BIBOB-beleid vastgesteld. In dit beleid is onder andere vastgelegd dat bij aanvragen om een vergunning in het kader van de Drank- en horecawet aan de aanvrager een aantal vragen worden gesteld die de gemeente in staat stelt de aanvraag te toetsen in het kader van de Wet BIBOB.

Dit formulier is bedoeld om een eerste beoordeling in het kader van de Wet BIBOB te kunnen maken. Om deze beoordeling te kunnen maken dient u het vragenformulier volledig en voorzien van alle bijlagen bij de gemeente in te leveren.

De procedure

Nadat u het vragenformulier met alle noodzakelijke bijlagen heeft ingevuld en ingeleverd, bekijken wij of we voldoende informatie hebben verzameld om zelf te kunnen beoordelen of er al dan niet sprake is van een situatie zoals omschreven in artikel 3 van de Wet BIBOB. Wanneer uit het eigen onderzoek blijkt dat er onduidelijkheden blijven bestaan over de integriteit van u als aanvrager of uw zakelijke relaties, kunnen er aanvullende vragen aan u worden gesteld.

Indien ook na deze aanvullende vragen onduidelijkheden blijven bestaan, kunnen wij advies inwinnen bij het Landelijk Bureau BIBOB. Het Landelijk Bureau BIBOB zal verder onderzoek verrichten door middel van het systematisch bevragen van informatiebronnen (Kamer van Koophandel, Kadaster, politiële en justitiële bronnen, Belastingdienst, etc), waarna het Bureau een gemotiveerd advies zal uitbrengen aan ons. Alvorens wij een aanvraag om advies indienen bij het Landelijk Bureau BIBOB wordt u hiervan in kennis gesteld.

Indien wij op basis van het BIBOB-advies van plan zijn om uw vergunning te weigeren of in te trekken, dan zijn wij verplicht om u hier vooraf over te informeren en u te vragen uw zienswijze hierover te geven.

NB:Een onvolledig ingeleverd aanvraagformulier en/of een weigering gegevens te verstrekken kan leiden tot het buiten behandeling laten van de aanvraag, dan wel het weigeren of intrekken van de vergunning (artikel 4 Wet BIBOB). Het bewust verschaffen van onjuiste informatie is strafbaar in de zin van art. 225 Wetboek van Strafrecht (valsheid in geschrifte) en kan leiden tot weigering dan wel intrekking van de vergunning (artikel 3 lid 6 Wet BIBOB).

1 De Vergunning

1A Deze vergunning (aanvraag) betreft (vakje aankruisen):

  • Vergunning artikel 3 Drank- en Horecawet

  • Exploitatievergunning t.b.v. horeca

  • Exploitatievergunning t.b.v. coffeeshop

  • Exploitatievergunning t.b.v. seksinrichting

  • Exploitatievergunning t.b.v. escortservice

  • Exploitatievergunning t.b.v. smart-, of growshop

  • Artikel 40 Woningwet (bouwvergunning)

  • Artikel 61a Woningwet (vervreemding onroerende zaken woningcorporaties)

  • Artikel 8.1 Wet milieubeheer

    • de (aangevraagde) vergunning betreft een gecoördineerde vergunning(aanvraag) met:

    • een bouwvergunning

    • een lozingsvergunning

    • niet van toepassing

  • Artikel 5 Wet goederenvervoer

  • Artikel 5 Wet personenvervoer 2000

  • Artikel 6 Opiumwet (opiumontheffingen)

  • Anders, namelijk: _________________________________________________________

In deze kolom zijn de bijlagen vermeld die bijgevoegd moeten worden.

U vindt deze op het bijlagenvel

1B De (aangevraagde) vergunning voor deze locatie is

  • een nieuwe vergunning, ga door naar vraag 1 d.

  • een verlenging van de bestaande vergunning, ga door naar vraag 1 d.

  • een wijziging of verandering van de bestaande vergunning

  • een overname van een bestaande vergunning

    (de onderneming wordt daarmee de nieuwe drijver van de inrichting), ga door naar vraag 1c.

  • Niet van toepassing (er is geen sprake van een vergunningaanvraag), ga door naar vraag 1d.

1C Deze vraag enkel beantwoorden indien er sprake is van overname van de vergunning!

Vul de gegevens betreffende de overgenomen vergunning in:

Vergunningnr.: ___________________________________

Verleend op d.d.: _________________________________

Naam vorige vergunninghouder: _______________________________

Voeg bij deze vraag de in bijlage 1a genoemde documenten toe.

Ga naar

Bijlage 1a

1D Het pandwaarop deze vergunning van toepassing is

Wordt het pand waarin de onderneming wordt gevestigd gehuurd?

  • Ja ➔ Voeg bij deze vraag de in bijlage 1b genoemde documenten toe:

  • Nee ➔ Is het pand waarin de onderneming wordt / is gevestigd in eigendom van aanvrager-/vergunninghouder?

    • Ja ➔ Wat was het aankoopbedrag van het pand?

      € _____________________

      Hoe heeft u dit toen gefinancierd?

      ______________________________________________________

      ______________________________________________________

      Voeg nu de documenten genoemd in Bijlage 1c genummerd toe

    • Nee ➔ beantwoord nu volgende vragen:

      U heeft aangegeven dat u het pand niet in eigendom heeft / huurt:

      Wie is dan de eigenaar van het pand?

      _______________________________________________________

      _______________________________________________________

      Wat voor een overeenkomst is er gesloten met betrekking tot het exploiteren van het pand?

      _______________________________________________________

      _______________________________________________________

      Voeg nu de documenten genoemd in Bijlage 1d genummerd toe.

Ga naar

Bijlage 1b

Bijlage 1c

Bijlage 1d

1EDeze vraag 1e enkel beantwoorden indien er sprake is van een bouwvergunning.

Bent u eigenaar van het perceel waarop gebouwd dan wel verbouwd gaat worden?

  • Nee ➔ wat is uw relatie met de eigenaar?

    _______________________________________________

    _______________________________________________

    Heeft u toestemming van de eigenaar?

    • Nee

    • Ja ➔ voeg nu bijlage 1e toe.

  • Ja ➔ Wat zijn de verwachte bouwkosten?

    € _______________________________

    Waar zijn deze kosten op gebaseerd?

    _____________________________________________________________

    _____________________________________________________________

Ga naar

Bijlage 1e

2 De onderneming

2A Onderneming waarvoor de vergunning wordt aangevraagd of is verleend

(hierna ‘de onderneming’)

Naam van de onderneming: _________________________________________________________

Handelsnaam: ___________________________________________________________________

Statutaire vestigingsplaats: _________________________________________________________

(is vermeld in de akte van oprichting)

Straat + huisnr.: _________________________________________________________________

Postcode: ______________________________ Plaatsnaam: ______________________________

Telefoonnr.: ____________________________ Fax: _____________________________________

E-mail: ________________________________ Burgerservicenr.: __________________________

KvK-nr.: _______________________________________________________________________

Contactpersoon: ________________________________________________________________

Tel. contactpers: _________________________________________________________________

2BBent u in de laatste drie jaren voorafgaand aan de ondertekening van dit formulier in loondienst werkzaam geweest:

  • Ja ➔ vul hieronder uw persoonlijke gegevens in:

    Achternaam: ___________________________________________________________

    Voorna(a)m(en): ________________________________________________________

    Geboortedatum: _______ / ________ 19 __________ Geboorteplaats: __________________________

    Straat + huisnr.: ____________________________________________________

    Postcode: ____________________ Plaatsnaam: _________________________________

    Telefoonnr.: _________________________ Fax: ________________________________

    E-mail: _________________________ Burgerservicenr.: ____________________________

  • Nee ➔ op welke wijze heeft de aanvrager / vergunninghouder in zijn/haar levenonderhoud voorzien?

    • als zelfstandig ondernemer

    • via een uitkering, namelijk: ____________________________

    • anders, namelijk: ___________________________________

      Voeg nu bijlage 2a genummerd toe:

Ga naar

▶ Bijlage 2a

2C Betreft u ondernemning een eenmanszaak?

  • Ja ➔ Voeg nu bijlage 2c genummerd toe:

  • Nee ➔ geef de ondernemingsvorm aan en vul de gegevens in:

    • Naamloze Vennootschap (NV)

    • Besloten Vennootschap (BV)

      Bij BV of NV, nr. verklaring van geen bezwaar verleend: ______________________

      (Dit gegeven is te vinden in de oprichtingsakte of de akte van statutenwijziging.)

    • Vennootschap Onder Firma (VOF)

    • Commanditaire Vennootschap (CV)

    • Rechtspersoon naar buitenlands recht

      Zoja, welk land? _______________________________

      Welke rechtsvorm? _____________________________

    • Stichting

    • Vereniging

    • Maatschap

    • Anders, namelijk: _______________________________

      Voeg nu bijlage 2b genummerd toe:

Ga naar

Bijlage 2c

▶ Bijlage 2b

2D Uw onderneming is een onderneming die:

  • langer bestaat dan 1 jaar

    Voeg nu bijlage 2d genummerd toe:

  • korter bestaat dan 1 jaar

    Voeg nu bijlage 2e genummerd toe:

  • in de afgelopen 12 maanden is gewijzigd van ondernemingsvorm of statuten

    Voeg nu bijlage 2f genummerd toe:

Ga naar

Bijlage 2d

Bijlage 2e

Bijlage 2f

3Bestuur en zeggenschap

Geef aan welke natuurlijke- en rechtspersonen in de vijf jaar voorafgaand aan de ondertekening van dit formulier betrokken zijn (geweest) bij de onderneming, in één of meerdere van de volgende hoedanigheden

  • Financier

  • Bestuurder

  • Gevolmachtigde

  • Vermogensbeheerder

  • Commissaris

  • Procuratiehouder

  • Beheerder

  • Houder van 5% of meer van de aandelen van de rechtspersoon

  • Een andere hoedanigheid die leiding/zeggenschap/toezicht mogelijk maakt(e).

Geef dit aan in bijlage 3

Ga naar

Bijlage 3

4 Betrokkenheid bij andere ondernemingen

Is de onderneming en/of ondernemer(s) in de afgelopen vijf jaar als bestuurder, aandeelhouder, maat of (stille) vennoot betrokken (geweest) bij andere onderneming(en),* zoals een NV, BV, CV, VOF, Stichting, rederij, maatschap of een rechtspersoon naar buitenlands recht?

* Bijvoorbeeld als eigenaar / bestuurder / commissaris / (commanditaire en/of stille) vennoot /gevolmachtigde / beheerder / houder van 5% of meer van de aandelen van de rechtspersoon.

  • Nee ➔ ga naar vraag 5

  • Ja, de ondernemer(s) en/of onderneming zijn/is betrokken (geweest) bij andere ondernemingen:

Geef aan bij welke ondernemingen men betrokken is (geweest) en in welke hoedanigheid in bijlage 4 en voeg ook de daar gevraagde documenten genummerd toe.

Ga naar

Bijlage 4

5 Situatie van de onderneming

Heeft de onderneming of één of meerdere van de onder vraag 3 vermelde ondernemer(s) en/of onderneming(en) opeisbare schulden aan de Belastingdienst? Twee keer onderneming genoemd.

  • Nee ga naar vraag 6

  • Ja, wat voor schulden?

    • omzetbelasting

    • vennootschapsbelasting

    • inkomstenbelasting

    • anders:

      ________________________________________________________________________

      ________________________________________________________________________

      ________________________________________________________________________

Voeg nu de in bijlage 5 genoemde documenten genummerd toe

Ga naar

▶ Bijlage 5

6 Wijze van financiering

Geef aan hoe de onderneming waarvoor de vergunning wordt aangevraagd is of wordt gefinancierd.

Meerdere keuzes mogelijk.

  • Door middel van een geldlening/krediet,aangegaan bij een (bank)instelling of een particulier:

    Voeg nu de in bijlage 6a genoemde documenten genummerd toe

  • Door middel van eigen vermogen:

    Geef aan hoe dit eigen vermogen de vijf jaar voorafgaand aan de financiering is opgebouwd:

    ___________________________________________________________________________

    ___________________________________________________________________________

    ___________________________________________________________________________

    Voeg nu de in bijlage 6b genoemde documenten genummerd toe

  • Door middel van eigen vermogen verkregen middels een erfenis of schenking:

    Voeg nu de in bijlage 6c genoemde documenten genummerd toe

  • Anders:

    Geef aan hoe de onderneming gefinancierd is of wordt:

    ___________________________________________________________________________

    ___________________________________________________________________________

    ___________________________________________________________________________

    Voeg nu de in bijlage 6d genoemde documenten genummerd toe

Ga naar

▶ Bijlage 6a

▶ Bijlage 6b

▶ Bijlage 6c

Bijlage 6d

7 Eerder aangevraagde en/of verleende vergunningen

7A Hebben de ondernemer(s) en/of onderneming(en) binnen de afgelopen vijf jaar beschikt over een vergunning of een vergunning aangevraagd in het kader van:

  • a)

    Vergunning artikel 3 Drank- en Horecawet

  • b)

    Exploitatievergunning t.b.v. horeca

  • c)

    Exploitatievergunning t.b.v. coffeeshop

  • d)

    Exploitatievergunning t.b.v. seksinrichting

  • e)

    Exploitatievergunning t.b.v. escortservice

  • f)

    Exploitatievergunning t.b.v. smart-, of growshop

  • g)

    Artikel 40 Woningwet (bouwvergunning)

  • h)

    Artikel 61a Woningwet (vervreemding onroerende zaken woningcorporaties)

  • i)

    Artikel 8.1 Wet milieubeheer

  • j)

    Artikel 5 Wet goederenvervoer

  • k)

    Artikel 5 Wet personenvervoer 2000

  • l)

    Artikel 6 Opiumwet (opiumontheffingen)

  • m)

    Anders, namelijk: _______________________________________________

  • Nee ➔ ga naar vraag 8

  • Ja, voeg nu de in bijlage 7a genoemde documenten genummerd toe

Ga naar

▶ Bijlage 7a

7B Heeft de onderneming en/of ondernemer(s) met betrekking tot een (of meerdere) van de vergunning(en) zoals hierboven vermeld in de laatste vijf jaar voorafgaand aan de datum van ondertekening van dit formulier te maken gehad met één of meer van de volgende situaties? 

  • 1)

    Weigering van de vergunning

  • 2)

    Intrekking van de vergunning

  • 3)

    Verstrekking onder voorwaarden

  • 4)

    Aanvraag, die nog in behandeling is

  • 5)

    Oplegging van een bestuurlijke boete

  • 6)

    Toepassing van bestuursdwang/last onder dwangsom

  • 7)

    Buiten behandeling stelling en/of intrekking van een aangevraagde vergunnin

  • Nee ga naar vraag 8

  • Ja, voeg nu de in bijlage 7b genoemde documenten genummerd toe

Ga naar

Bijlage 7b

8 Strafrechtelijke onderzoeken en vervolging

Zijn de ondernemer(s) en/of onderneming(en) – genoemd bij de vragen 1 en 3 moet je deze verwijzing dan ook niet maken bij de rest van de vragen – de afgelopen vijfjaar veroordeeld, een schikking (transactie) aangegaan met het Openbaar Ministerie of anderszins in negatieve zin in aanraking geweest met Politie en/of Justitie?

  • Nee ➔ ga naar vraag 9

  • Ja, vul de gegevens op bijlage 8 in

Ga naar

▶ Bijlage 8

9. Verklaring

De ondergetekenden verklaren:

  • in hun hoedanigheid van bestuurders van de onderneming dan wel degene (adviseur/gemachtigde) die dit formulier namens de onderneming heeft ingevuld, dat dit formulier naar waarheid is ingevuld;

  • dit op instructie van de bestuurders en namens de onderneming te hebben gedaan;

  • dat zij weten volledig verantwoordelijk te zijn voor de inhoud van de gegeven antwoorden.

Datum: __________________________________ Plaats: __________________________________

Handtekening(en), namen en hoedanigheid van de bestuurders van de onderneming:

Naam: __________________________________ Naam: __________________________________

Hoedanigheid: ____________________________ Hoedanigheid: ____________________________

Handtekening: ____________________________ Handtekening: ____________________________

Naam: __________________________________ Naam: __________________________________

Hoedanigheid: ____________________________ Hoedanigheid: ____________________________

Handtekening: ____________________________ Handtekening: ____________________________

Bijlagenvel bij het Uitgebreide vragenformulier op grond van artikel 30 van de Wet Bibob

Invulinstructie

Dit is het bijlagenformulier dat onderdeel uit maakt van het algemene BIBOB-vragenformulier op grond van artikel 30 van de Wet BIBOB. In het algemene BIBOB-vragenformulier wordt verwezen naar deze bijlagen.

Deze bijlagen moeten inclusief documenten worden teruggezonden. Een onvolledig ingeleverd aanvraagformulier met bijlagen en/of een weigering gegevens te verstrekken kan leiden tot het buiten behandeling laten van de aanvraag, dan wel het weigeren of intrekken van de vergunning (artikel 4 Wet BIBOB). 

  • *

    vink de controlekolom af na uw controle op de compleetheid van de gevraagde gegevens en documenten, die u moet retourneren.

Vraag 1

Bijlage 1a

Voeg de volgende documenten toe:

  • een kopie van de koopovereenkomst;

  • kopieën balansen en winst- en verliesrekeningen (jaarrekeningen) van de afgelopen 3 jaar van de vorige onderneming of ondernemer overleggen;

  • een kopie van het ondernemingsplan;

  • een kopie van de beginbalans;

  • een kopie van de exploitatiebegroting van de onderneming;

  • een kopie van de melding ex art 8.20 lid 2 Wm (alleen van toepassing bij aanvraag vergunning art. 8.1 Wet Milieubeheer).

Check*

Bijlage 1b

Voeg de volgende documenten toe:

  • een kopie van het huurcontact van de pandeigenaar of pachtovereenkomst;

  • in geval van (een) onderverhuurcontract(en), een verklaring van de pandeigenaar waaruit blijkt dat hij hiervan op de hoogte is.

Check*

Bijlage 1c

  • Voeg een kopie toe van de eindafrekening notaris inzake de aankoop van het pand.

Check*

Bijlage 1d

  • Voeg een kopie toe van de overeenkomst met betrekking tot het exploiteren van het pand (bv een in deplaatsstelling, koopovereenkomst goodwill en inventaris, e.d.).

Check*

Bijlage 1e

  • Voeg een schriftelijke verklaring toe waaruit de toestemming van de eigenaar blijkt.

Check*

Vraag 2

Bijlage 2a

Voeg de volgende documenten toe:

  • een kopie van een geldige identiteitskaart, paspoort, rijbewijs of verblijfsvergunning;

  • een origineel uittreksel uit de Gemeentelijke Basisadministratie (GBA), niet ouder dan 6 maanden.

Check*

Bijlage 2b

Voeg de volgende documenten toe:

  • een overzicht met personalia van de (stille) vennoten, maten of bestuurders;

  • per genoemde persoon een kopie van een geldige identiteitskaart, paspoort, rijbewijs of verblijfsvergunning;

  • per genoemde natuurlijke persoon een origineel uittreksel uit de Gemeentelijke Basisadministratie (GBA), niet ouder dan 6 maanden;

  • een kopie van de oprichtingsakte van de onderneming;

  • een kopie van de vennootschapsakte van de onderneming;

  • een kopie van de statuten van de onderneming;

  • bij een registratie van de onderneming bij een buitenlandse Kamer van Koophandel een uittreksel uit de desbetreffende buitenlandse Kamer van Koophandel, niet ouder dan 6 maanden.

Check*

Bijlage 2c

Vul hieronder de opgave voorgaande werkgevers en loondienstverhoudingen in.

1. Van: __________ (dag-maand-jaar) tot: _________________ (dag-maand-jaar)

Naam bedrijf: ___________________________________________________

Adres: ________________________________________________________

Postcode: _______________________ Plaats: ____________________________

In welke functie was u bij deze onderneming betrokken?

  • Bedrijfsleider

  • Als bestuurder

  • Als houder van 5% of meer van de aandelen

  • Als commissaris

  • Als ge(vol)machtigde

  • Als procuratiehouder

  • Als beheerder

    Anders, namelijk ___________________________________________________

2. Van: ___________ (dag-maand-jaar) tot: _________________ (dag-maand-jaar)

Naam bedrijf: ___________________________________________________

Adres: ________________________________________________________

Postcode: ____________________ Plaats: ___________________________

In welke functie was u bij deze onderneming betrokken?

  • Bedrijfsleider

  • Als bestuurder

  • Als houder van 5% of meer van de aandelen

  • Als commissaris

  • Als ge(vol)machtigde

  • Als procuratiehouder

  • Als beheerder

    Anders, namelijk: _____________________________________________

3. Van: ______________ (dag-maand-jaar) tot: ______________________ (dag-maand-jaar)

Naam bedrijf: _______________________________________________

Adres: ______________________________________________________

Postcode: _________________________ Plaats: _______________________________________

In welke functie was u bij deze onderneming betrokken?

  • Bedrijfsleider

  • Als bestuurder

  • Als houder van 5% of meer van de aandelen

  • Als commissaris

  • Als ge(vol)machtigde

  • Als procuratiehouder

  • Als beheerder

    Anders, namelijk: ______________________________________________

4. Van: _______________ (dag-maand-jaar) tot: ________________ (dag-maand-jaar)

Naam bedrijf: ______________________________

Adres: ____________________________________

Postcode: ____________________ Plaats: ________________________

In welke functie was u bij deze onderneming betrokken?

  • Bedrijfsleider

  • Als bestuurder

  • Als houder van 5% of meer van de aandelen

  • Als commissaris

  • Als ge(vol)machtigde

  • Als procuratiehouder

  • Als beheerder

    Anders, namelijk: ______________________________________________

Check*

Compleet

Compleet

Compleet

Compleet

Bijlage 2d

  • Voeg kopieën balansen en winst- en verliesrekeningen (jaarrekeningen) van de afgelopen drie jaar toe.

Check*

Bijlage 2e

Voeg de volgende documenten toe (tenzij deze al bij een vorige vraag zijn toegevoegd):

  • een kopie van het ondernemingsplan;

  • een kopie van de beginbalans;

  • een kopie van een tussenbalans of de kwartaalcijfers;

  • een kopie van de exploitatiebegroting van de onderneming.

Check*

Bijlage 2f

Voeg de volgende documenten toe (tenzij deze al bij een vorige vraag zijn toegevoegd):

  • een kopie van de statutenwijzigingen of een kopie van de oprichtingsakte (afhankelijk van de situatie);

  • kopieën van balansen en winst- en verliesrekeningen (jaarrekeningen) van de afgelopen drie jaar van de vorige onderneming;

  • een kopie van de beginbalans van de nieuwe onderneming;

  • een kopie van de exploitatiebegroting van de nieuwe onderneming;

  • een verklaring van geen bezwaar voor omzetting en akkoordverklaring (art. 2:183BW)

Check*

Vraag 3

Bijlage 3

Geef hieronder aan op welke (rechts)personen in welke hoedanigheid betrokken zijn (waren) bij de onderneming of zeggenschap hebben (hadden) in de onderneming in de afgelopen vijf jaar.

Rechtspersonen

Statutaire naam: _________________________________________________________

Vestingadres: ___________________________________________________________

In welke hoedanigheid? ___________________________________________________

Statutaire naam: _________________________________________________________

Vestingadres: ___________________________________________________________

In welke hoedanigheid? ___________________________________________________

Statutaire naam: _________________________________________________________

Vestingadres: ___________________________________________________________

In welke hoedanigheid? ___________________________________________________

Statutaire naam: _________________________________________________________

Vestingadres: ___________________________________________________________

In welke hoedanigheid? ___________________________________________________

Statutaire naam: _________________________________________________________

Vestingadres: ___________________________________________________________

In welke hoedanigheid? ___________________________________________________

Statutaire naam: _________________________________________________________

Vestingadres: ___________________________________________________________

In welke hoedanigheid? ___________________________________________________

Natuurlijke personen

Achternaam: ____________________________________________________________

Voornaam(en): __________________________________________________________

Geboortedatum: ____ / ____/ 19 _____ Geboorteplaats: ________________________

Straat + huisnr.: __________________________________________________________

Postcode: _____________________ Woonplaats: ___________________________

Telefoonnr.: ___________________ Burgerservicenr.:_______________________

Hoedanigheid / Functie: ___________________________________________________

Periode betrokkenheid : van: ______________________ tot: ______________________

Achternaam: ____________________________________________________________

Voornaam(en): __________________________________________________________

Geboortedatum: ____ / ____/ 19 _____ Geboorteplaats: ________________________

Straat + huisnr.: __________________________________________________________

Postcode: _____________________ Woonplaats: ___________________________

Telefoonnr.: ___________________ Burgerservicenr.:_______________________

Hoedanigheid / Functie: ___________________________________________________

Periode betrokkenheid : van: ______________________ tot: ______________________

Achternaam: ____________________________________________________________

Voornaam(en): __________________________________________________________

Geboortedatum: ____ / ____/ 19 _____ Geboorteplaats: ________________________

Straat + huisnr.: __________________________________________________________

Postcode: _____________________ Woonplaats: ___________________________

Telefoonnr.: ___________________ Burgerservicenr.:_______________________

Hoedanigheid / Functie: ___________________________________________________

Periode betrokkenheid : van: ______________________ tot: ______________________

Achternaam: ____________________________________________________________

Voornaam(en): __________________________________________________________

Geboortedatum: ____ / ____/ 19 _____ Geboorteplaats: ________________________

Straat + huisnr.: __________________________________________________________

Postcode: _____________________ Woonplaats: ___________________________

Telefoonnr.: ___________________ Burgerservicenr.:_______________________

Hoedanigheid / Functie: ___________________________________________________

Periode betrokkenheid : van: ______________________ tot: ______________________

Achternaam: ____________________________________________________________

Voornaam(en): __________________________________________________________

Geboortedatum: ____ / ____/ 19 _____ Geboorteplaats: ________________________

Straat + huisnr.: __________________________________________________________

Postcode: _____________________ Woonplaats: ___________________________

Telefoonnr.: ___________________ Burgerservicenr.:_______________________

Hoedanigheid / Functie: ___________________________________________________

Periode betrokkenheid : van: ______________________ tot: ______________________

Check*

Compleet

Compleet

Compleet

Compleet

Compleet

Compleet

Compleet

Compleet

Compleet

Compleet

Compleet

Vraag 4

Bijlage 4

Let op: de hieronder aangegeven documenten hebben betrekking op betrokkenheid in de afgelopen vijf jaar bij andere ondernemingen.

Geef aan bij welke ondernemingen en in welke hoedanigheid de onderneming en/of de ondernemers betrokken zijn (geweest).

Naam van de onderneming: ________________________________________________

Registratienummer Kamer van Koophandel: ___________________________________

Vestigingsadres: _________________________________________________________

In welke hoedanigheid: ____________________________________________________

Naam van de onderneming: ________________________________________________

Registratienummer Kamer van Koophandel: ___________________________________

Vestigingsadres: _________________________________________________________

In welke hoedanigheid: ____________________________________________________

Naam van de onderneming: ________________________________________________

Registratienummer Kamer van Koophandel: ___________________________________

Vestigingsadres: _________________________________________________________

In welke hoedanigheid: ____________________________________________________

Naam van de onderneming: ________________________________________________

Registratienummer Kamer van Koophandel: ___________________________________

Vestigingsadres: _________________________________________________________

In welke hoedanigheid: ____________________________________________________

Naam van de onderneming: ________________________________________________

Registratienummer Kamer van Koophandel: ___________________________________

Vestigingsadres: _________________________________________________________

In welke hoedanigheid: ____________________________________________________

Voeg de volgende documenten toe (tenzij deze al bij een vorige vraag zijn toegevoegd):

  • kopieën van vennootschapsaktes van de onderneming (indien van toepassing);

  • kopieën van de statuten van de onderneming (indien van toepassing);

  • kopieën van het aandelenregister (indien van toepassing);

  • bij een registratie van de onderneming bij een buitenlandse Kamer van Koophandel een uittreksel uit de desbetreffende buitenlandse Kamer van Koophandel, niet ouder dan 6 maanden.

Check*

Compleet

Compleet

Compleet

Compleet

Compleet

Vraag 5

Bijlage 5

  • Voeg een kopie van de desbetreffende belastingaanslag(en) toe.

Check*

Vraag 6

Bijlage 6a 

Voeg de volgende documenten toe:

  • een overzicht van de instelling(en) en particulier(en), waarbij u het geleende bedrag in Euro’s aangeeft;

  • per zakelijke financier (bijvoorbeeld een bankinstelling) een ondertekende en gewaarmerkte financieringsovereenkomst van de bank of notaris;

  • per particuliere financier (bijvoorbeeld familie) een onderhands contract met de financier (origineel tonen);

  • Ten aanzien van deze financiering kopieën van bankafschriften waaruit blijkt dat de bedragen zijn overgemaakt of zijn gestort op uw bankrekening.

Check*

Bijlage 6b 

Voeg de volgende documenten toe (tenzij deze al bij een vorige vraag zijn toegevoegd):

  • Een kopie van het ondernemingsplan;

  • kopieën balansen en winst- en verliesrekeningen (jaarrekeningen) van de afgelopen drie jaar;

  • bij rechtspersonen kopieën belastingaangiften of belastingaanslagen vennootschapsbelasting en omzetbelasting over de laatste drie kalenderjaren

  • en bij andere ondernemingsvormen kopieën belastingaangiften/aanslagen inkomstenbelasting en omzetbelasting over de laatste drie kalenderjaren.

  • Kopieën van bankafschriften waaruit blijkt dat de bedragen zijn overgemaakt of zijn gestort op uw bankrekening.

Check*

Bijlage 6c

  • Voeg een kopie van door een notaris gewaarmerkte boedelverdeling of schenkingsakte, dan wel een gelijkwaardig document toe, afgegeven door een gerechtelijke- of overheidsinstantie van het land van herkomst.

Check*

Bijlage 6d

  • Voeg bewijsstukken toe waaruit blijkt hoe de inrichting gefinancierd is of wordt.

  • kopieën van bankafschriften waaruit blijkt dat de bedragen zijn overgemaakt of zijn gestort op uw bankrekening.

Check*

Vraag 7

Bijlage 7a 

  • Voeg een volledig overzicht met vergunningen zoals genoemd (a - l) en de datum van aanvraag en/of verlening.

Check*

Bijlage 7b

Voeg de volgende documenten toe:

  • een volledig overzicht met de namen van de overheidsinstantie, de betreffende ondernemingen, de vergunning zoals genoemd onder 7A a t/m l), de datum van aanvraag en/of verlening van genoemde beschikkingen, de situaties zoals genoemd in vraag 7B (1 t/m 7) en de datum van die situatie;

  • kopie van de beschikking(en) inzake de situaties zoals genoemd onder vraag 7B, onder 1 t/m 7. Dit is niet nodig als de beschikking is afgegeven door de overheidsorganisatie, waar u deze formulieren naar stuurt.

Check*

Vraag 8

Bijlage 8

  • Voeg een overzicht toe met de naam van de ondernemer of onderneming, het (strafbare) feit, de pleegdatum en de pleegplaats van de afgelopen vijf jaar.

Check*

  • *

    vink de controlekolom af na uw controle op de compleetheid van de gevraagde gegevens en documenten, die u moet retourneren.

Bijlagen

De in de bijlage opgenomen stukken maken geen onderdeel uit van de Beleidslijn maar dienen ter ondersteuning in de uitvoering van het BIBOB-instrumentarium.

  • 1.

    Checklist Eigen Onderzoek

  • 2.

    Indicatorenlijst BIBOB-toets

  • 3.

    Verkorte vragenformulier

  • 4.

    Uitgebreide vragenformulier (vragenlijst Landelijk Bureau BIBOB)


Noot
1

Het betreft hier de gemeenten Dalfsen, Deventer, Hardenberg, Kampen, Olst-Wijhe, Ommen, Raalte, Staphorst, Zwartewaterland en Zwolle.

Noot
2

Per juni 2009 is het Steunpunt BIBOB Oost-Nederland onderdeel gaan uitmaken van het Regionaal Informatie en Expertise Centrum (RIEC) Oost-Nederland.

Noot
3

Bij het vaststellen van de beleidsregel dient rekening te worden gehouden met de voor de gemeente geldende inspraakverordening.

Noot
4

Keuzemogelijkheid en vergunningplicht (exploitatievergunning) afhankelijk van het lokale beleid.

Noot
5

Keuzemogelijkheid en vergunningplicht (exploitatievergunning) afhankelijk van het lokale beleid.

Noot
6

De bestaande aanvraagformulieren om vergunning, zoals deze door het bevoegd gezag zijn vastgesteld.

Noot
7

Zie bijlage 2

Noot
8

Overigens is de verwachting dat de Wet BIBOB hier in de toekomst op zal worden aangepast, dat ook externe bezwarencommissies onder voorwaarden inzage in het BIBOB-advies kunnen hebben. OP dit moment is dit echter nog niet toegestaan.

Noot
9

Keuzemogelijkheid en vergunningplicht (exploitatievergunning) afhankelijk van het lokale beleid.