Regeling vervallen per 20-01-2026

Besluit van het college van burgemeester en wethouders van de gemeente Noord-Beveland houdende regels omtrent de Bodemkwaliteitskaart PFAS gemeente Noord-Beveland

Geldend van 24-11-2020 t/m 19-01-2026

Intitulé

Besluit van het college van burgemeester en wethouders van de gemeente Noord-Beveland houdende regels omtrent de Bodemkwaliteitskaart PFAS gemeente Noord-Beveland

Het college van burgemeester en wethouders van Noord-Beveland heeft op 22 september 2020 besloten de Bodemkwaliteitskaart PFAS gemeente Noord-Beveland inclusief toepassingsnormen vast te stellen en de bodemkwaliteitskaart te verlengen met een periode van 5 jaar tot 2025.

In 2012 is een Nota bodembeheer incl. bodemkwaliteitskaart voor de gemeente Noord-Beveland opgesteld. Deze nota geeft de kaders aan voor het (her)gebruiken van grond. In samenwerking met de overige Bevelandse gemeenten en Tholen is ook in Noord-Beveland inmiddels de achtergrondwaarde voor PFAS vastgesteld.

Wat is PFAS?

PFAS is de verzamelnaam voor de stoffen PFOA, PFOS en GenX en wordt gezien als een zeer zorgwekkende stof (ZZS). Het zijn stoffen die de mens heeft gemaakt om hun specifieke eigenschappen, zoals brandwerendheid en vuil- en waterafstotendheid. De stoffen zijn jarenlang gebruikt in industriele processen en in allerlei alledaagse toepassingen, zoals verf, pannen, kleding, blusschuim en cosmetica.

Onderzoek

Vanaf 1 oktober 2019 is het verplicht de PFAS-waarde in de bodem te onderzoeken, voordat gestart kan worden met grondverzet. Kortom: er mag geen grond vervoerd worden als de PFAS-waarde niet bekend is.

Wat doet de gemeente Noord-Beveland?

Om grondverzet mogelijk te maken in gebieden waar geen verdachte bodemverontreiniging aanwezig is, hebben de gemeenten in de Bevelanden en Tholen de huidige bodemkwaliteitskaart (bkk) voorzien van een extra laag voor PFAS. Hiermee brengen we de kwaliteit in kaart voor onze gemeente. Door vaststelling van deze kwaliteit is bij grondverzet minder onderzoek nodig, hetgeen tijd en geld bespaart.

Bijlage

Bodemkwaliteitskaart PFAS Bevelanden en Tholen Eindrapport, projectnummer P20-02, 11 augustus 2020.

Bodemkwaliteitskaart PFASBevelanden en TholenEindrapport

BIJLAGEN

Bijlage 1: Verantwoording dataset

Bijlage 2A: Meetwaarden PFOA dataset achtergrondwaarden Zeeland

Bijlage 2B: Meetwaarden PFOS dataset achtergrondwaarden Zeeland

Bijlage 3A: Meetwaarden PFOA PFAS-onderzoek Bevelanden+Tholen

Bijlage 3B: Meetwaarden PFOS PFAS-onderzoek Bevelanden+Tholen

Bijlage 4A: Meetwaarden PFOA totale dataset (0-0,5 m-mv)

Bijlage 4B: Meetwaarden PFOS totale dataset (0-0,5 m-mv)

Bijlage 4C: Meetwaarden PFBA totale dataset (0-0,5 m-mv)

Bijlage 4D: Meetwaarden PFHxA totale dataset (0-0,5 m-mv)

Bijlage 4E: Meetwaarden PFHxS totale dataset (0-0,5 m-mv)

Bijlage 4F: Meetwaarden PFOA totale dataset (0,5-2,0 m-mv)

Bijlage 4G: Meetwaarden PFOS totale dataset (0,5-2,0 m-mv)

Bijlage 5A: Statistische kengetallen gestratificeerd aselecte steekproef voor achtergrondwaarden

PFAS in Zeeland (bovengrond)

Bijlage 5B: Statistische kengetallen gestratificeerd aselecte steekproef voor achtergrondwaarden

PFAS in Zeeland (ondergrond)

Bijlage 6: Vergelijking statistische kengetallen bebouwd gebied en buitengebied (bovengrond)

Bijlage 7: Vergelijking statistische kengetallen gegevens Tholen en Noord-Beveland afzonderlijk

(bovengrond)

Bijlage 8A: Statistische kengetallen zone PFAS West Bevelanden en Tholen (bovengrond)

Bijlage 8B: Statistische kengetallen zone PFAS West Bevelanden en Tholen (ondergrond)

Bijlage 9A: Statistische kengetallen zone PFAS Oost Zuid-Beveland (bovengrond)

Bijlage 9B: Statistische kengetallen zone PFAS Oost Zuid-Beveland (ondergrond)

Bijlage 10: Bodemkwaliteitskaart PFAS

Bijlage 11: Overzichtstabel toepassingsnormen PFAS

Bijlage 12: Toepassingskaart PFAS (0-1,0 m-mv)

BESTUURLIJKE SAMENVATTING

De gemeenten Borsele, Goes, Kapelle, Noord-Beveland, Reimerswaal en Tholen – verder aangeduid als de regio Bevelanden en Tholen – hebben allen bodemkwaliteitskaarten en bijbehorende nota’s bodembeheer vastgesteld. Per gemeente is daarin het lokale milieu-hygiënische beleid vastgelegd voor het toepassen van grond en bagger. Dit vormt de lokale uitwerking van de landelijke regelgeving uit het Besluit bodemkwaliteit en de Regeling bodemkwaliteit.

De bestaande bodemkwaliteitskaarten zijn gebaseerd op de stoffen uit het NEN5740-pakket, de stoffen waarop standaard wordt onderzocht bij verkennend bodemonderzoek. Aanvullend zijn op Zuid-Beveland enkele bestrijdingsmiddelen meegenomen vanwege het gebruik van DDT in boomgaarden in het verleden.

Deze huidige bodemkwaliteitskaarten en nota’s bodembeheer blijven ongewijzigd van kracht. Voorliggende bodemkwaliteitskaart vormt hierop een aanvulling voor de stofgroep PFAS.

PFAS (poly- en prefluoralkylstoffen) zijn door de mens geproduceerde stoffen die niet van nature voorkomen. PFAS zijn persistent: ze breken niet vanzelf af maar blijven in het milieu aanwezig. Ze zijn in veel consumentenproducten gebruikt en als gevolg atmosferische depositie worden ze op grote schaal in geringe concentraties in de bodem teruggevonden.

Op 8 juli 2019 heeft de Staatssecretaris voor Infrastructuur en Milieu een tijdelijk handelingskader voor PFAS aan de Tweede Kamer gezonden. Volgens dit handelingskader dient grond en bagger die wordt toegepast tevens te worden onderzocht op een aantal PFAS, in het kader van de wettelijke zorgplicht. Uit de regelgeving volgt verder dat in het kader van de zorgplicht geen PFAS mag worden aangetoond in toe te passen grond of bagger.

De PFAS-problematiek leidde tot stagnatie in projecten, doordat vaak wel geringe PFAS-gehalten worden gemeten.

Op 29 november 2019 en op 3 juli 2020 zijn geactualiseerde versies van het tijdelijk handelingskader voor PFAS aan de Tweede Kamer gezonden. Deze bevat toepassingswaarden voor PFAS in een aantal situaties, waaronder landelijke achtergrondwaarden. In afwachting van meer onderzoek zijn deze toepassingswaarden veilig gekozen.

De toepassingswaarden uit het tijdelijk handelingskader zijn niet formeel verankerd in de regelgeving en hebben daarmee geen bindende status. Volgens de meest recente informatie is de planning dat de PFAS-normering pas in april 2021 wordt opgenomen in de Regeling bodemkwaliteit.

Van gemeenten wordt verwacht dat zij bodemkwaliteitskaarten en eventueel gebiedsspecifiek beleid voor PFAS vaststellen, zodat daarmee knelpunten in grondverzet worden opgelost.

De waarde van deze bodemkwaliteitskaart is tweeledig:

  • -

    bij hergebruik van grond hoeven minder vaak aanvullende analyses op PFAS te worden uitgevoerd;

  • -

    er wordt vastgelegd welke toepassingsnormen voor PFAS in verschillende situaties gelden. Deze normstelling vermindert belemmeringen voor grondverzet binnen de regio.

Bijlage 11 bevat een overzichtstabel met de regionale normstelling voor PFAS. Deze normstelling is een combinatie van de toepassingswaarden uit het tijdelijk handelingskader voor PFAS van 2 juli 2020 en de beleidskeuzes uit de eerder vastgestelde gemeentelijke nota’s bodembeheer.

Deze bodemkwaliteitskaart wordt door elke gemeente in de regio Bevelanden en Tholen afzonderlijk voor het eigen grondgebied vastgesteld. Het College van B&W is bevoegd om de bodemkwaliteitskaart voor PFAS vast te stellen. Daarbij geldt een informatieplicht naar de gemeenteraad en het publiek.

1. INLEIDING

1.1 Aanleiding: de PFAS-problematiek

Tijdelijk handelingskader d.d. 8 juli 2019: onderzoeksplicht voor PFAS

Op 8 juli 2019 heeft de staatssecretaris van Infrastructuur en Waterstaat een Kamerbrief verstuurd met het ‘Tijdelijk handelingskader voor hergebruik van PFAS-houdende grond en baggerspecie’ (lit. 1). De inhoud hiervan wordt op termijn in de regelgeving opgenomen middels een wijziging van de Regeling bodemkwaliteit.

Het handelingskader is gericht op het aantreffen in het milieu van de stoffen perfluoroctaanzuur (PFOA), perfluoroctaansulfonaat (PFOS) en HFPO-DA (GenX). Deze stoffen behoren tot de stofgroep poly- en prefluoralkylstoffen (stofgroep PFAS), een stofgroep die uit ruim 6000 stoffen bestaat. Volgens het handelingskader moeten initiatiefnemers, tot duidelijk is of er onbelaste gebieden in Nederland zijn, in het kader van de zorgplicht het gehalte aan PFAS meten in te verzetten grond en baggerspecie, die uit land- en waterbodem wordt ontgraven.

Op de website van Rijkswaterstaat-Bodem+ is een advieslijst d.d. 12 juli 2019 gepubliceerd met 30 (28 waarvan 2 lineair en vertakt) te meten PFAS. GenX is niet opgenomen in de advieslijst van te meten PFAS, maar onderaan de advieslijst is vermeld dat men GenX alleen bij verdenking hoeft te meten.

Stagnatie in projecten door PFAS

In de afgelopen jaren leidde het in de bodem van land en water aantreffen van PFAS met name in de Randstad tot problemen bij grondverzet en baggerwerkzaamheden. Zo is een groot gebied verontreinigd geraakt door de jarenlange uitstoot van PFAS door de fabriek van Dupont-Chemours in Dordrecht. Het tijdelijk handelingskader van 8 juli 2019 was beoogd om die projecten weer vlot te trekken.

Voor PFAS is in de landelijke regelgeving nog geen normering vastgelegd. Formeel volgt uit de landelijke regelgeving dat bij niet-genormeerde stoffen in het kader van de zorgplicht wordt getoetst aan de bepalingsgrens. In het tijdelijk handelingskader is deze voor PFAS gesteld op 0,1 μg/kgds. Als interpretatie van de zorgplicht was derhalve aanvankelijk voor de bodemfunctie landbouw/natuur in het tijdelijk handelingskader van 8 juli 2019 een normwaarde opgenomen van 0,1 μg/kgds.

Inmiddels is bekend dat in den lande meestal hogere gehalten PFAS worden gemeten dan deze 0,1 μg/kgds. Dat geldt ook voor de provincie Zeeland.

Het aantreffen van hogere gehalten dan 0,1 μg/kgds en onzekerheid over de juridische consequenties van de aanwezigheid van PFAS in grond en bagger leidde per saldo tot meer stagnatie in de GWW-sector.

Geactualiseerde versie tijdelijk handelingskader d.d. 29 november 2019

Het RIVM heeft op 28 november 2019 een advies uitgebracht voor tijdelijke landelijke achtergrond-waarden voor PFAS (lit. 2), gebaseerd op een compilatie van diverse onderzoeken naar PFAS uit verschillende delen van Nederland. De Minister voor Milieu en Wonen heeft deze als voorlopige achtergrondwaarden overgenomen in de geactualiseerde versie van het tijdelijk handelingskader voor PFAS d.d. 29 november 2019 (lit. 3), die zij op 1 december 2019 aan de Tweede Kamer heeft gezonden.

Daarnaast bevat dit tijdelijk handelingskader voorlopige toepassingswaarden voor een aantal andere situaties.

De voorlopige achtergrondwaarden uit het tijdelijk handelingskader van 29 november 2019 zijn als volgt:

  • -

    voor alle individuele PFAS: 0,8 μg/kgds. met uitzondering van PFOS

  • -

    voor PFOS: 0,9 μg/kgds

Voor de bodemkwaliteits- en bodemfunctieklassen wonen en industrie vermeldt het tijdelijk handelingskader de volgende toepassingswaarden (ook wel aangeduid als de 3/7/3/3 waarden):

  • -

    voor alle individuele PFAS: 3 μg/kgds. met uitzondering van PFOA

  • -

    voor PFOA: 7 μg/kgds

Deze 3/7/3/3 waarden gelden voor toepassingen op de landbodem boven grondwaterniveau (tot ten hoogste 1 meter onder het maaiveld bij een hoge grondwaterstand).

Het tijdelijk handelingskader voor PFAS en de hierin opgenomen toepassingswaarden waaronder de voorlopige achtergrondwaarden hebben echter nog niet de formele status van regelgeving. Dit is pas het geval na opname van deze voorlopige achtergrondwaarden en overige toetsingswaarden in bijlage B van de Regeling bodemkwaliteit en bekendmaking hiervan in de Staatscourant.

Het is de bedoeling dat op termijn wel een definitieve normstelling voor PFAS wordt opgenomen in de Regeling bodemkwaliteit 1 . Daarvoor moet eerst landelijk nog een aantal onderbouwende onderzoeken worden afgerond. In afwachting van deze onderzoeken zijn de toepassingswaarden uit het tijdelijk handelingskader veilig gekozen. Het valt daarom niet te verwachten dat de definitieve normering strenger uitpakt dan de voorlopige toepassingswaarden.

Van gemeenten wordt verwacht dat zij bodemkwaliteitskaarten en eventueel gebiedsspecifiek beleid voor PFAS vaststellen, zodat daarmee knelpunten in grondverzet worden opgelost. Bijkomend voordeel is dat landelijk meer meetgegevens beschikbaar komen. Hierdoor is een betere onderbouwing van de op te nemen normen in de Regeling bodemkwaliteit mogelijk.

Tijdelijk handelingskader PFAS d.d. 2 juli 2020 met definitieve achtergrondwaarden

Eind juni heeft het RIVM het onderzoek naar de landelijke achtergrondwaarden van PFAS in de Nederlandse bodem afgerond (lit. 5). Deze zijn als definitieve achtergrondwaarden opgenomen in een nieuwe versie van het tijdelijk handelingskader PFAS (lit. 6), dat op 3 juli 2020 door de Staatssecretaris voor Infrastructuur en Waterstaat is toegezonden aan de Tweede Kamer.

Deze definitieve landelijke achtergrondwaarden zijn als volgt:

  • -

    PFOA (som lineair + vertakt): 1,9 μg/kgds

  • -

    PFOS (som lineair + vertakt): 1,4 μg/kgds

De overige PFAS zijn in het onderzoek van het RIVM zelden boven de detectiegrens aangetoond. In het tijdelijk handelingskader is opgenomen dat voornoemde achtergrondwaarde van PFOS (1,4 μg/kgds) ook als toepassingswaarde geldt voor de overige PFAS.

Voornoemde achtergrondwaarden worden naar verwachting in het voorjaar van 2021 in de regelgeving verankerd middels een wijziging van de Regeling bodemkwaliteit.

1.2 Achtergrondwaarden en bodemkwaliteitskaarten PFAS in Zeeland

Onderzoeksgegevens PFAS

In de zomer van 2019 waren binnen de provincie Zeeland slechts incidenteel meetgegevens voor PFAS bekend.

Sindsdien zijn langs twee sporen onderzoeksgegevens van PFAS beschikbaar gekomen:

  • -

    per regio is met een gestratificeerd aselecte steekproef een aantal meetlocaties in het buitengebied bepaald, waar de bodem bemonsterd en geanalyseerd is op de PFAS uit de advieslijst van Bodem+ d.d. 12 juli 2019;

  • -

    bij bodemonderzoeken ten behoeve van projecten zijn – veelal met het oog op hergebruik van vrijkomende grond – tevens analyses op PFAS uitgevoerd. Deze gegevens zijn vervolgens opgenomen in het gezamenlijke bodeminformatiesysteem (Nazca) van de Zeeuwse gemeenten en de provincie.

Deze dataset wordt toegelicht in bijlage 1.

Achtergrondwaarden PFAS in Zeeland

De gegevens uit de gestratificeerd aselecte steekproef zijn gebruikt om achtergrondwaarden voor PFAS voor de hele provincie Zeeland te bepalen.

Daarbij is aangesloten op de methodiek waarmee begin deze eeuw in het AW2000-project (lit. 7) voor een groot aantal stoffen de landelijke achtergrondwaarden zijn bepaald. De achtergrondwaarden uit het AW2000-project geven de bandbreedte van gehalten aan die in het relatief onbelaste buitengebied van Nederland voorkomen en zijn als normering opgenomen in bijlage B van de Regeling bodemkwaliteit.

Voor PFOA en PFOS worden in de bovengrond meestal gehalten boven de detectiegrens gemeten.

In hoofdstuk 2 zijn voor deze stoffen de volgende achtergrondwaarden in Zeeland bepaald:

  • -

    PFOA (som lineair + vertakt): 1,2 μg/kgds

  • -

    PFOS (som lineair + vertakt): 1,2 μg/kgds

Bodemkwaliteitskaarten PFAS in Zeeland

Op basis van de regionale PFAS-onderzoeken in het buitengebied en de gegevens uit het bodeminformatiesysteem zijn bodemkwaliteitskaarten van PFAS opgesteld voor de volgende gebieden:

  • -

    Bevelanden en Tholen

  • -

    Zeeuws-Vlaanderen

  • -

    Walcheren

  • -

    Schouwen-Duiveland

Deze vormen een aanvulling op de bestaande bodemkwaliteitskaarten en nota’s bodembeheer van de verschillende gemeenten.

Voorliggend rapport betreft de bodemkwaliteitskaart PFAS van de Bevelanden (gemeenten Borsele, Goes, Kapelle, Noord-Beveland en Reimerswaal) en Tholen. Deze is gelijktijdig opgesteld met de bodem-kwaliteitskaarten PFAS van Zeeuws-Vlaanderen en Walcheren (lit. 8 en 9). De gegevens uit het PFAS-onderzoek op Schouwen-Duiveland waren iets eerder beschikbaar, zodat de (voorlopige) bodemkwaliteitskaart PFAS van de gemeente Schouwen-Duiveland al bestuurlijk vastgesteld is op 25 februari 2020 (lit. 10).

De bodemkwaliteitskaart PFAS wordt toegelicht in hoofdstuk 3. Atmosferische depositie vormt de belangrijkste bron van PFAS in de bodem, zodat de PFAS-gehalten niet gekoppeld zijn aan de zones uit de bestaande bodemkwaliteitskaarten van de gemeenten. In het oosten van Zuid-Beveland zijn wat hogere gehalten gemeten dan in de rest van het gebied. Met de huidige beschikbare kennis is er nog geen verklaring voor dit verschil. Uit de gegevens komt geen verschil naar voren tussen het bebouwde gebied en het buitengebied.

Deze bodemkwaliteitskaart bevat derhalve twee zones:

  • -

    zone PFAS west Bevelanden en Tholen

  • -

    zone PFAS oost Zuid-Beveland

Erkenning andere bodemkwaliteitskaarten PFAS in Zeeland

In het verleden is door de individuele Zeeuwse gemeenten bij de vaststelling va de bodemkwaliteits-kaarten bepaald dat deze onderling door de Zeeuwse gemeenten erkend worden als wettig bewijs-middel. Dit geldt ook voor de provinciebrede bodemkwaliteitskaart wegbermen. Het is wenselijk dat de Zeeuwse gemeenten ook elkaars bodemkwaliteitskaarten PFAS erkennen.

Bodemkwaliteitskaarten PFAS die door andere gemeenten in Zeeland worden vastgesteld worden daarom automatisch erkend door de gemeentes Borsele, Kapelle, Noord-Beveland, Reimerswaal en Tholen.

In de gemeente Goes kan het College van Burgemeester en Wethouders besluiten om na beoordeling een bodemkwaliteitskaart PFAS uit een ander deel van Zeeland te erkennen (zie paragraaf 4.9 van de gemeentelijke nota bodembeheer).

Stand still op gebiedsniveau

Zoals hiervoor al opgemerkt heeft het tijdelijk handelingskader voor PFAS geen formele, juridische status. In hoofdstuk 4 is daarom vastgelegd hoe de achtergrondwaarden en de toepassingswaarden uit het tijdelijk handelingskader worden gehanteerd in de Bevelanden en Tholen.

Het Besluit bodemkwaliteit gaat uit van stand still op gebiedsniveau. In de gemeentelijke nota’s bodembeheer is het bodembeheergebied gedefinieerd als het gemeentelijk grondgebied. Specifiek voor PFAS wordt dit verruimd. In het algemeen gelden in de 6 gemeenten van de regio Bevelanden en Tholen dezelfde toepassingsnormen voor PFAS, ongeacht of de grond of bagger afkomstig is uit de eigen gemeente dan wel uit één van de overige 5 gemeenten (met uitzondering van toepassingen bij de bodemfunctieklasse overig in de gemeente Reimerswaal).

Verder is in de normering onderscheid gemaakt tussen grond en bagger afkomstig uit de overige gemeenten in Zeeland versus grond en bagger met een herkomst van buiten de provincie Zeeland.

1.3 Vereenvoudigde vaststellingsprocedure voor PFAS

Door het vaststellen van deze bodemkwaliteitskaart voor PFAS kan een aantal projecten weer verder, vermindert de noodzaak tot het uitvoeren van PFAS-analyses en wordt er duidelijkheid geboden over de te hanteren toetsingsnormen.

Normaliter wordt gebiedsspecifiek beleid op grond van het Besluit bodemkwaliteit vastgesteld door de gemeenteraad, waarbij een openbare voorbereidingsprocedure conform Afdeling 3.4 van de Algemene wet bestuursrecht wordt gevolgd (o.a. 6 weken ter inzage voor inspraak).

In december 2019 is het Besluit bodemkwaliteit gewijzigd, waarbij voor het vaststellen van gebiedsspecifiek beleid voor PFAS een uitzondering in het Besluit bodemkwaliteit is opgenomen (lit. 11). Die houdt in dat het College van B&W in plaats van de gemeenteraad dit mag vaststellen en dat er geen openbare voorbereidingsprocedure nodig is2 . Wel geldt dat het pas in werking mag treden minimaal een week nadat de raad en het publiek ervan kennis hebben kunnen nemen zodat ze desgewenst nog gelegenheid hebben om erop te reageren.

Hiermee wil de regering de mogelijkheid bieden om stagnatie in projecten door PFAS zo snel mogelijk op te heffen.

De bodemkwaliteitskaart PFAS heeft dezelfde geldigheidstermijn als de andere bodemkwaliteitskaarten van de gemeenten. Op dit moment is een bodemkwaliteitskaart volgens de Regeling bodemkwaliteit maximaal 5 jaar geldig.

2 ACHTERGRONDWAARDEN PFAS IN ZEELAND

2.1 De landelijke achtergrondwaarden

Begin deze eeuw zijn in het AW2000-project met een bepaalde systematiek de landelijke achtergrondgehalten bepaald (lit. 7). Hierop zijn de Achtergrondwaarden gebaseerd die als normen zijn opgenomen in bijlage B van de Regeling bodemkwaliteit.

In het AW2000-project zijn 100 locaties in het relatief onbelaste buitengebied van Nederland bemonsterd en geanalyseerd op een groot aantal stoffen. Deze locaties zijn aselect gekozen, met strikte criteria om een meetpunt uit de steekproef te accepteren: kwam de steekproef toevallig op een weg of gebouw uit dan werd het meetpunt niet een stukje verplaatst maar afgekeurd. De landelijke Achtergrondwaarden zijn in de Regeling bodemkwaliteit vastgelegd op basis van de 95-percentiel-waarden van de gegevens uit het AW2000-project, afgerond naar boven.

PFAS behoorde nog niet tot de destijds geanalyseerde stoffen. Het RIVM heeft opdracht van het Ministerie van I&W om de 100 AW2000-locaties opnieuw te bezoeken en volgens dezelfde methodiek te bemonsteren en analyseren op PFAS, om vervolgens ook voor PFAS landelijke achtergrondwaarden te kunnen vaststellen. De resultaten hiervan worden in de zomer van 2020 verwacht.

Vooruitlopend hierop heeft het RIVM op 28 november 2019 een advies uitgebracht voor tijdelijke landelijke achtergrondwaarden voor PFAS (lit. 2), gebaseerd op een compilatie van diverse onderzoeken naar PFAS uit verschillende delen van Nederland. Als veilige benadering is het RIVM daarbij uitgegaan van de 80-percentielwaarden van PFOA en PFOS, omdat de toen beschikbare onderzoeken ongelijk over het land verdeeld zijn.

Op basis daarvan zijn in het tijdelijk handelingskader van 29 november 2019 (lit. 3) de volgende voorlopige achtergrondwaarden opgenomen:

  • -

    voor alle individuele PFAS: 0,8 μg/kgds met uitzondering van PFOS

  • -

    voor PFOS: 0,9 μg/kgds

Inmiddels heeft het RIVM het onderzoek naar de landelijke achtergrondwaarden van PFAS in de Nederlandse bodem afgerond (lit. 5). Op basis van de 95-percentielwaarden van 100 meetpunten in het onverdachte buitengebied heeft het RIVM de definitieve landelijke achtergrondwaarden bepaald. Daarbij zijn alleen meetpunten gebruikt die op meer dan 50 km van de fabriek van Dupont-Chemours in Dordrecht liggen.

De definitieve achtergrondwaarden zijn als volgt:

  • -

    PFOA (som lineair + vertakt): 1,9 μg/kgds

  • -

    PFOS (som lineair + vertakt): 1,4 μg/kgds

De overige onderzochte PFAS worden meestal niet boven de detectiegrens aangetoond.

Het tijdelijk handelingskader voor PFAS en de hierin opgenomen toepassingswaarden waaronder de voorlopige achtergrondwaarden hebben nog geen formele juridische status. Naar verwachting worden pas in april 2021 achtergrondwaarden voor PFAS opgenomen in de landelijke regelgeving (Regeling bodemkwaliteit).

Toelichting op de term ‘achtergrondgehalten’

In het voorwoord van de rapportage van het AW2000-project (lit. 7) wordt het begrip ‘achtergrondgehalten’ als volgt gedefinieerd:

Achtergrondgehalten:

De gehalten zoals die op dit moment voorkomen in de bodem van natuur- en landbouwgronden waarvoor geldt dat er geen sprake is van belasting door lokale verontreinigingsbronnen.

In de achtergrondgehalten zoals gepresenteerd in dit rapport zijn dus bijvoorbeeld de effecten op de bodemkwaliteit van landbouwkundig handelen (bijvoorbeeld zware metalen in mest, gebruik van bestrijdingsmiddelen) meegenomen. Tevens zijn de effecten van diffuse belasting meegenomen, ook als dit met name om regionale effecten gaat (bijvoorbeeld zware metalen in de Kempen en in het Hollands veenweidegebied). De invloed van lokale verontreinigingsbronnen is expliciet uitgesloten door het stellen van een serie voorwaarden, zoals de afstand tot sloten, hoogspanningsleidingen, afrasteringen en wegen. (…) In het kader van het project AW2000 is de term ‘achtergrondgehalten’ dus nadrukkelijk niet gekoppeld aan de van nature voorkomende gehalten.

(…)

Tenslotte een opmerking over ‘het achtergrondgehalte’. Dit onderzoek is er op gericht om de verdeling van achtergrondgehalten – volgens de hierboven gegeven omschrijvende definitie – in de Nederlandse bodem vast te stellen. Er is in dit rapport dus géén sprake van één achtergrondgehalte voor een stof, maar van een verdeling van gehalten.

2.2 De achtergrondwaarden voor PFAS in Zeeland

In bijlage 1 is beschreven dat met gestratificeerd aselecte steekproeven 100 locaties in het buitengebied van Zeeland zijn bepaald met het oog op de berekening van de achtergrondwaarden van PFAS in Zeeland.

Vanwege de toestemming tot locaties heeft de gemeente Noord-Beveland de 5 meetpunten uit de steekproef verplaatst naar locaties bij de bebouwde kernen die in eigendom van de gemeente zijn, meestal (voormalige) sportvelden. Deze meetpunten worden daarom niet meegenomen in de bepaling van de provinciale achtergrondwaarden. Voor de bodemkwaliteitskaart blijven ze overigens wel bruikbaar.

Verder komt 1 locatie in de gemeente Goes te vervallen. Aangezien er geen toestemming was om op de oorspronkelijke locatie te boren is dit meetpunt verplaatst naar de rand van een nabij gelegen pad. Mede omdat op deze locatie hogere gehalten PFAS zijn gemeten is ervoor gekozen om ook dit meetpunt niet mee te nemen in de berekening van de achtergrondwaarden (maar wel in de bodemkwaliteitskaart).

De achtergrondwaarden in Zeeland zijn derhalve gebaseerd op 94 in plaats van 100 meetpunten. Het effect hiervan is verwaarloosbaar.

PFOA en PFOS worden meestal boven de detectiegrens aangetoond. Het ruimtelijke patroon van de gehalten PFOA en PFOS in de bovengrond van deze 94 meetpunten is in kaart weergegeven in bijlage 2A en 2B. Daarbij is uitgegaan van de som van de lineaire en de vertakte vorm van PFOA en PFOS.

Een deel van de gegevens bij PFOA-vertakt en PFOS-vertakt is kleiner dan de detectiegrens van 0,1 μg / kgds. In dat geval schrijft de Regeling bodemkwaliteit voor dat in sommaties gerekend wordt met 0,7 x detectiegrens.

De statistische kengetallen van deze dataset voor de achtergrondwaarden van Zeeland zijn opgenomen in bijlage 5A (bovengrond) en 5B (ondergrond).

Op basis van de 95-percentielwaarden van de bovengrond zijn de achtergrondwaarden voor PFOA en PFOS in Zeeland als volgt:

  • -

    PFOA (som lineair + vertakt): 1,2 μg/kgds

  • -

    PFOS (som lineair + vertakt): 1,2 μg/kgds

Deze provinciale achtergrondwaarden zijn hoger dan de voorlopige achtergrondwaarden uit het tijdelijk handelingskader uit november 2019, maar lager dan de definitieve achtergrondwaarden uit het tijdelijk handelingskader PFAS van 2 juli 2020.

De overige PFAS worden zelden of nooit boven de detectiegrens van 0,1 μg/kgds aangetoond.

Aanvullend kunnen voor de volgende PFAS achtergrondwaarden worden bepaald op basis van de 95-percentielwaarden:

  • -

    PFBA: 0,3 μg/kgds

  • -

    PFPeA: 0,1 μg/kgds

  • -

    PFHxA: 0,1 μg/kgds

  • -

    PFHpA: 0,1 μg/kgds

Bij de overige PFAS is in meer dan 95% van de gevallen geen gehalte boven de detectiegrens aangetoond.

In de ondergrond (0,5-1,0 m-mv) worden ook voor PFOA en PFOS in de meeste gevallen geen gehalten boven de detectiegrens aangetoond.

Ter toelichting op de bijlagen met statistische kengetallen het volgende:

  • -

    De volgorde en nummering van de verschillende PFAS sluit aan bij de nummering op de advieslijst van Bodem+ d.d. 12 juli 2019;

  • -

    De analyseresultaten van PFAS worden in het algemeen gerapporteerd op 1 decimaal nauwkeurig. De uitkomsten van de statistische berekeningen zijn daarom ook op 1 decimaal nauwkeurig afgerond in de bijlagen;

  • -

    Volgens het tijdelijk handelingskader (lit. 3) vindt net als bij PAK alleen een bodemtypecorrectie plaats bij percentages humus (organische stof) hoger dan 10%. Volledigheidshalve zijn ook de statistische kengetallen voor humus vermeld. Aangezien de humuspercentages in het algemeen lager zijn dan 10% is een bodemtypecorrectie normaliter niet aan de orde.

3 BODEMKWALITEITSKAART PFAS BEVELANDEN EN THOLEN

3.1 Indeling in zones

In het algemeen wordt in een bodemkwaliteitskaart een indeling in zones gemaakt op basis van de historische ontwikkeling van een gebied, zoals de ouderdom van de bebouwing. Voor andere stoffen zijn de gehalten het hoogst in vooroorlogse wijken en kernen. PFAS zijn niet-natuurlijke verbindingen die sinds de jaren 50 van de vorige eeuw door de mens worden geproduceerd, zodat er geen verschil tussen vooroorlogse en naoorlogse bebouwing wordt verwacht.

Verder bevatten de bodemkwaliteitskaarten op Zuid-Beveland aparte zones met (voormalige) boom-gaarden vanwege het gebruik van DDT in de periode direct na de tweede wereldoorlog.

Het Expertisecentrum PFAS heeft een inventarisatie gemaakt van mogelijke bronnen en verontreinigings-routes van PFAS in het milieu (lit. 12). Volgens deze inventarisatie is o.a. mogelijk PFAS toegevoegd aan bestrijdingsmiddelen.

Voor PFAS vormt atmosferische depositie een belangrijke bron van diffuse verontreiniging in de bodem. De diffuse verontreiniging met PFAS is daardoor niet noodzakelijkerwijs gekoppeld aan begrenzingen van de historische ontwikkeling van landgebruik in de gemeentes. De belasting door atmosferische depositie is in het bebouwde gebied niet hoger dan in het buitengebied.

Op basis van de beschikbare PFAS-gegevens is gekeken of er een verschil is op basis van:

  • -

    onderscheid tussen bebouwd gebied en buitengebied

  • -

    aanwezigheid van (voormalige) boomgaarden

Hieruit komen geen verschillen naar voren. Er is geen reden om een verdere onderverdeling in verschillende zones te maken op basis van de historische ontwikkeling van de gemeenten.

Verder is gekeken naar het geografisch patroon van de PFAS-gehalten. Daaruit blijkt dat in het oostelijke deel van Zuid-Beveland, in de gemeente Reimerswaal, hogere PFAS-gehalten voorkomen dan in de rest van de regio. De oorzaak hiervan is vooralsnog onbekend.

Op basis van het geografisch patroon van de PFAS-gehalten is de regio Bevelanden en Tholen ingedeeld in twee zones:

  • -

    zone PFAS West Bevelanden en Tholen

  • -

    zone PFAS Oost Zuid-Beveland

3.2 Toelichting op de zone-indeling

Vergelijking tussen bebouwd gebied en buitengebied

In een deel van de regio zijn voldoende gegevens beschikbaar om het bebouwde gebied te vergelijken met het buitengebied. Een aantal deelselecties van de gegevens zijn afzonderlijk bekeken in bijlage 6. Daarbij is alleen gekeken naar de bovengrond, omdat in de ondergrond meestal geen gehalten boven de detectiegrens worden gemeten. Er blijkt geen verschil te zijn tussen bebouwd gebied en buitengebied.

Bijlage 6 bevat de statistische kengetallen voor PFOA en PFOS in de bovengrond van:

  • -

    3 bedrijfsterreinen in het centrale deel van Zuid-Beveland (Smokkelhoek bij Biezelinge, Nishoek bij Kruiningen en Olzendepolder in Yerseke);

  • -

    het bebouwde gebied in de gemeente Borsele;

  • -

    het bebouwde gebied in de gemeente Goes;

  • -

    het buitengebied van de gemeente Goes.

In bijlage 6 zijn de gegevens van het bebouwd gebied in Borsele en Goes afkomstig uit de volgende zones van de gemeentelijke bodemkwaliteitskaarten (lit. 13 t/m 15)3 :

Bebouwd gebied gemeente Borsele

aantal meetpunten

bovengrond

A Buitengebied en woonwijken > 1960

11

D Bedrijfsterreinen

7

Bebouwd gebied gemeente Goes

aantal meetpunten

bovengrond

1 Buitengebied en naoorlogse bebouwing

23

2 Naoorlogse bebouwing

4

3 Bedrijfsterreinen (De Poel)

3

6 Binnenstad en vooroorlogse wijken

3

Goese Diep

2

Bijlage 7 bevat de statistische kengetallen voor PFOA en PFOS van de gegevens in de gemeentes Tholen en Noord-Beveland afzonderlijk (bovengrond, bebouwd gebied en buitengebied tezamen). Ook deze zijn vergelijkbaar met de gegevens uit het westelijke deel van Zuid-Beveland.

(voormalige) boomgaarden

In de gemeente Reimerswaal liggen veel boomgaarden. De gemeentelijke bodemkwaliteitskaarten op Zuid-Beveland bevatten aparte zones met boomgaarden vanwege het gebruik van het bestrijdingsmiddel DDT in de fruitteelt in het verleden. DDT werd vooral direct na de tweede wereldoorlog toegepast en alleen boomgaarden uit de periode vanaf de tweede wereldoorlog tot medio jaren 70 zijn verdacht voor het aantreffen van hogere DDT-gehalten.

Bij de meetpunten in de zone PFAS oost Zuid-Beveland is nagegaan of de gehalten in recente boomgaardpercelen afwijken van de overige meetpunten. Het gaat daarbij om locaties die in de periode na 1980 waren of nog steeds boomgaard zijn. Daaruit blijkt dat ook locaties die geen boomgaard waren iets hogere gehalten hebben dan de rest van de regio. Er is geen verschil op basis van boomgaarden.

Vergelijking aantal meetpunten met verhoogde gehalten in zone PFAS oost Zuid-Beveland:

(bovengrond, wel en geen boomgaard; gehalten in μg/kgds)

 

Totaal aantal

PFBA

> det.

PFHxA

> det.

Som PFOA

> 0,8

Som PFOA

> 1,2

PFHxS

> det.

Som PFOS

> 1,2

boomgaard

10

8

7

7

3

8

8

geen boomgaard

12

4

4

6

2

3

7

Kreekrakpolder

De Kreekrakpolder is pas in de 20e eeuw ingepolderd. Voor andere stoffen worden in de Kreekrakpolder verhoogde gehalten aangetroffen als gevolg van sedimentatie van verontreinigd Scheldeslib (lit. 16). De PFAS-gehalten van de extra meetpunten in de Kreekrakpolder wijken niet af van de rest van de zone PFAS oost Zuid-Beveland.

Onderscheid in twee zones op basis van het geografisch patroon van de gehalten

De kaarten in bijlage 4A en 4B laten wel een geografisch patroon in de gehalten PFOA en PFOS zien. In het oostelijke deel van Zuid-Beveland komen hogere gehalten PFOA en PFOS voor dan in de rest van de regio. Daarnaast worden hier enkele andere PFAS vaker boven de detectiegrens aangetoond dan in de rest van Zuid-Beveland. Dit is voor PFBA, PFHxA en PFHxS in kaart weergegeven in bijlage 4C t/m 4E.

Dit gebied is als aparte zone in de bodemkwaliteitskaart opgenomen (zone PFAS oost Zuid-Beveland)

De oorzaak van deze hogere gehalten is echter onbekend, zodat de begrenzing ervan ook onzeker is. Voor de statistische berekeningen is op basis van het geografisch patroon van de gehalten een lijn tussen Kruiningen en Yerseke als grens gehanteerd. Beleidsmatig geldt de gemeentegrens tussen Reimerswaal en Kapelle als zonegrens.

Op basis van het geografisch patroon van de PFAS-gehalten bevat deze bodemkwaliteitskaart derhalve twee zones:

  • -

    zone PFAS West Bevelanden en Tholen

  • -

    zone PFAS Oost Zuid-Beveland

De statistische kengetallen van deze zones zijn opgenomen in respectievelijk bijlage 8 en bijlage 9.

Bijlage 10 bevat de bodemkwaliteitskaart voor PFAS.

Deze bodemkwaliteitskaart kan als bewijsmiddel (milieu-hygiënische verklaring) dienen voor de volgende toepassingswaarden uit het tijdelijk handelingskader van 2 juli 2020:

Zone

Bewijsmiddel definitieve achtergrondwaarden

Bewijsmiddel

3/7/3/3 waarden

PFAS West Bevelanden en Tholen

Ja

Ja

PFAS Oost Zuid-Beveland

Nee

Ja

De 6 gemeenten in de regio Bevelanden en Tholen baseren de normering voor hergebruik van grond en bagger binnen de eigen regio op de 95-percentielwaarden, tenzij deze lager is dan de landelijke achtergrondwaarde (zie hoofdstuk 4).

95-percentielwaarden (bovengrond):

Zone

PFOA (som lineair+vertakt)

PFOS (som lineair+vertakt)

PFAS West Bevelanden en Tholen

1,2 μg/kgds

1,5 μg/kgds

PFAS Oost Zuid-Beveland

2,5 μg/kgds

3,1 μg/kgds

Ondergrond (0,5 – 2,0 m-mv)

In de ondergrond (0,5 - 2,0 m-mv) zijn zelden gehalten boven de landelijke achtergrondwaarden aangetoond.

Het merendeel van de gegevens voor de ondergrond betreft monsters van het dieptetraject 0,5 - 1,0

m-mv. Circa 10% van de gegevens is afkomstig uit het dieptetraject 1,0 – 2,0 m-mv. De gegevens dieper dan 1,0 m-mv wijken niet af van het dieptetraject 0,5 - 1,0 m-mv. In aansluiting op de huidige bodemkwaliteitskaarten en de onderzoekspraktijk is voor de ondergrond de kwaliteit vastgesteld voor het dieptetraject 0,5 - 2,0 m-mv.

4 TOEPASSINGSNORMEN VOOR PFAS

4.1 Algemeen

Bijlage 11 bevat een overzichtstabel met de regionale normen voor PFAS bij het toepassen van grond en bagger in de regio Bevelanden en Tholen. Deze normstelling is een combinatie van de toepassings-waarden uit het tijdelijk handelingskader voor PFAS van 2 juli 2020 en de beleidskeuzes uit de eerder vastgestelde gemeentelijke nota’s bodembeheer.

Er gelden verschillende toepassingsnormen, afhankelijk van:

  • -

    het herkomstgebied van de grond of bagger;

  • -

    de diepte waarop de grond of bagger wordt toegepast;

  • -

    de toepassingsnormen voor de stoffen uit het NEN5740-pakket, zoals vastgelegd in de gemeentelijke nota’s bodembeheer (gekoppeld aan de bodemfunctieklassen).

De definitieve landelijke achtergrondwaarden uit het tijdelijk handelingskader van 2 juli 2020 gelden daarbij als ondergrens. Er worden geen strengere normen voor PFAS gesteld dan deze landelijke achtergrondwaarden, ongeacht herkomst of dieptetraject:

  • -

    PFOA: 1,9 μg/kgds

  • -

    PFOS: 1,4 μg/kgds

  • -

    Overige individuele PFAS: 1,4 μg/kgds (inclusief GenX en niet in de advieslijst van Bodem+ vermelde PFAS).

De meeste toepassingen vinden plaats op het maaiveld of in de bovengrond. De toepassingsnormen voor het dieptetraject 0-1,0 m-mv zijn in kaart weergegeven in bijlage 12 (voor grond en bagger afkomstig uit de regio Bevelanden en Tholen).

Bestaande bodemkwaliteitskaarten en nota’s bodembeheer blijven van kracht

De gemeenten in de regio Bevelanden en Tholen hebben allen bodemkwaliteitskaarten vastgesteld voor de stoffen uit het NEN5740-pakket op Zuid-Beveland aangevuld met enkele bestrijdingsmiddelen vanwege het gebruik van DDT in boomgaarden in het verleden.

De huidige bodemkwaliteitskaarten en nota’s bodembeheer blijven ongewijzigd van kracht. Voorliggende bodemkwaliteitskaart vormt hierop een aanvulling voor de stofgroep PFAS.

4.2 Normering op basis van achtergrondwaarden / 95-percentielwaarden

De 95-percentielwaarden voor de bovengrond van de twee zones uit deze bodemkwaliteitskaart zijn hoger dan de hiervoor vermelde landelijke achtergrondwaarden.

De normering voor hergebruik van grond en bagger binnen de regio Bevelanden en Tholen wordt gebaseerd op deze hogere 95-percentielwaarden. Voor grond en bagger afkomstig uit de rest van Zeeland worden de achtergrondwaarden gehanteerd uit het tijdelijk handelingskader van 2 juli 2020. Hetzelfde geldt voor grond en bagger afkomstig van buiten de provincie Zeeland.

Het voorgaande geldt alleen voor het dieptetraject tot 2,0 m-mv. Dieper dan 2 m-mv gelden altijd de achtergrondwaarden uit het tijdelijk handelingskader van 2 juli 2020. Dit sluit aan bij de gemeentelijke nota’s bodembeheer, waarin is vastgelegd dat dieper dan 2 m-mv alleen grond of bagger mag worden toegepast die aan de landelijke achtergrondwaarden voldoet.

In de zone PFAS Oost Zuid-Beveland is de 95-percentielwaarde voor PFOS 3,1 μg/kgds. Deze waarde wordt in de normstelling afgetopt tot de toepassingswaarde 3,0 μg/kgds uit het tijdelijk handelingskader.

Uit praktische overwegingen wordt als begrenzing van deze zone de gemeentegrens aangehouden, zodat de zone Oost Zuid-Beveland beleidsmatig overeenkomt met de gemeente Reimerswaal. De hogere 95-percentielwaarden gelden alleen als toepassingsnorm voor grond en bagger afkomstig uit de gemeente Reimerswaal. Voor grond en bagger uit de overige 5 gemeenten geldt voor PFOS als toepassingsnorm de 95-percentielwaarde van de zone PFAS West Bevelanden en Tholen (1,5 μg/kgds) en voor PFOA de landelijke achtergrondwaarde (1,9 μg/kgds).

Voor de overige individuele PFAS zijn de 95-percentielwaarden in deze bodemkwaliteitskaart beduidend lager dan de 1,4 μg/kgds uit het tijdelijk handelingskader. Voor de overige PFAS wordt de toepassings-waarde van 1,4 μg/kgds aangehouden.

4.3 3/7/3/3 waarden, afhankelijk van de toepassingsnormen voor de NEN5740-parameters

Het tijdelijk handelingskader vermeldt als toepassingswaarden voor de bodemkwaliteits- en bodemfunctieklassen wonen en industrie 7 μg/kgds voor PFOA en 3 μg/kgds voor de overige PFAS (ook wel aangeduid als de 3/7/3/3 waarden). Deze hebben nu nog niet de status van Maximale waarden voor wonen of industrie. Naar verwachting worden op termijn wel Maximale waarden voor wonen of industrie opgenomen in bijlage B van de Regeling bodemkwaliteit. Naar verwachting zullen die in dat geval gelijk zijn aan deze 3/7/3/3 waarden dan wel ruimer zijn dan deze waarden.

In de gemeentelijke nota’s bodembeheer zijn de toepassingsnormen vastgelegd voor de stoffen uit het NEN5740-pakket. Afhankelijk daarvan worden de 3/7/3/3 waarden uit het tijdelijk handelingskader als norm gehanteerd in plaats van de hiervoor beschreven achtergrondwaarden / 95-percentielwaarden.

In de nota’s bodembeheer van de gemeentes Borsele, Kapelle, Reimerswaal en Noord-Beveland is voor de bodemfunctieklassen wonen of industrie altijd als toepassingseis klasse wonen of klasse industrie vastgelegd. Dit geldt voor grond en bagger afkomstig uit de eigen gemeente, bij toepassingen tot 2 m-mv.

In deze gemeenten gelden de 3/7/3/3 waarden als toepassingsnorm wanneer de bodemfunctieklasse wonen of industrie is. Dit geldt voor grond en bagger afkomstig uit de 6 gemeenten van de regio Bevelanden en Tholen, dus niet alleen voor de eigen gemeente.

Volgens het tijdelijk handelingskader gelden de 3/7/3/3 waarden alleen voor toepassingen boven de grondwaterspiegel (tot ten hoogste 1 meter onder het maaiveld bij een hoge grondwaterstand). De grondwaterstand is niet constant en daardoor in de praktijk lastig te hanteren als criterium. De 3/7/3/3 waarden gelden daarom voor het dieptetraject 0-1,0 m-mv, ongeacht de werkelijke grondwaterstand.

In de gemeentes Goes en Tholen zijn de toepassingseisen voor de NEN5740-parameters afhankelijk van zowel de bodemfunctieklasse van de ontvangende bodem als de bodemkwaliteitsklasse volgens de bodemkwaliteitskaart. Verder maken de nota’s bodembeheer van Goes en Tholen onderscheid in toepassingseisen voor het dieptetraject 0-0,5 m-mv en 0,5-2,0 m-mv.

In de gemeentes Goes en Tholen gelden de 3/7/3/3 waarden alleen bij de bodemfunctieklasse wonen of industrie, indien voor de NEN5740-parameters als toepassingsnormen klasse wonen of klasse industrie geldt.

Ook in de gemeentes Goes en Tholen gelden de 3/7/3/3 waarden tot maximaal 1 m-mv en voor grond en bagger afkomstig uit de 6 gemeenten van de regio Bevelanden en Tholen.

4.4 Onderscheid in dieptetraject

Zoals hiervoor beschreven gelden de 3/7/3/3 waarden alleen voor het dieptetraject 0-1,0 m-mv. Ook de hogere 95-percentielwaarden in de gemeente Reimerswaal gelden alleen als toepassingseis voor het dieptetraject 0-1,0 m-mv.

Voor het dieptetraject 1,0-2,0 m-mv en dieper dan 2,0 m-mv gelden afhankelijk van het herkomstgebied altijd de volgende toepassingsnormen:

Herkomstgebied

Toepassingsnorm

1,0-2,0 m-mv

Toepassingsnorm

dieper dan 2,0 m-mv

6 gemeenten regio Bevelanden en Tholen

PFOA (som): 1,9 μg/kgds

PFOS (som): 1,5 μg/kgds

Overige indiv. PFAS: 1,4 μg/kgds

PFOA (som): 1,9 μg/kgds

PFOS (som): 1,4 μg/kgds

Overige indiv. PFAS: 1,4 μg/kgds

Overige gemeenten in Zeeland

en buiten de provincie Zeeland

PFOA (som): 1,9 μg/kgds

PFOS (som): 1,4 μg/kgds

Overige indiv. PFAS: 1,4 μg/kgds

PFOA (som): 1,9 μg/kgds

PFOS (som): 1,4 μg/kgds

Overige indiv. PFAS: 1,4 μg/kgds

4.5 Verspreiden van bagger op aan dezelfde watergang grenzende percelen

De Regeling bodemkwaliteit bevat een afzonderlijke normering voor het verspreiden van bagger op aan dezelfde watergangen grenzende percelen. Het is volgens het Besluit bodemkwaliteit niet toegestaan om in gebiedsspecifiek beleid strengere normen vast te leggen dan deze ‘maximale waarden voor het verspreiden van baggerspecie over aangrenzend perceel’.

Deze normen voor het verspreiden van bagger bestaan uit:

  • -

    een modelmatige berekening van de ecologische risico’s, aangeduid als msPAF (meer stoffen Potentieel Aangetaste Fractie);

  • -

    afzonderlijke samenstellingswaarden voor cadmium en minerale olie. Daarnaast mag (ongeacht de uitkomst van msPAF) voor geen enkele stof het gehalte hoger zijn dan de interventiewaarde;

  • -

    de Achtergrondwaarde voor de overige, niet in de msPAF-berekening opgenomen stoffen.

Het tijdelijk handelingskader vermeldt voor het verspreiden van bagger op aan dezelfde watergang grenzende percelen de 3/7/3/3 waarden. Deze 3/7/3/3 waarden zijn gebaseerd op een risicomodelering van het RIVM voor de bodemfuncties landbouw en natuur (lit. 17).

Voor het verspreiden van bagger op aan dezelfde watergang grenzende percelen hanteert de regio Bevelanden en Tholen de 3/7/3/3 waarden zoals vermeld in het tijdelijk handelingskader. De verwachting is dat deze 3/7/3/3 waarden in april 2021 als normering voor het verspreiden van bagger worden opgenomen in de Regeling bodemkwaliteit.

4.6 Grootschalige bodemtoepassingen (GBT)

Voor grootschalige bodemtoepassingen (GBT) op de landbodem vermeldt het tijdelijk handelingskader de volgende toepassingswaarden:

  • -

    boven grondwaterniveau: de 3/7/3/3 waarden

  • -

    onder grondwaterniveau: de voorlopige achtergrondwaarden

In de regio Bevelanden en Tholen gelden voor grootschalige bodemtoepassingen op de landbodem (GBT) de volgende toepassingsnormen:

Gedeelte van de GBT

Toepassingsnormen

Afdeklaag

toepassingsnormen zoals beschreven voor het dieptetraject 0-1,0 m-mv

Kern van de GBT, boven grondwaterspiegel

De 3/7/3/3 waarden

Kern van de GBT, onder grondwaterspiegel

toepassingsnormen zoals beschreven voor het dieptetraject 1,0-2,0 m-mv

LITERATUUR

  • 1.

    Tijdelijk handelingskader voor hergebruik van PFAS-houdende grond en baggerspecie; Kamerstukken II, 2018/19, 28089 nr. 146, bijlage bij Kamerbrief van 8 juli 2019.

  • 2.

    Tijdelijke landelijke achtergrondwaarden bodem voor PFOS en PFOA; RIVM, 28 november 2019.

  • 3.

    Tijdelijk handelingskader voor hergebruik van PFAS-houdende grond en baggerspecie (geactualiseerde versie van 29 november 2019), Kamerstukken II, 2019/20, 35334 nr. 20, bijlage bij Kamerbrief van 1 december 2019.

  • 4.

    Vervolgacties aanpak PFAS en aanbieding ringonderzoek PFAS, Kamerstukken II, 2019/20, 35334 nr. 80, Kamerbrief van 15 april 2020.

  • 5.

    Achtergrondwaarden perfluoralkylstoffen (PFAS) in de Nederlandse landbodem; A. Wintersen et al., RIVM-briefrapport 2020-0100, 2020.

  • 6.

    Tijdelijk handelingskader voor hergebruik van PFAS-houdende grond en baggerspecie (geactualiseerde versie van 2 juli 2020), Kamerstukken II, 2019/20, 35334 nr. 116, bijlage bij Kamerbrief van 3 juli 2020.

  • 7.

    Achtergrondwaarden 2000, TNO-rapport NITG 04-242-A; F.P.J. Lamé (TNO-NITG), D.J. Brus (Alterra) en R.H. Nieuwenhuis (TNO-NITG), 10 december 2004.

  • 8.

    Bodemkwaliteitskaart PFAS Zeeuws-Vlaanderen, conceptrapport (3); Marmos Bodemmanagement, 14 juli 2020.

  • 9.

    Bodemkwaliteitskaart PFAS Walcheren, conceptrapport (2); Marmos Bodemmanagement, 8 juni 2020.

  • 10.

    Voorlopige bodemkwaliteitskaart PFAS gemeente Schouwen-Duiveland; Marmos Bodemmanagement, 14 februari 2020.

  • 11.

    Besluit van 13 december 2019 tot wijziging van het Besluit bodemkwaliteit in verband met de versnelling van de totstandkomingsprocedure voor het vaststellen van gebiedsspecifiek beleid voor PFAS; Staatsblad van het Koninkrijk der Nederlanden, jaargang 2019, nummer 491.

  • 12.

    Een handelingskader voor PFAS – mogelijkheden voor het omgaan met PFAS in grond en grondwater; Expertisecentrum PFAS, 18 juni 2018.

  • 13.

    Bodemkwaliteitskaart gemeente Borsele; Marmos Bodemmanagement, 6 oktober 2009.

  • 14.

    Bodemkwaliteitskaart gemeente Goes; Marmos Bodemmanagement, 21 januari 2014 (gecorrigeerde versie 24 maart 2014).

  • 15.

    Nota bodembeheer Havengebied Goes Actualisatie 2015; Marmos Bodemmanagement, 19 november 2015.

  • 16.

    Bodemkwaliteitskaart gemeente Reimerswaal; Marmos Bodemmanagement, 21 december 2012.

  • 17.

    Overzicht van risicogrenzen voor PFOS, PFOA en GenX ten behoeve van een tijdelijk handelings-kader voor het toepassen van grond en baggerspecie op of in de landbodem; RIVM, 4 maart 2019.

Ondertekening

Wissenkerke, 22 september 2020

drs. G.L. Meeuwisse, burgemeester

mr. B.C.C. Melis, adjunct-secretaris

Bijlage 1: Verantwoording dataset

1.1 Gestratificeerd aselecte steekproef in het buitengebied

Steekproef van 100 meetpunten in het buitengebied van Zeeland

Om de achtergrondwaarden voor PFAS in Zeeland te bepalen is zoveel mogelijk aangesloten bij de methodiek van de bepaling van de landelijke Achtergrondwaarden. In het AW2000-project zijn 100 aselect gekozen locaties in het relatief onbelaste buitengebied bemonsterd en geanalyseerd op een groot aantal stoffen.

Per regio is in het najaar van 2019 een gestratificeerd aselecte steekproef uitgevoerd. Deze steekproeven zijn zodanig opgezet dat 100 aselecte locaties in het relatief onverdachte buitengebied verspreid over Zeeland bemonsterd en geanalyseerd worden op PFAS.

De drie gemeenten in Zeeuws-Vlaanderen beslaan samen 40,7% van het totale landoppervlak van Zeeland. Als eerste stap is een steekproef genomen van 40 aselecte locaties verspreid over het buitengebied van Zeeuws-Vlaanderen. Daarvoor is het buitengebied ingedeeld in 40 vakken met een ongeveer gelijke oppervlakte. Binnen deze vlakken zijn punten gegenereerd met random x- en y-coördinaten.

Op dezelfde wijze zijn aselecte locaties bepaald in het buitengebied van Schouwen-Duiveland (13% van het landoppervlak van Zeeland) en van Walcheren (12% van het landoppervlak van Zeeland). In deze gebieden is het buitengebied onderverdeeld in 13, respectievelijk 12 vakken. Om voldoende gegevens binnen het eigen gebied te hebben zijn hier per vak 2 aselecte boorpunten gekozen. Daarbij is op voorhand bepaald welke meetelt voor het bepalen van de achtergrondwaarden voor heel Zeeland.

De gemeenten in de Bevelanden en Tholen beslaan in totaal 34,0 % van het landoppervlak van Zeeland, maar vanwege afrondingsverschillen zijn hier 2 steekproeven genomen met in totaal 35 aselecte locaties:

  • -

    27 locaties in het buitengebied van de 5 gemeenten op Noord- en Zuid-Beveland

  • -

    8 locaties in het buitengebied van de gemeente Tholen.

Het boorplan van de Bevelanden en Tholen is aangevuld met 10 extra meetpunten in (voormalige) boomgaarden en de Kreekrakpolder.

Toelichting op de steekproef

De locaties zijn geselecteerd in het gebied dat in de bodemfunctiekaart de bodemfunctieklasse ‘overig’ (landbouw/natuur) heeft.

Uit dit gebied zijn weggesneden:

  • -

    de parken binnen het bebouwde gebied zoals bijvoorbeeld het sportpark De Schenge in Goes

  • -

    de Oesterdam en aangrenzend landoppervlak, alsmede landoppervlak rondom de sluizen in het Schelde-Rijnkanaal

Dit levert voor Noord- en Zuid-Beveland een steekproefgebied op van 401,25 km2, oftewel 1 meetpunt per 14,9 km2 (Tholen 133,34 km2, oftewel 1 meetpunt per 16,7 km2)

De steekproef is vervolgens gestratificeerd aselect uitgevoerd:

  • -

    het gebied is ingedeeld in 27 respectievelijk 8 rechthoekige vakken die ongeveer dezelfde oppervlakte buitengebied bevatten; (vakken zoveel mogelijk op basis van hele kilometers in het Nederlands coördinatenstelsel, maar soms bijvoorbeeld x-coördinaat = 56800)

  • -

    per vak zijn 10 trekkingen gedaan (genummerd van 1 t/m 10) door random x- en y-coördinaten binnen deze rechthoekige vakken te bepalen;

  • -

    meestal is uitgegaan van de 1e trekking, maar als het meetpunt buiten het gebied valt (bijvoorbeeld in de Westerschelde of Noord-Brabant) dan wel op wegen of bebouwing terechtkomt is de volgende trekking genomen.

De meetpunten 16 en 19 liggen door toeval dicht bij elkaar (onderlinge afstand van hemelsbreed 800 m).

In vak 35 lag de 1e trekking dichtbij meetpunten 32 en 34. In dit geval is omwille van de ruimtelijke spreiding de 2e trekking in het boorplan opgenomen, omdat de steekproef verder geen meetpunten ten zuiden van de N286 tusssn Tholen en Sint Maartensdijk bevatte.

Aanvullend zijn in het boorplan opgenomen:

  • -

    7 meetpunten in (voormalige) boomgaarden

  • -

    3 meetpunten in de Kreekrakpolder in de gemeente Reimerswaal

Dieptetraject en monsternamestrategie in het veld

In het AW2000-project zijn de volgende dieptetrajecten geanalyseerd:

  • -

    0,0 – 0,1 m-mv

  • -

    0,5 – 1,0 m-mv

De Achtergrondwaarden in de Regeling bodemkwaliteit zijn gebaseerd op de 95-percentielwaarden van de gegevens van 0,0 – 0,1 m-mv (naar boven afgerond op een rond getal).

Voor de achtergrondwaarden is in de regio De Bevelanden en Tholen (en de rest van Zeeland) gekozen voor bemonstering van de dieptetrajecten 0,0 - 0,5 m-mv en 0,5 - 1,0 m-mv. Het dieptetraject 0,0 – 0,5 m-mv sluit beter aan bij de praktijk van bodemonderzoek en grondverzet. In aanvulling hierop is in de regio De Bevelanden en Tholen in elke gemeente 1 boring dieper doorgezet om ook het dieptetraject 1,0 – 2,0 m-mv te bemonsteren en analyseren

In het AW2000-project zijn per meetlocatie 49 boringen gedaan in een 7x7 grid met tussenafstanden van 5 meter. In totaal beslaat een meetlocatie in het AW2000-project dus een oppervlakte van 35 x 35 = 1.225 m2. Dit sluit niet aan bij het schaalniveau waarop grondverzet meestal plaatsvindt. Er is daarom volstaan met enkelvoudige boringen als meest zuivere steekproef van de gehalten in plaats van het uitvoeren van 49 boringen per meetlocatie.

Bij de uitvoering leverde de toegankelijkheid bij een aantal locaties uit de steekproef problemen op vanwege toestemming van terreineigenaren. In voorkomende gevallen zijn de boringen in de uitvoering een stukje verplaatst, in het algemeen naar een vergelijkbare plek op hooguit een paar honderd meter afstand.

Vanwege de toegang tot locaties heeft de gemeente Noord-Beveland de 5 meetpunten uit de steekproef verplaatst naar locaties bij de bebouwde kernen die in eigendom van de gemeente zijn, meestal (voormalige) sportvelden.

Bijlage 2A en 2B bevatten een kaart met de gehalten PFOA en PFOS van de dataset waarop de provinciale achtergrondwaarden worden gebaseerd. De gehalten PFOA en PFOS uit de dataset van de aselecte steekproef in de Bevelanden en Tholen zijn in kaart weergegeven in bijlage 3A en 3B.

1.2 Gegevens uit het bodeminformatiesysteem

Op 19 maart 2020 is een export uit het bodeminformatiesysteem Nazca gemaakt van alle bodemonderzoeken met analyseresultaten van PFAS. In totaal bevatte deze export voor de Bevelanden en Tholen 245 op PFAS geanalyseerde grondmonsters uit 69 bodemrapporten (exclusief dubbele invoer en waterbodemonderzoek).

Een deel van deze 245 monsters is om de volgende redenen niet bruikbaar:

  • -

    33 x bemonstering van een te groot dieptetraject (boven- en ondergrond samengevoegd)

  • -

    2 x depotbemonstering of partijkeuring van grond die van elders afkomstig is.

Er is verder geen onderscheid gemaakt op basis van onderzoekstype. Normaliter zijn gegevens van saneringslocaties niet bruikbaar voor de bodemkwaliteitskaart omdat het een lokale verontreiniging betreft. PFAS-analyses van saneringslocaties kunnen in bepaalde gevallen toch bruikbaar zijn, omdat het niet om een sanering van een lokale PFAS-verontreiniging gaat.

In aanvulling hierop zijn de PFAS-analyses uit 1 recent conceptrapport in de gemeente Goes handmatig toegevoegd aan de dataset, omdat dit rapport als zodanig nog niet in Nazca ingevoerd was.

Dit levert voor de Bevelandse gemeenten + Tholen de volgende aantallen bruikbare gegevens uit overige bodemonderzoeken op:

Gemeente

Aantal bodemrapporten met bruikbare

PFAS-analyses

Aantal bruikbare analyses bovengrond

(0-0,5 m-mv)

Aantal bruikbare analyses ondergrond

(0,5-2,0 m-mv)

Borsele

13

18

0

Goes

26

71

63

Kapelle

6

30

4

Noord-Beveland

0

0

0

Reimerswaal

9

19

2

Tholen

4

4

2

Het merendeel van de ondergrondanalyses heeft betrekking op het dieptetraject 0,5-1,0 m-mv. Een klein deel komt uit het dieptetraject 1,0-2,0 m-mv.

Er is gecontroleerd of alle PFAS uit de advieslijst van Bodem+ d.d. 12 juli 2019 ingevoerd zijn in Nazca.

In een aantal gevallen zijn missende gegevens nagezocht in het pdf-bestand van het bodemrapport en aangevuld in de dataset. Met name MeFOSAA bleek in een aantal gevallen niet ingevoerd te zijn.

Bijlage 4 bevat kaarten met de gehalten PFAS die het vaakst boven de detectiegrens zijn aangetoond:

  • -

    bijlage 4A t/m 4E bevatten kaarten met de gehalten PFOA, PFOS, PFBA, PFHxA en PFHxS van de totale dataset (aselecte steekproef + gegevens uit overige bodemonderzoeken) voor de bovengrond;

  • -

    bijlage 4F en 4G bevatten kaarten met de gehalten PFOA en PFOS van de totale dataset in de ondergrond (0,5-2,0 m-mv). Meestal betreft dit analyses uit het dieptetraject 0,5-1,0 m-mv.

Daarbij wordt opgemerkt dat in de weergave in bijlage 4 sommige meetpunten over elkaar heen vallen.

Bijlage 2A: Meetwaarden PFOA dataset achtergrondwaarden Zeeland

afbeelding binnen de regeling

Bijlage 2B: Meetwaarden PFOS dataset achtergrondwaarden Zeeland

afbeelding binnen de regeling

Bijlage 3A: Meetwaarden PFOA PFAS-onderzoek Bevelanden+Tholen

afbeelding binnen de regeling

Bijlage 3B: Meetwaarden PFOS PFAS-onderzoek Bevelanden+Tholen

afbeelding binnen de regeling

Bijlage 4A: Meetwaarden PFOA totale dataset (0-0,5 m-mv)

afbeelding binnen de regeling

Bijlage 4B: Meetwaarden PFOS totale dataset (0-0,5 m-mv)

afbeelding binnen de regeling

Bijlage 4C: Meetwaarden PFBA totale dataset (0-0,5 m-mv)

afbeelding binnen de regeling

Bijlage 4D: Meetwaarden PFHxA totale dataset (0-0,5 m-mv)

afbeelding binnen de regeling

Bijlage 4E: Meetwaarden PFHxS totale dataset (0-0,5 m-mv)

afbeelding binnen de regeling

Bijlage 4F: Meetwaarden PFOA totale dataset (0,5-2,0 m-mv)

afbeelding binnen de regeling

Bijlage 4G: Meetwaarden PFOS totale dataset (0,5-2,0 m-mv)

afbeelding binnen de regeling

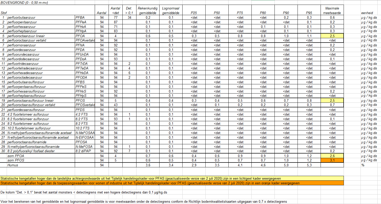
Bijlage 5A: Statistische kengetallen gestratificeerd aselecte steekproef voor achtergrondwaardenPFAS in Zeeland (bovengrond)

afbeelding binnen de regeling

Bijlage 5B: Statistische kengetallen gestratificeerd aselecte steekproef voor achtergrondwaardenPFAS in Zeeland (ondergrond)

afbeelding binnen de regeling

Bijlage 6: Vergelijking statistische kengetallen bebouwd gebied en buitengebied (bovengrond)

afbeelding binnen de regeling

Bijlage 7: Vergelijking statistische kengetallen gegevens Tholen en Noord-Beveland afzonderlijk(bovengrond)

afbeelding binnen de regeling

Bijlage 8A: Statistische kengetallen zone PFAS West Bevelanden en Tholen (bovengrond)

afbeelding binnen de regeling

Bijlage 8B: Statistische kengetallen zone PFAS West Bevelanden en Tholen (ondergrond)

afbeelding binnen de regeling

Bijlage 9A: Statistische kengetallen zone PFAS Oost Zuid-Beveland (bovengrond)

afbeelding binnen de regeling

Bijlage 9B: Statistische kengetallen zone PFAS Oost Zuid-Beveland (ondergrond)

afbeelding binnen de regeling

Bijlage 10: Bodemkwaliteitskaart PFAS

afbeelding binnen de regeling

Bijlage 11: Overzichtstabel toepassingsnormen PFAS

Herkomstgebied 6 gemeenten regio Bevelanden en Tholen

Toepassing in gemeente

Bodemfunctieklasse / situatie

0 - 1,0 m-mv

1,0 - 2,0 m-mv

dieper dan 2,0 m-mv

Borsele Goes Kapelle Noord-Beveland Tholen

Bodemfunctieklasse Overig

PFOA (som): 1,9 μg/kgds PFOS (Som): 1,5 μg/kgds overige indiv. PFAS: 1,4 μg/kgds

PFOA (som): 1,9 μg/kgds PFOS (Som): 1,5 μg/kgds overige indiv. PFAS: 1,4 μg/kgds

PFOA (som): 1,9 μg/kgds PFOS (Som): 1,4 μg/kgds overige indiv. PFAS: 1,4 μg/kgds

Reimerswaal

Bodemfunctieklasse Overig herkomstgebied gemeente Reimerswaal

PFOA (som): 2,5 μg/kgds PFOS (Som): 3,0 μg/kgds overige indiv. PFAS: 1,4 μg/kgds

PFOA (som): 1,9 μg/kgds PFOS (Som): 1,5 μg/kgds overige indiv. PFAS: 1,4 μg/kgds

PFOA (som): 1,9 μg/kgds PFOS (Som): 1,4 μg/kgds overige indiv. PFAS: 1,4 μg/kgds

Reimerswaal

Bodemfunctieklasse Overig herkomstgebied overige 5 gemeenten regio Bevelanden en Tholen

PFOA (som): 1,9 μg/kgds PFOS (Som): 1,5 μg/kgds overige indiv. PFAS: 1,4 μg/kgds

PFOA (som): 1,9 μg/kgds PFOS (Som): 1,5 μg/kgds overige indiv. PFAS: 1,4 μg/kgds

PFOA (som): 1,9 μg/kgds PFOS (Som): 1,4 μg/kgds overige indiv. PFAS: 1,4 μg/kgds

Borsele Kapelle Noord-Beveland Reimerswaal

Bodemfunctieklasse Wonen of Industrie

PFOA (som): 7,0 μg/kgds PFOS (Som): 3,0 μg/kgds overige indiv. PFAS: 3,0 μg/kgds

PFOA (som): 1,9 μg/kgds PFOS (Som): 1,5 μg/kgds overige indiv. PFAS: 1,4 μg/kgds

PFOA (som): 1,9 μg/kgds PFOS (Som): 1,4 μg/kgds overige indiv. PFAS: 1,4 μg/kgds

Goes Tholen

Bodemfunctieklasse Wonen of Industrie Toepassingseis NEN5740-parameters: Achtergrondwaarde

PFOA (som): 1,9 μg/kgds PFOS (Som): 1,5 μg/kgds overige indiv. PFAS: 1,4 μg/kgds

PFOA (som): 1,9 μg/kgds PFOS (Som): 1,5 μg/kgds overige indiv. PFAS: 1,4 μg/kgds

PFOA (som): 1,9 μg/kgds PFOS (Som): 1,4 μg/kgds overige indiv. PFAS: 1,4 μg/kgds

Goes Tholen

Bodemfunctieklasse Wonen of Industrie Toepassingseis NEN5740-parameters: klasse Wonen of Industrie

PFOA (som): 7,0 μg/kgds PFOS (Som): 3,0 μg/kgds overige indiv. PFAS: 3,0 μg/kgds

PFOA (som): 1,9 μg/kgds PFOS (Som): 1,5 μg/kgds overige indiv. PFAS: 1,4 μg/kgds

PFOA (som): 1,9 μg/kgds PFOS (Som): 1,4 μg/kgds overige indiv. PFAS: 1,4 μg/kgds

Herkomstgebied overige gemeenten in Zeeland / buiten de provincie Zeeland

Toepassing in gemeente

Bodemfunctieklasse / situatie

0 - 1,0 m-mv

1,0 - 2,0 m-mv

dieper dan 2,0 m-mv

Borsele Goes Kapelle Noord-Beveland Reimerswaal Tholen

Bodemfunctieklasse Overig

PFOA (som): 1,9 μg/kgds PFOS (Som): 1,4 μg/kgds overige indiv. PFAS: 1,4 μg/kgds

PFOA (som): 1,9 μg/kgds PFOS (Som): 1,4 μg/kgds overige indiv. PFAS: 1,4 μg/kgds

PFOA (som): 1,9 μg/kgds PFOS (Som): 1,4 μg/kgds overige indiv. PFAS: 1,4 μg/kgds

Borsele Goes Kapelle Noord-Beveland Reimerswaal Tholen

Bodemfunctieklasse Wonen of Industrie

PFOA (som): 1,9 μg/kgds PFOS (Som): 1,4 μg/kgds overige indiv. PFAS: 1,4 μg/kgds

PFOA (som): 1,9 μg/kgds PFOS (Som): 1,4 μg/kgds overige indiv. PFAS: 1,4 μg/kgds

PFOA (som): 1,9 μg/kgds PFOS (Som): 1,4 μg/kgds overige indiv. PFAS: 1,4 μg/kgds

Grootschalige bodemtoepassing (GBT)

Toepassing in gemeente

Afdeklaag

Boven grondwaterspiegel

Beneden grondwaterspiegel

Borsele Goes Kapelle Noord-Beveland Reimerswaal Tholen

Conform de hierboven vermelde regels voor het dieptetraject 0-1,0 m-mv (afhankelijk van herkomstgebied, bodemfunctieklasse, toepassingsnorm NEN5740-parameters)

PFOA (som): 7,0 μg/kgds PFOS (Som): 3,0 μg/kgds overige indiv. PFAS: 3,0 μg/kgds

Conform de hierboven vermelde regels voor het dieptetraject 1,0-2,0 m-mv (afhankelijk van herkomstgebied)

Bijlage 12: Toepassingskaart PFAS (0-1,0 m-mv)

afbeelding binnen de regeling


Noot
1

Een bijlage bij een Kamerbrief d.d. 15 april 2020 (lit. 4) vermeldt hiervoor als planning april 2021.

Noot
2

Deze uitzondering is tijdelijk en geldt tot 1 januari 2021. Uiteraard mag de gemeente ervoor kiezen om wel de uitgebreidere procedure te volgen.

Noot
3

In niet vermelde zones zijn geen gegevens beschikbaar